Limit problem ( can't find the mistake)

  • Thread starter Thread starter Matejxx1
  • Start date Start date
  • Tags Tags
    Limit Mistake
Click For Summary

Homework Help Overview

The discussion revolves around evaluating the limit of the expression (cos(x)*cos(2x)*cos(3x)*...*cos(nx)-1)/x^2 as x approaches 0. Participants are comparing their results with a professor's expected outcome.

Discussion Character

  • Exploratory, Assumption checking, Mathematical reasoning

Approaches and Questions Raised

  • One participant attempts to apply L'Hospital's rule and derives a result involving the sum of squares of integers. Another participant questions the correctness of the derived result and suggests that the expected result from the professor is different.

Discussion Status

The discussion is ongoing, with participants exploring the derivation of the limit and questioning the accuracy of their results compared to the professor's answer. There is a suggestion that one participant's result is correct but incomplete, indicating a productive direction in the conversation.

Contextual Notes

Participants are working under the constraints of a homework assignment, which may limit the information they can use or the methods they can apply. The discussion includes a focus on the sum of squares and its implications for the limit being evaluated.

Matejxx1
Messages
72
Reaction score
1

Homework Statement


Hi. My professor asked me if I know to solve this limit and I tried doing it, however I didn't get the same answer as him.
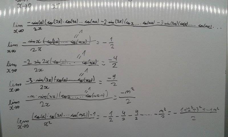
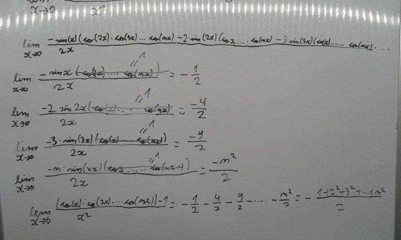
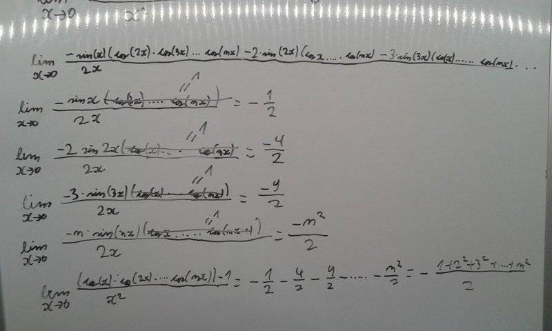
Question: What is the limit of (cos(x)*cos(2x)*cos(3x)*...*cos(nx)-1)/x^2 as x approches 0
20160526_131520.jpg

Homework Equations


/

The Attempt at a Solution


20160526_131531.jpg
[/B]
So to find this limit I used L'Hospital's rule.
I derived the top and bottom function and I noticed that each part of the derivative can be calculated using sin(x)/x as x ->0 =1. Then I noticed that the whole thing equals -(1^2+2^2+3^2+...n^2)/2
However my professor said that the whole thing should equal -n(n+1)(2n+1)/2
Could somebody please find the part where I made the mistake
 
Physics news on Phys.org
Matejxx1 said:

Homework Statement


Hi. My professor asked me if I know to solve this limit and I tried doing it, however I didn't get the same answer as him.
Question: What is the limit of (cos(x)*cos(2x)*cos(3x)*...*cos(nx)-1)/x^2 as x approches 0
View attachment 101263

Homework Equations


/

The Attempt at a Solution


View attachment 101262 [/B]
So to find this limit I used L'Hospital's rule.
I derived the top and bottom function and I noticed that each part of the derivative can be calculated using sin(x)/x as x ->0 =1. Then I noticed that the whole thing equals -(1^2+2^2+3^2+...n^2)/2
However my professor said that the whole thing should equal -n(n+1)(2n+1)/2
Could somebody please find the part where I made the mistake
Your result is correct but not complete. The sum of the squares of the first n integer is n(n+1)(2n+1)/6
Your teacher made a mistake.
http://www.trans4mind.com/personal_development/mathematics/series/sumNaturalSquares.htm
 
  • Like
Likes   Reactions: Matejxx1
Thank you. So the final answer -n(n+1)(2n+1)/12 would be correct?
 
Matejxx1 said:
Thank you. So the final answer -n(n+1)(2n+1)/12 would be correct?
Yes.
 
  • Like
Likes   Reactions: Matejxx1

Similar threads

  • · Replies 10 ·
Replies
10
Views
2K
  • · Replies 12 ·
Replies
12
Views
2K
  • · Replies 25 ·
Replies
25
Views
2K
  • · Replies 5 ·
Replies
5
Views
1K
  • · Replies 10 ·
Replies
10
Views
2K
  • · Replies 14 ·
Replies
14
Views
4K
  • · Replies 15 ·
Replies
15
Views
2K
  • · Replies 8 ·
Replies
8
Views
3K
  • · Replies 8 ·
Replies
8
Views
4K
  • · Replies 4 ·
Replies
4
Views
2K