Modelling of two phase flow in packed bed (continued)

Click For Summary

Discussion Overview

The discussion revolves around modeling two-phase flow of air through a packed bed, with a focus on incorporating the freezing of CO2 from the process stream. Participants explore various models and approaches, discussing the complexities of thermodynamics and phase behavior in the context of this system.

Discussion Character

  • Exploratory
  • Technical explanation
  • Debate/contested
  • Mathematical reasoning

Main Points Raised

  • Some participants propose that the CO2 will not move through the bed as a solid plug but may deposit temporarily on the bed.
  • Others suggest that if the bed is colder than the freezing point of CO2, the CO2 in the stream could freeze upon entering the bed, potentially leading to a 'plug' formation at the outlet.
  • A participant mentions the need to understand the thermodynamics of the three-component mixture (O2, N2, CO2) before proceeding with the modeling.
  • There are discussions about the vapor pressure vs temperature of the components and the importance of phase equilibrium calculations for the two-phase and possibly three-phase regions.
  • One participant expresses uncertainty about the timing of the freezing and vaporization processes of CO2, suggesting that it may affect the distribution of frozen CO2 along the bed.
  • Another participant plans to create plots for pressure vs saturation temperature, vapor fraction vs temperature and pressure, and phase composition vs temperature and pressure to aid in understanding the system.
  • Concerns are raised about the operational pressure needed to allow for desublimation of CO2, noting that it must be below the triple point pressure of CO2.

Areas of Agreement / Disagreement

Participants express differing views on the behavior of CO2 in the packed bed, particularly regarding its phase transitions and movement. There is no consensus on the best approach to modeling the system or the implications of the thermodynamic properties discussed.

Contextual Notes

Participants highlight the need for a thorough understanding of thermodynamic principles and phase behavior before advancing to more complex modeling, indicating that assumptions about the behavior of CO2 may affect the outcomes of the models.

  • #391
casualguitar said:
Hi Chet,

Unfortunately the molar flow error didnt fix the output, although it did change it somewhat.

The molar flow out of a tank should have been defined as the below. It was previously this so I must have changed it somewhere along the way:
\begin{equation}
\dot{m}_j = \dot{m}_{j-1} + \frac{\rho_m \Delta z A_c}{T_g}\frac{dT}{dt} - (M_{CO_2}''*A_s)
\end{equation}

Further up in the code ##m_j## is defined as:
\begin{equation}
m_j = \frac{P}{RT_g}\epsilon A_C\Delta z
\end{equation}

So I now have:
\begin{equation}
\dot{m}_j = \dot{m}_{j-1} + \frac{\rho_m \Delta z A_c}{T_g}\frac{dT}{dt} - (M_{CO_2}''*A_s)
\end{equation}

which I've implemented as:
\begin{equation}
\dot{m}_j = \dot{m}_{j-1} + \frac{m_j \epsilon}{T_g}\frac{dT}{dt} - (M_{CO_2}''*A_s)
\end{equation}

Just posting this here in case I've done anything crazy there
I think there should be an ##\epsilon## in the term of Eqn.1 and no ##\epsilon## in the term of Eqn.4. That assumes that Ac is the cross sectional area of the empty column.
 
Last edited:
Engineering news on Phys.org
  • #392
casualguitar said:
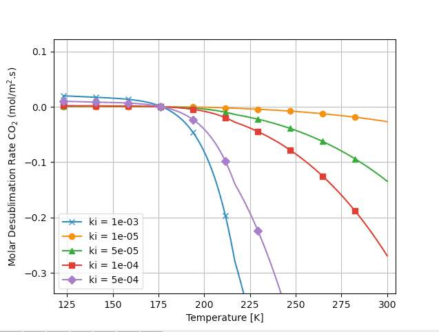
Hi Chet, looking further into the CO2 desublimation rate function, these are plots of temperature versus sublimation pressure (the gas-solid curve), and then temperature versus desublimation rate for a range of ##k_i## values, and ##y_{CO2}## = 0.2 (as it is in Tuinier et al).

Note that for the sublimation pressure curve, for temperature values above the triple point temperature (216K), i've used the liquid-vapour curve. Is there an alternative here? We could possibly say: if T is less than the triple point temperature, use the sublimation pressure curve, if T is greater than the triple point temeprature, let sublimation pressure = some large number?
View attachment 326637
No. You should be using the actual curve, although there is melting at the triple point (along with a latent heat effect) and, above the triple point, you should more properly be using the liquid vapor pressure.

Note that, at the triple point, the equilibrium vapor pressure is 5 bars, and at the critical point, the equilibrium vapor pressure is 74 bars.

Please plot the equilibrium vapor pressure on a logarithmic scale.
casualguitar said:
View attachment 326638

Edit: just noting the simulation breaks if I let psubco2 = 1000000 for T > triple point temerpature
 
  • #393
casualguitar said:
My apologies for the long-winded posts (my head is a bit fried!). The first plot below is completely at odds with the second one is it not? These plots are from the same simulation
View attachment 326649

View attachment 326650
What happened to evaporation of the deposits? I assume these values are in each tank?
 
  • #394
casualguitar said:
Hi Chet,

Output is looking better now. Only issue really is that we're producing a lot more solid CO2. The profiles look ok though.

I reverted back to an older approach we had, where we used something like their "fudge factor". I also put in the previous correlation for ##k_{CO2}##.

The fudge factor looks like this and only applies for sublimation (not desublimation):
if ##P*y_{CO2}## < ##P_{sub,CO2}##:
##M_{CO2}''## = ##M_{CO2}''##*##(\frac{M_{CO2}}{M_{CO2}+0.1})##

Tuinier uses 0.1 as their fudge factor. I'm using 0.1 also currently. We previously also discussed converting this 0.1 to a value suitable for us (different units), like this:
factor = 0.1*1000*A_C*dz/mW_CO2

As we're now calculating ##k_{CO2}##, we can no longer use this as a tuning parameter, unless I'm wrong. I'm wondering if we can instead use this fudge factor to tune the amount of CO2 produced?

Here's the output from the above. Note the output is a bit rough looking because I have used n=15. The the simulation takes a lot longer to run now so I'll increase this again once we're happy with the output:

Gas temperature profile shows the constant temperature zone:
View attachment 326677

The amount of CO2 on the bed in kg/m3. Tuinier et al had values closer to 50kg/m3 for 50s and 150s:
View attachment 326678

Lastly, ##y_{CO2}## for each position. Each position does level out at 0.2 which is the inlet concentration. There is a bit of fluctuation but this is possibly down to the sublimation process (I'll check this):
View attachment 326679

If this looks ok to you, do you think it is reasonable to use the "factor" to tune the amount of CO2 on the bed to Tuinier et al?

EDIT: If I take out the fudge factor and run it, the output looks like it did before (incorrect). I didn't think the fudge factor would have such an impact!
What the fudge factor does is prevent M from going negative. The amount of CO2 on the bed should always be positive.

I'm concerned about those much higher depositions of CO2 per unit area than the comparison calculation.
 
  • #395
FWIW
https://en.wikipedia.org/wiki/Darcy's_law
https://www.wikiwand.com/en/Buckley–Leverett_equation
https://en.wikipedia.org/wiki/Black-oil_equations

The Constitutive relationships need to be assumed or defined to include all fluid properties, such as;
density, viscosity, and thermal conductivity, which may vary with saturation and phase distribution.

In another unrelated question on energy conversion for work done on a conveyor belt, I postulated if one desires maximum power transfer or energy thruput or MPT or max. energy flow with a lossy interface (eddy currents) the minimum energy lost is 50% due to the MPT theorem. I also stated, in theory, if loss resistance is constant , time is irrelevant to efficiency and friction is irrelevant to losses. (not true here for nonlinear velocity related losses)

However, various time constants can be linearized from these complex models for certain assumptions.

FWIW ( TL;DR both threads ) so just a comment.
 
  • Like
Likes   Reactions: casualguitar
  • #396
Hi Chet, my apologies for the late response. Here's the vapour-solid (sublimation) curve, where for temperatures above the triple point temperature I've used the vapour-liquid curve. At the triple point temperature, the vapour pressure is 5 bar. Standard scale and log scale:

Standard scale:
Screenshot 2023-05-21 at 00.44.44.png


Log scale:
Screenshot 2023-05-21 at 00.46.59.png


Chestermiller said:
What happened to evaporation of the deposits? I assume these values are in each tank?
If you're asking if the first plot there is for each tank then yes that's correct

Chestermiller said:
I'm concerned about those much higher depositions of CO2 per unit area than the comparison calculation.
##k_{CO2}## seems to be the main variable impacting the max amount of CO2 desposited on the bed. My thought is that maybe my ##K_{CO2}## calculation is incorrect

Printing the Reynolds number and the ##K_{CO2}## numbers for the simulation, the Reynolds number seems to be pretty constant at around 2500. ##K_{CO2}## ranges from abour 0.2 to 0.3 which I think is in agreement with the plot below:
Screenshot 2023-05-21 at 00.54.07.png


Here is the equation I'm using to calculate ##k_{CO2}##:

##k_{CO2}= (2.19Re^{1/3} + 0.78*Re^{0.619})*Sc^{1/3} * D_{CO2,N2}*(1-\epsilon)/d_p##

Where:
##Sc_{CO2} = \frac{\mu_{CO2}}{\rho_{CO2}*D_{CO2,N2}}##

Where ##\mu## is in ##Pa.s##, ##\rho## is ##\frac{kg}{m3}##, ##d_p## is in ##m##

and ##D_{CO2,N2}## = ##0.144*10^4## ##m^2/s##

The units clearly don't match up here. I know we previously had a molar density term in here. Let me go through this ##k_i## derivation from the start tomorrow
 
  • #397
casualguitar said:
Hi Chet, my apologies for the late response. Here's the vapour-solid (sublimation) curve, where for temperatures above the triple point temperature I've used the vapour-liquid curve. At the triple point temperature, the vapour pressure is 5 bar. Standard scale and log scale:

Standard scale:
View attachment 326837

Log scale:
View attachment 326838If you're asking if the first plot there is for each tank then yes that's correct##k_{CO2}## seems to be the main variable impacting the max amount of CO2 desposited on the bed. My thought is that maybe my ##K_{CO2}## calculation is incorrect

Printing the Reynolds number and the ##K_{CO2}## numbers for the simulation, the Reynolds number seems to be pretty constant at around 2500. ##K_{CO2}## ranges from abour 0.2 to 0.3 which I think is in agreement with the plot below:
View attachment 326839

Here is the equation I'm using to calculate ##k_{CO2}##:

##k_{CO2}= (2.19Re^{1/3} + 0.78*Re^{0.619})*Sc^{1/3} * D_{CO2,N2}*(1-\epsilon)/d_p##

Where:
##Sc_{CO2} = \frac{\mu_{CO2}}{\rho_{CO2}*D_{CO2,N2}}##

Where ##\mu## is in ##Pa.s##, ##\rho## is ##\frac{kg}{m3}##, ##d_p## is in ##m##

and ##D_{CO2,N2}## = ##0.144*10^4## ##m^2/s##

The units clearly don't match up here. I know we previously had a molar density term in here. Let me go through this ##k_i## derivation from the start tomorrow

Shouldn't the units of k be m/s?
 
  • #398
Chestermiller said:
Shouldn't the units of k be m/s?
Thats correct. I checked the ##k_{CO2}## units and it seems to be fine. I also printed out all of the solution data to csv/excel to see if there was anything unusual happening in the data that isn't being plotted and there wasn't.

I did find something interesting though - the bed properties have an obviously significant effect on the output, but some properties are not clearly defined in Tuinier et al.

Tuinier bed data:
- 'glass' particles
- 4.04mm diamter spherical particles
- particle density = 2547 kg/m3
- inner diameter x length of bed = 35mm x 300mm

Missing values required for the simulation are:
- thermal conductivity of the particles (doesn't have a significant effect on the output, just used in ##U_b## calculation)
- heat capacity of the particles
- molecular weight of the particles (has a very significant effect on the output, I found an approx value for this online)
- bed voidage (also has a significant effect on the output)

So I found the PhD thesis that this publication is from. It doesn't mention the molecular weight/heat capacity/thermal conductivity. It does give a porosity value of 0.7 for one simulation though (its not the same simulation, but its a very similar simulation to the one in this paper). Nevertheless when I put 0.7 into the model I get similar output to what they got (the max values are similar, the trends are similar, and the width of the CO2 plugs are similar)

Our output:
Screenshot 2023-05-21 at 23.28.38.png


Tuinier et al output:
Screenshot 2023-05-21 at 23.31.31.png


So maybe they used voidage = 0.7?

Just note I'm using n=10 so that I can run simulations quickly. The output doesnt change much for higher n other than look smoother

The temperature profiles also look generally ok:
Screenshot 2023-05-21 at 23.35.48.png
Screenshot 2023-05-21 at 23.36.54.png


What are the rules to fine-tuning models? Which parameters here can be used as "tuning" ones if any?
 
  • #399
Nevertheless when I put 0.7 into the model I get similar output to what they got (the max values are similar, the trends are similar, and the width of the CO2 plugs are similar)

A (very) quick Google search found packing densities from 6% to 78%, which puts porosity at 94% to 22%.
(https://www.google.com/search?&q=packing+density+of+spheres+in+a+cylinder)

Here is one paper that shows packing density below 60%.
https://www.osti.gov/servlets/purl/4518893

And one than shows the packing range is between 6% and 74%.
(https://mathworld.wolfram.com/SpherePacking.html)

It looks like of case of "You pays yo' money an' takes your choice."

Cheers,
Tom

p.s. Even though the subject is WAY outside my field, I have found the thread interesting enough to have followed from its start. It is not often that we see two experts collaborating here.
 
Last edited:
  • Like
Likes   Reactions: casualguitar
  • #400
Chestermiller said:
Shouldn't the units of k be m/s?
Just in addition - in order to credibly use this model, I suppose I would need to add the ##H_2O## ODEs back in and tune the model with these included? Then remove them after tuning
 
  • #401
casualguitar said:
Just in addition - in order to credibly use this model, I suppose I would need to add the ##H_2O## ODEs back in and tune the model with these included? Then remove them after tuning
This is a matter of your best judgment.
 
  • #402
Chestermiller said:
This is a matter of your best judgment.
I can add these back in to see if changing the porosity 0.7 in the above plots was just a lucky coincidence. If it wasn't a coincidence then we should see that the ##H_2O## buildup plots are also approximately correct

In regards to fine tuning the above plots (post #398), can we similarly use the number of tanks here to tune to Tuinier et al? Every other variable seems to be tied up in correlations

I'll work towards the above now unless you think otherwise
 
  • #403
casualguitar said:
I can add these back in to see if changing the porosity 0.7 in the above plots was just a lucky coincidence. If it wasn't a coincidence then we should see that the ##H_2O## buildup plots are also approximately correct
oIsn't the porosity 0.3?
casualguitar said:
In regards to fine tuning the above plots (post #398), can we similarly use the number of tanks here to tune to Tuinier et al? Every other variable seems to be tied up in correlations
I think so. This all is not exact representation of reality, right? It's a model approximation.
 
  • #404
Chestermiller said:
I think so. This all is not exact representation of reality, right? It's a model approximation.
Thats true, I'll use the tank number then

Chestermiller said:
oIsn't the porosity 0.3?
Hmm. The paper doesn't seem to provide a porosity value. I found the PhD thesis that this publication came from online. In the section about this model, they don't seem to give the porosity value, but they do give the porosity for a number of other very similar simulations (using the same model as is in the paper), and the porosity value they use is ##0.7##. In addition, when I use their value of 0.7 I get those plots in post #398 that are very similar to theirs. Here's the thesis: https://pure.tue.nl/ws/files/3606277/719418.pdf

If 0.7 is reasonable, then all that remains is to increase n until we (hopefully) get the same output as Tuinier
 
  • #405
Here are the CO2 deposition and temperature profile plots with n=100, not including the ##H_2O## ODEs:

CO2 deposition plot comparisons (our model, Tuinier model):
Screenshot 2023-05-23 at 16.01.10.png
Screenshot 2023-05-23 at 16.01.38.png


Temperature profiles:
Screenshot 2023-05-23 at 16.02.55.png
Screenshot 2023-05-23 at 16.03.18.png


The deposition profiles are very similar. The temperature profile from our model is missing that first almost constant temperature zone at around 40C. I'm not sure what that is. Presumably its the water freezing but the temperature seems to be a bit high. Besides this it looks pretty good

P.s. My apologies for not providing the same units as Tuinier. I'll get this included in the next version that will have the ##H_2O## ODEs included
 
Last edited:
  • #406
Chestermiller said:
I think so. This all is not exact representation of reality, right? It's a model approximation.

Here is the output after adding ##H_2O## back in. It looks good in my opinion. I ran for n=50 because n=100 was going to take too long (I'll rerun now at n=100 to get smoother plots)

Gas temperature:
Screenshot 2023-05-23 at 23.25.12.png


CO2 deposition:
Screenshot 2023-05-23 at 23.26.55.png


H2O Deposition:
Screenshot 2023-05-23 at 23.27.17.png


Besides plotting the deposition of CO2 and H2O on the same plot, and fixing the scale units, is there anything you see here as being required in order to consider this model now "fit for use"?

I'll start defining some performance parameters for a parametric analysis if not
 
  • #407
casualguitar said:
Here is the output after adding ##H_2O## back in. It looks good in my opinion. I ran for n=50 because n=100 was going to take too long (I'll rerun now at n=100 to get smoother plots)

Gas temperature:
View attachment 326962

CO2 deposition:
View attachment 326963

H2O Deposition:
View attachment 326965

Besides plotting the deposition of CO2 and H2O on the same plot, and fixing the scale units, is there anything you see here as being required in order to consider this model now "fit for use"?

I'll start defining some performance parameters for a parametric analysis if not
Check of overall mass balances on CO2 and H2O:: cumulative mass in = deposited mass + mass out?
 
  • #408
Chestermiller said:
Check of overall mass balances on CO2 and H2O:: cumulative mass in = deposited mass + mass out?
My apologies for the delay. It was quite difficult to extract the values of the intermediate variables (molar holdup, molar flow, molar desublimation rate, etc) from the integrator.

So we have -

Cumulative mass in:
##M_{IN,TOTAL} = \dot{m_{in}}*y_{CO_2, IN} * t\tag{1}##

The total molar amount of CO2 leaving the column up to time t is:
##\dot{m_T}## = ##\int_0^t{\dot{m}_n(t')y_{CO2}(t')dt'}##

Total molar holdup of CO2 in the gas phase:
##M_{CO2} = \sum_{j=1}^{n}(P/RT_j)y_{j,CO2}(A_cdz*\epsilon)\tag{4}##

Total molar holdup of CO2 in the solid phase:
##M_{SOLID} = \sum_{j=1}^{n}(M_j)\tag{5}##

(And the same for H2O)

Using these relationships, we get this output:
Screenshot 2023-05-28 at 21.20.14.png

At long times CO2 in = CO2 out, and at long times CO2 Gas phase molar holdup = CO2 in * number of tanks

And the same trend for H2O, except the times involved are longer as it takes H2O longer to move through the bed:
Screenshot 2023-05-28 at 21.45.32.png

If the above looks reasonable, I was hoping to define some parameters that could assess the performance of this system, before running the simulation for suitable ranges of initial/boundary conditions Possibly:

Captured Fraction:
##\eta = \frac{M_{SOLID}}{M_{IN,TOTAL}}##

In addition I was interested in defining a parameter that measures the total amount of energy required to 'capture' a given amount of CO2. This parameter would take into account the energy required to cool the bed (I should have this from the other model), and also the energy required to send combustion gas to the packed bed (via compressor). The idea being to assess different conditions versus this "energy required per unit of CO2 captured" parameter. If you think this is reasonable I'll make an initial attempt at defining that performance parameter more accurately
 
  • #409
casualguitar said:
If you think this is reasonable I'll make an initial attempt at defining that performance parameter more accurately
Here's an inital attempt -

Assuming here that these variables are the ones we have operational control over:
1. Initial bed temperature
2. Inlet gas temperature
3. Bed pressure
4. Inlet CO2 concentration
5. Bed material

It would be useful to know which values of each of the above variables lead to the largest amount of CO2 captured. We could simply run a parametric analysis here to see that

I think it would be more useful though to know which values of each of the above variables lead to the largest amount of CO2 captured ##\textbf{per unit of energy input}## i.e. how much total energy input is required per unit mass of CO2 captured. In this packed bed system, we've got energy input in two forms:
1. Cooling of the packed bed
2. 'Pressurising' of the hot N2/CO2/H2O stream to pass it through the packed bed

Note here we have been running the model at atmospheric pressure, but we could in theory run it at any pressure up to the triple point pressure (about 5atm), which is why I included energy input #2.

So the total energy would be the sum of these (not defined properly yet).

The 'total amount of CO2 captured' could be defined as the maximum amount of CO2 captured. We have data for the amount of CO2 deposited at each point in the bed at each point in time, so we could simply take the maximum value.

Do you think the above is reasonable? If so I'll start defining the energy inputs properly. Very much open to the possibility of using other performance parameters at this stage if you think of any!
 
  • #410
casualguitar said:
My apologies for the delay. It was quite difficult to extract the values of the intermediate variables (molar holdup, molar flow, molar desublimation rate, etc) from the integrator.

So we have -

Cumulative mass in:
##M_{IN,TOTAL} = \dot{m_{in}}*y_{CO_2, IN} * t\tag{1}##

The total molar amount of CO2 leaving the column up to time t is:
##\dot{m_T}## = ##\int_0^t{\dot{m}_n(t')y_{CO2}(t')dt'}##

Total molar holdup of CO2 in the gas phase:
##M_{CO2} = \sum_{j=1}^{n}(P/RT_j)y_{j,CO2}(A_cdz*\epsilon)\tag{4}##

Total molar holdup of CO2 in the solid phase:
##M_{SOLID} = \sum_{j=1}^{n}(M_j)\tag{5}##

(And the same for H2O)

Using these relationships, we get this output:
View attachment 327171
At long times CO2 in = CO2 out, and at long times CO2 Gas phase molar holdup = CO2 in * number of tanks

And the same trend for H2O, except the times involved are longer as it takes H2O longer to move through the bed:
View attachment 327172
You should also show a graph of yellow + red + green in comparison to blue to show that CO2 and H2O are conserved. Im surprised that the holdup in the gas within the column is so low, even though all the CO2 and H20 exiting the column exits in the gas streams from the final tank.
casualguitar said:
If the above looks reasonable, I was hoping to define some parameters that could assess the performance of this system, before running the simulation for suitable ranges of initial/boundary conditions Possibly:

Captured Fraction:
##\eta = \frac{M_{SOLID}}{M_{IN,TOTAL}}##

In addition I was interested in defining a parameter that measures the total amount of energy required to 'capture' a given amount of CO2. This parameter would take into account the energy required to cool the bed (I should have this from the other model), and also the energy required to send combustion gas to the packed bed (via compressor). The idea being to assess different conditions versus this "energy required per unit of CO2 captured" parameter. If you think this is reasonable I'll make an initial attempt at defining that performance parameter more accurately
The fraction captured should pass through a maximum, after which, at some time, the flow should stop.
 
  • #411
casualguitar said:
Here's an inital attempt -

Assuming here that these variables are the ones we have operational control over:
1. Initial bed temperature
2. Inlet gas temperature
3. Bed pressure
4. Inlet CO2 concentration
5. Bed material

It would be useful to know which values of each of the above variables lead to the largest amount of CO2 captured. We could simply run a parametric analysis here to see that

I think it would be more useful though to know which values of each of the above variables lead to the largest amount of CO2 captured ##\textbf{per unit of energy input}## i.e. how much total energy input is required per unit mass of CO2 captured. In this packed bed system, we've got energy input in two forms:
1. Cooling of the packed bed
2. 'Pressurising' of the hot N2/CO2/H2O stream to pass it through the packed bed

Note here we have been running the model at atmospheric pressure, but we could in theory run it at any pressure up to the triple point pressure (about 5atm), which is why I included energy input #2.

So the total energy would be the sum of these (not defined properly yet).

The 'total amount of CO2 captured' could be defined as the maximum amount of CO2 captured. We have data for the amount of CO2 deposited at each point in the bed at each point in time, so we could simply take the maximum value.

Do you think the above is reasonable? If so I'll start defining the energy inputs properly. Very much open to the possibility of using other performance parameters at this stage if you think of any!
These all sound like good possibilities. Once you start playing with the model as if it is a real system, you will get other ideas.
 
  • #412
Chestermiller said:
These all sound like good possibilities. Once you start playing with the model as if it is a real system, you will get other ideas.
Thanks Chet. Working on this. Will update with progress in due course
 
  • #413
Hi Chet - just posting my update here to keep this timeline intact -

My thoughts on the axial dispersion coefficient for model 1 -

My thoughts -

We defined ##l##, the dispersion length, as:
$$l = \frac{\Delta x}{2}$$

We know:
$$\Delta x = \frac{L}{n}$$

Subbling ##\Delta x## in:
$$l = \frac{L}{2n}$$

We also know ##D = u*l##, where D is the dispersion coefficient, so:
$$\frac{D}{u} = \frac{L}{2n}$$

So n, the number of tanks, as a function of the dispersion coefficient (and the equation we could use to find the number of tanks) is:
$$n = \frac{L*u}{2D}$$

Therefore, if I find a correlation for the dispersion coefficient in literature then I can sub this in above. You mentioned we couldnt use a correlation that was a function of the Reynolds number though I dont understand what the problem with using one that is a function of the Reynolds number would be?

Or have I made an incorrect assumption about what it is I'm doing?
 
  • #414
Chestermiller said:
You should also show a graph of yellow + red + green in comparison to blue to show that CO2 and H2O are conserved. Im surprised that the holdup in the gas within the column is so low, even though all the CO2 and H20 exiting the column exits in the gas streams from the final tank.
Just updating with the mole balance check. Plot of CO2 in vs out+gas holdup + solid holdup:
Screenshot 2023-06-06 at 10.59.40.png

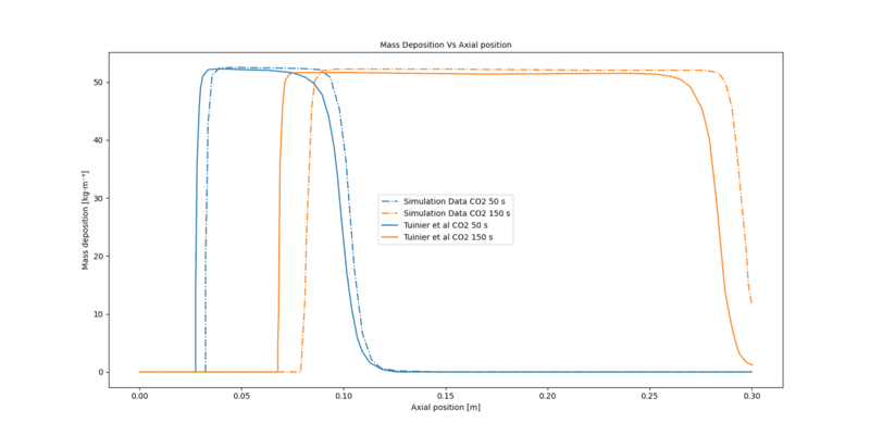
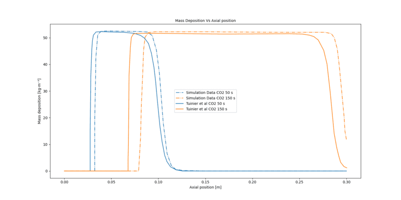
It seems to be ok based on this plot. Also it matches the Tuinier data well:
co2_model_tuned_temperature.png

Figure_normalized_co2 copy.png
 
  • #415
casualguitar said:
Just updating with the mole balance check. Plot of CO2 in vs out+gas holdup + solid holdup:
View attachment 327496
It seems to be ok based on this plot. Also it matches the Tuinier data well:
View attachment 327497
View attachment 327498
Considering the differences between the two models, these are excellent matches.
 
  • Like
Likes   Reactions: casualguitar
  • #416
casualguitar said:
\Hi Chet - just posting my update here to keep this timeline intact -

My thoughts on the axial dispersion coefficient for model 1 -

My thoughts -

We defined ##l##, the dispersion length, as:
$$l = \frac{\Delta x}{2}$$
We don't define the diffusion length as $$l=\Delta x/2$$We choose ##\Delta x## such that $$\Delta x=2l$$This enables us to use backward differencing to simulate the actual amount of dispersion without explicitly including the dispersion.
casualguitar said:
We know:
$$\Delta x = \frac{L}{n}$$

Subbling ##\Delta x## in:
$$l = \frac{L}{2n}$$

We also know ##D = u*l##, where D is the dispersion coefficient, so:
$$\frac{D}{u} = \frac{L}{2n}$$

So n, the number of tanks, as a function of the dispersion coefficient (and the equation we could use to find the number of tanks) is:
$$n = \frac{L*u}{2D}$$

Therefore, if I find a correlation for the dispersion coefficient in literature then I can sub this in above. You mentioned we couldnt use a correlation that was a function of the Reynolds number though I dont understand what the problem with using one that is a function of the Reynolds number would be?

Or have I made an incorrect assumption about what it is I'm doing?
According to Freeze and Cherry, l is a characteristic of the porous medium independent of the flow rate.
 
  • #417
Chestermiller said:
We don't define the diffusion length as $$l=\Delta x/2$$We choose ##\Delta x## such that $$\Delta x=2l$$This enables us to use backward differencing to simulate the actual amount of dispersion without explicitly including the dispersion.

According to Freeze and Cherry, l is a characteristic of the porous medium independent of the flow rate.
I saw this also if you're referring to page 390. It defines it as:
$$D = \alpha * \bar{v} + D^*$$
where ##\alpha## is the thermal diffusivity and ##D^*## is the molecular diffusivity.

They extend this to say that ##D = \alpha * \bar{v}## is a reasonable estimate (as you previously defined it). However they don't seem to give ##\alpha## as a function of anything in particular (or reference anyone that might).

Are you saying here that it needs to be determined experimentally, or am I not understanding how we can approximate it?
 
  • #418
At a bit of a loss for what to do about the dispersivity - but I did find something possibly useful in this paper by Rastegar et al. They cite some correlations for the axial dispersion coefficient that are not dependent on the Reynolds number : https://www.sciencedirect.com/scien...aLlLLqg7a40zkvohwbhpnLD7a6uZqchExe8QqNC-NCgiI

I was thinking that I could use one of these, and divide by the superficial velocity to get the value of ##l##?

Here are the correlations they mention, where ##D_{ab}## is the axial dispersion coefficient:

First one:
Screenshot 2023-06-06 at 21.17.23.png


Second one:
Screenshot 2023-06-06 at 21.17.55.png


Do you think either of these are valid? If so I'll plot both for a range of superficial velocities

This question of quantifying the dispersion is the last roadblock in the model 1 simulation. After that its just parametric analysis
 
  • #419
Chestermiller said:
According to Freeze and Cherry, l is a characteristic of the porous medium independent of the flow rate.
Ah here we go - I found this in "A Review of Diffusion and Dispersion in Porous Media" by Perkins et al:

Screenshot 2023-06-06 at 22.48.12.png


This is on the order of the particle diameter as you said, and is not a function of the Reynolds number. Looks promising?

So since we know ##D=u*l##, I guess we can say:
$$D = u*(1.75*d_p)$$
So:
$$l = 1.75*d_p$$

And using our previously derived ##n = \frac{L}{2*l}##, particle diameter of 5mm and column length of 1m, we get:
$$n \approx 57$$

I'm semi optimistic about the above. Have I done anything outlandish?
 
  • #420
Hey Chet,

Just updating here to say the parametric analysis for the CO2 model is in progress. As of now its set up like the following:
Parametric variables: Bed temperature (-170C to -90C), CO2 inlet mole fraction (0.1, 0.15, 0.2), and material (alumina, stainless steel, and silica). The inlet temperature is 100C.
Performance parameters: Specific Energy (cooling energy required per mole of co2 captured), captured fraction (solid co2 divided by total co2 in)

In addition, I'm doing a similar analysis for standard air (not flue gas). So for the same bed temperatures and materials I'll run a CO2 mole fraction of 0.000414 and an inlet temperature of 15C
 

Similar threads

Replies
454
Views
31K
  • · Replies 2 ·
Replies
2
Views
2K
  • · Replies 6 ·
Replies
6
Views
2K
  • · Replies 0 ·
Replies
0
Views
1K
  • · Replies 1 ·
Replies
1
Views
2K
  • · Replies 5 ·
Replies
5
Views
2K
  • · Replies 25 ·
Replies
25
Views
3K
  • · Replies 26 ·
Replies
26
Views
7K
  • · Replies 31 ·
2
Replies
31
Views
5K
  • · Replies 8 ·
Replies
8
Views
4K