Modelling of two phase flow in packed bed using conservation equations

Click For Summary

Discussion Overview

The discussion revolves around the modeling of two-phase flow in a packed bed using conservation equations, specifically focusing on the derivation of mass, momentum, and energy equations that account for phase changes in the fluid. Participants explore the complexities involved in simulating this system, including the need to track temperature and phase fronts over time.

Discussion Character

  • Exploratory
  • Technical explanation
  • Conceptual clarification
  • Debate/contested
  • Mathematical reasoning

Main Points Raised

  • One participant seeks to derive mass, momentum, and energy equations for two-phase flow, noting that existing equations for single-phase flow are insufficient.
  • Another participant suggests starting with simpler models to understand the system before increasing complexity, emphasizing the importance of preliminary calculations.
  • Participants discuss the need to consider system parameters such as diameter, packing type, void fraction, and flow direction in the modeling process.
  • There is a proposal to model isothermal behavior under different conditions (all liquid vs. all gas) to understand residence time and pressure variations.
  • One participant acknowledges the need to account for pressure drop and residence time in their models, questioning how to calculate these factors effectively.
  • Discussion includes the concept of lumped parameter models, with questions about how temperature and other properties behave under high axial dispersion conditions.
  • Participants express intentions to formulate simplified models and share their approaches to the conservation equations.

Areas of Agreement / Disagreement

Participants generally agree on the need to start with simpler models before tackling the complexities of two-phase flow. However, there are multiple competing views on the best approach to modeling and the specific parameters to consider, leaving the discussion unresolved.

Contextual Notes

Participants mention various assumptions and conditions, such as the static nature of the packed bed and the potential significance of pressure drop, which may affect the modeling outcomes. The discussion also highlights the need for further exploration of lumped parameter models and their implications.

Who May Find This Useful

This discussion may be useful for researchers and practitioners interested in fluid dynamics, thermal management in packed beds, and the modeling of phase changes in porous media.

casualguitar
Messages
503
Reaction score
26
TL;DR
How can the conservation/Navier Stokes equations (mass, momentum,energy) be modified to model two phase flow in a porous media?
Previously, I have seen the derivation of the energy conservation equations for simulation of single phase flow in a porous media (a packed bed). These are the energy equations for the solid and fluid respectively:
8x94x.png


I understand the derivation, however, these equations will only work when the fluid flow is single phase. I would like to derive this equation (and likely the mass/momentum equations if necessary), for two phase fluid flow i.e. with a phase change

The mass, momentum, and energy conservation equations:
Screenshot 2021-11-04 at 13.38.00.png

Screenshot 2021-11-04 at 13.38.32.png

Screenshot 2021-11-04 at 13.39.14.png


The goal here is to model the phase change of the fluid as it flows through the porous bed.

Requirements here are to model the temperature of the solid and fluid over time, and to track the phase fronts over time. Inside the phase change segment of the bed I would like to track the quality. I believe the solid energy conservation equation is not affected by the phase change, and we do not need mass/momentum conservation for the solid as it is static.

So this leaves a mass,momentum, and energy balance for the two phase fluid

I have set up a code base that allows calculation of almost any property for a pure fluid or mixture that would be required for this model. So essentially the derivation of the conservation equations are all that are remaining to model this system.

So to the question - how can I get started with deriving mass/momentum/energy (MME) equations that track the goal parameters? Is this a trivial change to the equations above?

Side note - I am also including this energy conservation equation that was previously flagged as being useful in solving this problem:
Screenshot 2021-11-04 at 13.44.57.png
 
  • Like
Likes   Reactions: Chestermiller
Engineering news on Phys.org
This is a rather complicated problem, and attacking it will require good modeling strategy. The first principle of good modeling is to start simple and gradually build in complexity until you have a model that you are comfortable with. So starting with the most general mass, momentum, and energy balance equations that you have shown above and then trying to apply them to your situation is the opposite of what you should be doing. The first pair of equations you presented is much closer to where you should be heading.

What is needed are some preliminary calculations using a very simple model (or an array of simple models) to get your feet wet and get the "lay of the land." Also, it would quickly give you some results under your belt.

Do you have an idea of a starting design for this system, such as overall diameter, packing type, void fraction, length, bed orientation (vertical or horizontal), flow direction, etc? What is the gas/liquid, inlet fluid temperature, initial bed temperature, initial temperature and phase of fluid within bed, etc?

Let's brainstorm some preliminary models to get us started.

1. Two phase flow of vapor and liquid in a bed is going to be pretty complicated, particularly if the pressure is changing and the residence time is large. Let's model what the isothermal behavior of the fluid would be (a) if it were all liquid and (b) if it were all gas. This would give us an idea of the residence time and the possible pressure variations in the bed. This is all designed to give us a handle on the relevance of the fluid flow to this system.

2. Consider a case in which the pressure of the fluid is constant and there is a huge amount of axial dispersion in the fluid, so that that the fluid is all at the same temperature within the bed, and the exit temperature is the same as the fluid temperature within the bed. This is a so-called lumped parameter continuous stirred tank model. Under these circumstances, the bed temperature would also be uniform at any time. Assume first no phase change, and determine the fluid and bed temperatures as functions of time. Then solve it for a mixture of liquid and gas exiting.

Your turn to brainstorm some simplified models for this list. Also, let's see your formulation for the 2nd item on my list (at least for the no-phase-change case). If you have trouble with this, I will help.
 
Last edited:
  • Like
Likes   Reactions: Astronuc and casualguitar
Once you set up the 2nd model I proposed, you will see how to modify the first fluid equation in your original post to include phase change.
 
  • Like
Likes   Reactions: casualguitar
Hi Chet!

Again much appreciated for your help on this. It's great to have someone to discuss this with. Apologies in advance for the slightly verbose response.

Chestermiller said:
What is needed are some preliminary calculations using a very simple model (or an array of simple models) to get your feet wet and get the "lay of the land."
Ok great. You're right this is exactly the opposite of what I was planning to do. The idea of starting simple and gradually building the model does sound like a better approach. And yes it would also provide a map of results, rather than just having one final model with nothing to compare with.

Chestermiller said:
Do you have an idea of a starting design for this system, such as overall diameter, packing type, void fraction, length, bed orientation (vertical or horizontal), flow direction, etc? What is the gas/liquid, inlet fluid temperature, initial bed temperature, initial temperature and phase of fluid within bed, etc?
Yes, I know all of these values actually. They will be variables in the model but I'll provide all values here to give a mental image of the system. The packed bed is intended to be a lab scale cryogenic energy storage system.

Diameter: 10cm approx
Packing type: random
Void fraction: about 0.3 (I don't have this number on hand). I should add here that the bed is static
Length: 2.8m approx
Bed Orientation: Vertical
Gas/Liquid: Air (O2/N2 mixture)
Flow Direction (there are two configurations here):
1) The bed is at ambient temperature and liquid air flows from the bottom up through the bed, vaporising and cooling the bed. The gas flows out through the top
2) Ambient temperature air flows down through a cold packed bed, liquefying the gas and warming the bed. The liquid flows out through the bottom
Initial Temperatures:
Configuration 1) Liquid air at approx 80K and a packed bed temperature of about 290K
Configuration 2) Ambient air at approx 290K and a packed bed at 80K

Initial thoughts on your two models:
1.
Pressure variation:
Up until now I've assumed constant pressure, and any model I've seen has done the same. However in a system like this its possible that the pressure drop will be significant so I'll aim to have it in the final models down the line.
Residence time: I haven't thought about the residence time here. I initially assumed I would just any inlet flow value, however this seems to be incorrect. The fluid will surely need a given amount of time to liquefy/regasify, and maybe the flow rate should be set such that it gives the liquid/gas enough time to change phase
Modelling the residence time of a fluid/gas: Would this just be a calculation to find the pore velocity of the liquid/gas? Then the residence time would simply be Length/Pore velocity
Pressure Drop: I think I can do a simple calculation with the Ergun equation here to get an approx idea

2.
Ok to confirm I understand this correctly - the effect of very high axial dispersion is that at any time the bed will be the same temperature throughout. The fluid is also at the same temperature throughout, meaning that it must enter at temperature T0 and immediately change to temperature T1. Is the bed necessarily at temperature T1 also? I will need to do some reading on lumped parameter models, but I think the idea here is to take weighted average values of any model parameter (cp, density, etc) at any point?
Chestermiller said:
Your turn to brainstorm some simplified models for this list. Also, let's see your formulation for the 2nd item on my list (at least for the no-phase-change case).
Ok I'm going to make my attempt at model 2 tonight/tomorrow. It seems simplification of the conservation equations is the way to go there. Is this a fair approach? Also, I see your second reply to this post was posted as I am writing this. I will reply to this separately. Thank you
 
Last edited:
Chestermiller said:
Once you set up the 2nd model I proposed, you will see how to modify the first fluid equation in your original post to include phase change.
Oh Interesting!

Actually I should add, I am able to solve PDEs numerically and have done so for some simple models I found in various papers.

As mentioned I also wrote a library that can calculate any mixture or pure fluid property for gas/liquid phase (cp,rho etc). These properties are functions of temperature and pressure, so this will allow (slightly easier) implementation of the pressure variation model I would imagine
 
What ratios of liquid/gas are you considering? As the value of the ratio gets smaller, separation of the phases becomes important.
 
anorlunda said:
What ratios of liquid/gas are you considering? As the value of the ratio gets smaller, separation of the phases becomes important.
Hi and thank you for your response. I'm not sure I fully understand your question.

The inlet to the bed will always be either a gas or a liquid, never a mixture of the two. Inside the bed, the phase change will occur over a certain 'distance' inside the packed bed (gas to liquid, or liquid to gas), and the outlet will also ideally be single phase.

Does this answer your question? If it doesn't I can clarify any further questions on the design. Also, if you see my response to Chet Miller, I describe the system at a high level
 
casualguitar said:
The inlet to the bed will always be either a gas or a liquid, never a mixture of the two.
Sorry, I misread the question.
 
anorlunda said:
Sorry, I misread the question.
No bother at all and thanks for your response. I'm currently working on model 2 as proposed by Chet above. I am happy to discuss the model with you also. I should have an attempt at model 2 complete tomorrow morning (EU time here)
 
  • #10
casualguitar said:
Hi Chet!

Initial thoughts on your two models:
1.
Pressure variation:
Up until now I've assumed constant pressure, and any model I've seen has done the same. However in a system like this its possible that the pressure drop will be significant so I'll aim to have it in the final models down the line.
Residence time: I haven't thought about the residence time here. I initially assumed I would just any inlet flow value, however this seems to be incorrect. The fluid will surely need a given amount of time to liquefy/regasify, and maybe the flow rate should be set such that it gives the liquid/gas enough time to change phase
Modelling the residence time of a fluid/gas: Would this just be a calculation to find the pore velocity of the liquid/gas? Then the residence time would simply be Length/Pore velocity
Yes.
casualguitar said:
Pressure Drop: I think I can do a simple calculation with the Ergun equation here to get an approx idea
Yes, this is what I had in mind.
casualguitar said:
2.
Ok to confirm I understand this correctly - the effect of very high axial dispersion is that at any time the bed will be the same temperature throughout. The fluid is also at the same temperature throughout, meaning that it must enter at temperature T0 and immediately change to temperature T1. Is the bed necessarily at temperature T1 also? I will need to do some reading on lumped parameter models, but I think the idea here is to take weighted average values of any model parameter (cp, density, etc) at any point?
Not exactly. The bed and the fluid (gas) in the bed start out at T1 while fluid (gas) is introduced into the bed at T0. So the temperature in the lumped parameter tank will start out at T1 and rise gradually to T0. There is a heat transfer coefficient between the bed and the gas in the bed. So the dependent variables will be the gas temperature and the bed temperature, and, in this simple model, they will be functions only of time.
 
  • #11
Chestermiller said:
Not exactly. The bed and the fluid (gas) in the bed start out at T1 while fluid (gas) is introduced into the bed at T0. So the temperature in the lumped parameter tank will start out at T1 and rise gradually to T0. There is a heat transfer coefficient between the bed and the gas in the bed. So the dependent variables will be the gas temperature and the bed temperature, and, in this simple model, they will be functions only of time.

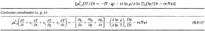
Ok great. It seems we will only need the energy conservation equation here then for both the fluid and solid separately, not the mass/momentum equations. Is this correct?

So taking the energy conservation equation:
1636111963025.png


Assumptions:
1)
No temperature variation along the bed in any direction for both the fluid and solid (dT/dx,dT/dy,dT/dz) will all be zero)
2) No pressure variation (Dp/Dt = 0)
3) The velocity gradient is small enough such that shear stresses will be zero (shear stress term will be zero)
4) We're dealing with a single phase

Point of confusion:
I'm going to say that q here is due to only convection, not the sum of convection and conduction. The reason I'm confused here is because the the temperature in the bed is constant. So this might mean there is no conduction between solid particles. Is this correct?

So for those reasons, I think the answer to model 2 is the same as the original equations I posted, minus the dTf/dx fluid term, the conduction terms in both equations, and the losses to the environment term. I'm going to write the equations out using LaTex (I haven't done this before so I guess it'll take a few attempts to get right):

$$\epsilon\ * \rho_{f} *C_{pf}*dT_{f}/dt = h_{fp}*a_{s}*(Ts-Tf)$$
$$(1-\epsilon) * \rho_{s} *C_{ps}*dT_{s}/dt = h_{fs}*a_{s}*(Tf-Ts)$$

These equations say the following to me:
LHS: The temperature of the fluid/solid will change over time
RHS: The temperature change is driven by convection (the difference between Tf and Ts)
Note: f and s subscripts are fluid and solid

Is this the right direction? I will edit this if I see any corrections!

I'm now going to look into how to adapt this for the phase change case. My initial thought is that it seems that it might be possible to have an 'if statement' of sorts, where we check the boiling point of the fluid. For T>Tsat we use the gas parameters, and for T<Tsat we use liquid parameters. This could avoid the need for a phase change term. However obviously it tells us nothing about the phase change itself.

I'm going to think about the addition of a phase change term now.
 

Attachments

  • 1636113781874.png
    1636113781874.png
    10.2 KB · Views: 297
Last edited:
  • #12
For the lumped parameter model I described, in the case of no phase change, the overall mass balance on the gas is $$\frac{dm}{dt}=\dot{m}_{in}-\dot{m}_{out}$$and the enthalpy balance on the gas is $$\frac{d(mh)}{dt}=\dot{m}_{in}h_{in}-\dot{m}_{out}h-UA(T-T_S)$$where m is the mass of fluid in the bed at any time ##\left(m=\frac{pM}{RT}V\right)##, ##\dot{m}_{in}## is the mass flow rate into the bed, ##\dot{m}_{out}## is the mass flow rate of gas out of the bed, U is the heat transfer coefficient between the gas and the solid bed, V is the total pore volume, and A is the heat transfer area between the gas and solid bed. Note that, in this crude lumped parameter model, all the gas is well mixed, so the exit enthalpy is equal to the uniform gas enthalpy in the bed.

Combining these two equations yields:
$$m\frac{dh}{dt}=\dot{m}_{in}(h_{in}-h)-UA(T-T_S)$$Substituting for the enthalpy ##dh=C_PdT##, we then have: $$mC_p\frac{dT}{dt}=\dot{m}_{in}C_p(T_{in}-T)-UA(T-T_S)$$
For the solid bed, the corresponding heat balance is $$MC_S\frac{dT_S}{dt}=UA(T-T_S)$$
So, for this very crude lumped parameter model, we have two simultaneous ordinary differential equation in two unknowns for the gas temperature T and the solid bed temperature ##T_S##. Note that this simple formulation accounts for the changes in gas holdup within the bed as a result of temperature induced density changes.

If it were me, I would run some calculations using this crude model to see what it predicted.

Extending this model to cases in which there is vapor condensation would be the next step. How do you think the equations would change in a region where vapor condensation is occurring at constant temperature and pressure.
 
  • Like
Likes   Reactions: casualguitar
  • #13
Chestermiller said:
Combining these two equations yields:
$$m\frac{dh}{dt}=\dot{m}_{in}(h_{in}-h)-UA(T-T_S)$$Substituting for the enthalpy ##dh=C_PdT##, we then have: $$mC_p\frac{dT}{dt}=\dot{m}_{in}C_p(T_{in}-T)-UA(T-T_S)$$
For the solid bed, the corresponding heat balance is $$MC_S\frac{dT_S}{dt}=UA(T-T_S)$$
So, for this very crude lumped parameter model, we have two simultaneous ordinary differential equation in two unknowns for the gas temperature T and the solid bed temperature ##T_S##. Note that this simple formulation accounts for the changes in gas holdup within the bed as a result of temperature induced density changes.

If it were me, I would run some calculations using this crude model to see what it predicted.

Extending this model to cases in which there is vapor condensation would be the next step. How do you think the equations would change in a region where vapor condensation is occurring at constant temperature and pressure.
Wow ok I was way off. I fully understand how you got the final solid/heat balances though. Again thank you for the comprehensive responses.

I'll put together a simulation for this model in Python.

Chestermiller said:
Extending this model to cases in which there is vapor condensation would be the next step. How do you think the equations would change in a region where vapor condensation is occurring at constant temperature and pressure.

Ok so for the vapour condensation model, as we previously discussed, the solid heat balance stays the same. Hmm so to the fluid heat balance (I'll try to follow the logic you followed):

One point of confusion first:
Before I attempt the heat balance, can I ask - should I expect I will have two (or even three maybe) heat balances for the fluid? As follows:
Heat Balance 1: Specifically for the phase change zone and will include a phase change term with the heat of condensation
Heat Balance 2: For the single phase gas zone (before condensation)
Heat Balance 3: For the single phase liquid zone (after condensation)

Or does there exist a single heat balance equation that can model all three zones?

Reasoning for more than one heat balance for the fluid:
I'm thinking this is the case because I'm not sure how I could get the phase change term to be equal to zero for the regions outside the phase change region. I could possible imagine a $$\frac{dX}{dt}$$ derivative representing the phase change (where X is the liquid fraction). This term would need to be zero when the phase change is not happening. I could possible produce this derivative term from the mixture enthalpy equation:
$$h_{mix} = h_{l} * X + h_{g} * (1-X)$$

Are the above guesses correct? (I'd like to give this a proper attempt before any solution from you!). Thank you
 
Last edited:
  • #14
casualguitar said:
Wow ok I was way off. I fully understand how you got the final solid/heat balances though. Again thank you for the comprehensive responses.

I'll put together a simulation for this model in Python.
Ok so for the vapour condensation model, as we previously discussed, the solid heat balance stays the same. Hmm so to the fluid heat balance (I'll try to follow the logic you followed):

One point of confusion first:
Before I attempt the heat balance, can I ask - should I expect I will have two (or even three maybe) heat balances for the fluid? As follows:
Heat Balance 1: Specifically for the phase change zone and will include a phase change term with the heat of condensation
Heat Balance 2: For the single phase gas zone (before condensation)
Heat Balance 3: For the single phase liquid zone (after condensation)

Or does there exist a single heat balance equation that can model all three zones?

Reasoning for more than one heat balance for the fluid:
I'm thinking this is the case because I'm not sure how I could get the phase change term to be equal to zero for the regions outside the phase change region. I could possible imagine a $$\frac{dX}{dt}$$ derivative representing the phase change (where X is the liquid fraction). This term would need to be zero when the phase change is not happening. I could possible produce this derivative term from the mixture enthalpy equation:
$$h_{mix} = h_{l} * X + h_{g} * (1-X)$$

Are the above guesses correct? (I'd like to give this a proper attempt before any solution from you!). Thank you
Yes. This is basically all correct. The starting balance equations all still apply, but the equations for the enthalpy per unit mass and the holdup m of fluid will be more general:

If ##T_R## is a reference temperature for zero enthalpy of liquid and ##T_{sat}## is the saturation temperature at the bed pressure, then

##h=C_{PL}(T-T_R)## for ##T\leq T_{sat}##

##h=C_{PL}(T_{sat}-T_R)+\Delta h_{vap}(1-X)## for ##T=T_{sat}## and ##0 \leq X \leq1##

##h=C_{PL}(T_{sat}-T_R)+\Delta h_{vap}+C_{PV}(T-T_{sat})## for ##T \geq T_{sat}##

and, for the mass holdup in the column, if ##v_L## is the specific volume of the liquid, we have

##m=\frac{V}{v_L}## for ##T\leq T_{sat}##

##m=\frac{V}{v_lX+\frac{RT_{sat}}{PM}(1-X)}## for ##T=T_{sat}## and ##0 \leq X \leq1##

##m=\frac{PM}{RT}V## for ##T \geq T_{sat}##

I hope this makes sense
 
  • #15
Based on this simple model, it is now clear to me how to set up the numerical solution to the necessarily modified version of the original heat balance in your first post. But, before we discuss this, I'd be interested in seeing your results for the simplified model calculations. I'd like to see you get some experience with this first.
 
  • #16
Chestermiller said:
Based on this simple model, it is now clear to me how to set up the numerical solution to the necessarily modified version of the original heat balance in your first post. But, before we discuss this, I'd be interested in seeing your results for the simplified model calculations. I'd like to see you get some experience with this first.
Hi Chet, I just finished reading your comment on the phase change model. This mostly makes sense to me. Yes I can implement the no phase change model before we continue (not sure just yet on the phase change one). I do have some questions to clear up first though.

So we've got the fluid and solid heat balances from you above:
$$mC_p\frac{dT}{dt}=\dot{m}_{in}C_p(T_{in}-T)-UA(T-T_S)$$
$$MC_S\frac{dT_S}{dt}=UA(T-T_S)$$

We don't have any spatial derivatives, so we just need to discretise the time domain here (say increments of 1 second for example). We can then write the derivatives in the fluid/solid heat balances in numerical form (forward difference):
$$\frac{T^{t+1}_f - T^{t}_f}{\delta T}$$
$$\frac{T^{t+1}_s - T^{t}_s}{\delta T}$$

Then we can solve for ##T^{t+1}_f## and ##T^{t+1}_s## as we have values for all of the other parameters

Now, we need to update the values of ##T## (or ##T_{f}## as I've called it) and ##T_{s}##, increment the time value, and repeat until ##t## = the set point value.

The values ##m, C_{pf}## and ##C_{ps}## should be updated each loop also. I can do this actually for the fluid (I don't have Cp correlations for the solid so I'll leave this constant)

The U value I will leave as a global variable (I could just adjust this freely for the purpose of this model, rather than finding correlations).

Finally, the A value will be the total surface area of the solid.

$$V_{totalsolids} = V*\epsilon$$
$$V_{particle} = \pi*\frac{d^2}{4}$$

From this I can find the number of particles and the total surface area, A

Is the above approach suitable? If so I can implement this in Python
 
  • #17
casualguitar said:
Hi Chet, I just finished reading your comment on the phase change model. This mostly makes sense to me. Yes I can implement the no phase change model before we continue (not sure just yet on the phase change one). I do have some questions to clear up first though.

So we've got the fluid and solid heat balances from you above:
$$mC_p\frac{dT}{dt}=\dot{m}_{in}C_p(T_{in}-T)-UA(T-T_S)$$
$$MC_S\frac{dT_S}{dt}=UA(T-T_S)$$

We don't have any spatial derivatives, so we just need to discretise the time domain here (say increments of 1 second for example). We can then write the derivatives in the fluid/solid heat balances in numerical form (forward difference):
$$\frac{T^{t+1}_f - T^{t}_f}{\delta T}$$
$$\frac{T^{t+1}_s - T^{t}_s}{\delta T}$$

Then we can solve for ##T^{t+1}_f## and ##T^{t+1}_s## as we have values for all of the other parameters

Now, we need to update the values of ##T## (or ##T_{f}## as I've called it) and ##T_{s}##, increment the time value, and repeat until ##t## = the set point value.

The values ##m, C_{pf}## and ##C_{ps}## should be updated each loop also. I can do this actually for the fluid (I don't have Cp correlations for the solid so I'll leave this constant)

The U value I will leave as a global variable (I could just adjust this freely for the purpose of this model, rather than finding correlations).

Finally, the A value will be the total surface area of the solid.

$$V_{totalsolids} = V*\epsilon$$
$$V_{particle} = \pi*\frac{d^2}{4}$$

From this I can find the number of particles and the total surface area, A

Is the above approach suitable? If so I can implement this in Python
Regarding the heat capacities, do you really want to consider these temperature-dependent? At least for this crude model, I would treat them as constants.

Do you not have available to you an automatic ODE implicit integrator like the GEAR package on the IMSL library or DASSL (available for free online)? Of course, these are FORTRAN programs. Is there no such software available with PYTHON? It would make life so much easier for you, since these packages have automatic time step size control, automatic order control, and automatic accuracy control, and all you need to do is provide coding for calculating the time derivatives.

If you are going to integrate these equations manually, I strongly recommend going fully implicit. You are certainly going to have to do this (for stability control) when you solve the actual PDEs for the time- and spatial model.
 
  • #18
Chestermiller said:
Regarding the heat capacities, do you really want to consider these temperature-dependent? At least for this crude model, I would treat them as constants.
Will do. Its fairly straightforward for me to treat them as variable using the code I wrote to do this. I'll treat them as constant in this model.

Chestermiller said:
Do you not have available to you an automatic ODE implicit integrator like the GEAR package on the IMSL library or DASSL (available for free online)? Of course, these are FORTRAN programs. Is there no such software available with PYTHON? It would make life so much easier for you, since these packages have automatic time step size control, automatic order control, and automatic accuracy control, and all you need to do is provide coding for calculating the time derivatives.
Hmm I hadn't thought about using something something like this. This would be a package that could solve both single ODEs and systems of PDEs I guess? Ok sounds good I'll go with this approach as it will be even more useful as the model develops as you said
Chestermiller said:
If you are going to integrate these equations manually, I strongly recommend going fully implicit. You are certainly going to have to do this (for stability control) when you solve the actual PDEs for the time- and spatial model.
Yes I was thinking of using Crank Nicolson to solve future models and Neumann stability analysis to get stable time steps. However as you said if there are packages that do this for you then this is preferred.

Ok I'm going to first find a package that does this and then implement the model above. Will reply here with some high level results. Thank you
 
  • Like
Likes   Reactions: Chestermiller
  • #19
I have some more ideas for you on this simple model.

For the case of constant heat capacity and no phase change,
1. Solve the equations analytically

2. Consider the limiting case where the fluid flow is so fast that it does not change temperature in passing through the bed

3. Consider the limiting case where the heat transfer coefficient between the bed and solid approaches zero, so that the incoming fluid just purges the initial temperature of the fluid in the bed (like a CSTR)

For the case of a. phase change, rather than having the heat of vaporization and the specific volume change occur at an exact temperature, distribute the changes linearly over a narrow temperature range of say 5 C. This would enable you eliminate the mass fraction X variation at the saturation temperature from the calculation and simply replace it by the temperature variation over the range.
 
  • #20
I will be spending this morning on the previous model (had some TA work to do over the weekend). Thank you for these additional model examples, they're really useful.

Chestermiller said:
For the case of constant heat capacity and no phase change,
1. Solve the equations analytically
I can do this (and compare the results with the numerical original model). I'm not so sure how to deal with the
##\int T \, dTs## and the ##\int Ts\, dT## terms but I'll get to this

Chestermiller said:
2. Consider the limiting case where the fluid flow is so fast that it does not change temperature in passing through the bed
Ok I can do this too. I'm very tempted here to say we won't need an energy balance to the fluid at all here. The bed energy balance will possibly remain the same also:
$$MC_S\frac{dT_S}{dt}=UA(T-T_S)$$
The only difference is that T is now constant, meaning that this should be easy to solve analytically. Is this problem similar to placing a solid into a 'very large' body of fluid?

Chestermiller said:
3. Consider the limiting case where the heat transfer coefficient between the bed and solid approaches zero, so that the incoming fluid just purges the initial temperature of the fluid in the bed (like a CSTR)
Hmm. I'm struggling to see the difference between this model and model 2. So in model 2 the fluid definitely will not change temperature. If we assume that U is actually zero in model 3, then the fluid temperature will not change over time either (after the initial purge). I think this would mean that the heat balance to the bed is the same for model 2 and model 3

Chestermiller said:
For the case of a. phase change, rather than having the heat of vaporization and the specific volume change occur at an exact temperature, distribute the changes linearly over a narrow temperature range of say 5 C.
Understood
Chestermiller said:
This would enable you eliminate the mass fraction X variation at the saturation temperature from the calculation and simply replace it by the temperature variation over the range.
I think I understand. So from this equation:
##h=C_{PL}(T_{sat}-T_R)+\Delta h_{vap}(1-X)## for ##T=T_{sat}## and ##0 \leq X \leq1##

We would now want the ##\Delta h_{vap}## contribution to increase linearly over an interval ##T1 \leq T \leq{T2}##.

So we could use a something like:
##h=C_{PL}(T_{sat}-T_R)+\Delta h_{vap}(\frac{T-T1}{T2-T1})## for ##T1 \leq T \leq{T2}##

Ok, I'm going to find an ODE/PDE solver for the original model and return here with some output
 
  • #21
casualguitar said:
I will be spending this morning on the previous model (had some TA work to do over the weekend). Thank you for these additional model examples, they're really useful.I can do this (and compare the results with the numerical original model). I'm not so sure how to deal with the
##\int T \, dTs## and the ##\int Ts\, dT## terms but I'll get to this
Oops. Forgot about that. Try it using an average value of the fluid density over the temperature range. Then you would have two liner first order coupled ODEs. This could be used to compare with the numerical solution to validate it.
casualguitar said:
Ok I can do this too. I'm very tempted here to say we won't need an energy balance to the fluid at all here. The bed energy balance will possibly remain the same also:
$$MC_S\frac{dT_S}{dt}=UA(T-T_S)$$
The only difference is that T is now constant, meaning that this should be easy to solve analytically. Is this problem similar to placing a solid into a 'very large' body of fluid?
Yes. Exactly. This would give a good indicator of the approximate time constant for the actual problem.
casualguitar said:
Hmm. I'm struggling to see the difference between this model and model 2. So in model 2 the fluid definitely will not change temperature. If we assume that U is actually zero in model 3, then the fluid temperature will not change over time either (after the initial purge). I think this would mean that the heat balance to the bed is the same for model 2 and model 3
The equation here would be $$mC_p\frac{dT}{dt}=\dot{m}_{in}C_p(T_{in}-T)$$. This would give the approximate time constant for the fluid thermal response.
casualguitar said:
Understood

I think I understand. So from this equation:
##h=C_{PL}(T_{sat}-T_R)+\Delta h_{vap}(1-X)## for ##T=T_{sat}## and ##0 \leq X \leq1##

We would now want the ##\Delta h_{vap}## contribution to increase linearly over an interval ##T1 \leq T \leq{T2}##.

So we could use a something like:
##h=C_{PL}(T_{sat}-T_R)+\Delta h_{vap}(\frac{T-T1}{T2-T1})## for ##T1 \leq T \leq{T2}##
Yes, exactly. Something like that. We can flesh it out later. We would do the same sort of thing for the specific volume of the mixture.
 
  • #22
Chestermiller said:
Oops. Forgot about that. Try it using an average value of the fluid density over the temperature range. Then you would have two liner first order coupled ODEs. This could be used to compare with the numerical solution to validate it.

Yes. Exactly. This would give a good indicator of the approximate time constant for the actual problem.

The equation here would be $$mC_p\frac{dT}{dt}=\dot{m}_{in}C_p(T_{in}-T)$$. This would give the approximate time constant for the fluid thermal response.

Yes, exactly. Something like that. We can flesh it out later. We would do the same sort of thing for the specific volume of the mixture.
Hi Chet, to our original two equation, single phase question - I've got a solution for this. I'll post the code plus the output below. The values of U and A and arbitrary so the solution has very little physical meaning but the main thing is that the solver seems to work! I'm going to save all of these models as they do all add value even if they're simplifications of the goal model.

The code:
Screenshot 2021-11-08 at 15.46.09.png


Screenshot 2021-11-08 at 15.40.27.png


The output (quite basic but it shows the solid and fluid temperature both trending towards the inlet fluid temperature):
Temperature Profile Chet.png
 
  • #23
Chestermiller said:
Yes. Exactly. This would give a good indicator of the approximate time constant for the actual problem.

This would give the approximate time constant for the fluid thermal response.

Yes, exactly. Something like that. We can flesh it out later. We would do the same sort of thing for the specific volume of the mixture.
In regards to what the time constant for fluid thermal response is, I guess this is the 'rate' at which the temperature of the fluid/solid move towards the equilibrium temperature?

If the above solution looks good to you, I'll do both of these models now. I think I should do these before moving to the phase change model we discussed above.
 
  • #24
casualguitar said:
In regards to what the time constant for fluid thermal response is, I guess this is the 'rate' at which the temperature of the fluid/solid move towards the equilibrium temperature?

If the above solution looks good to you, I'll do both of these models now. I think I should do these before moving to the phase change model we discussed above.
What are the units of time on the figure?
 
  • #25
Chestermiller said:
What are the units of time on the figure?
The mass flow is kg/s so the time should be in seconds I believe. No?
 
  • #26
Chestermiller said:
What are the units of time on the figure?
Hi Chet, if you see no large errors in the model above I will continue on with the other discussed models (to get an approximation of the thermal response time)
 
  • #27
casualguitar said:
Hi Chet, if you see no large errors in the model above I will continue on with the other discussed models (to get an approximation of the thermal response time)
Why are there wiggles in the time response of the fluid?
 
  • #28
casualguitar said:
I will be spending this morning on the previous model (had some TA work to do over the weekend). Thank you for these additional model examples, they're really useful.I can do this (and compare the results with the numerical original model). I'm not so sure how to deal with the
##\int T \, dTs## and the ##\int Ts\, dT## terms but I'll get to thisOk I can do this too. I'm very tempted here to say we won't need an energy balance to the fluid at all here. The bed energy balance will possibly remain the same also:
$$MC_S\frac{dT_S}{dt}=UA(T-T_S)$$
The only difference is that T is now constant, meaning that this should be easy to solve analytically. Is this problem similar to placing a solid into a 'very large' body of fluid?Hmm. I'm struggling to see the difference between this model and model 2. So in model 2 the fluid definitely will not change temperature. If we assume that U is actually zero in model 3, then the fluid temperature will not change over time either (after the initial purge). I think this would mean that the heat balance to the bed is the same for model 2 and model 3Understood

I think I understand. So from this equation:
##h=C_{PL}(T_{sat}-T_R)+\Delta h_{vap}(1-X)## for ##T=T_{sat}## and ##0 \leq X \leq1##

We would now want the ##\Delta h_{vap}## contribution to increase linearly over an interval ##T1 \leq T \leq{T2}##.

So we could use a something like:
##h=C_{PL}(T_{sat}-T_R)+\Delta h_{vap}(\frac{T-T1}{T2-T1})## for ##T1 \leq T \leq{T2}##
I would use $$h=C_{PL}(T_1-T_R)+$$$$[C_{PL}(T_{sat}-T_1)+\Delta h_{vap}+C_{PV}(T_2-T_{sat})]\left(\frac{T-T1}{T2-T1}\right)$$
 
  • Like
Likes   Reactions: casualguitar
  • #29
Chestermiller said:
Chestermiller said:
Why are there wiggles in the time response of the fluid?
I’m actually not sure, I’ll look into this. Its related to satisfying the stability criteria I think. I had this issue when I tried modelling the PDEs in my original question. When I approached the max stable time increment it started wiggling like that
 
  • #30
Chestermiller said:
I would use $$h=C_{PL}(T_1-T_R)+$$$$[C_{PL}(T_{sat}-T_1)+\Delta h_{vap}+C_{PV}(T_2-T_{sat})]\left(\frac{T-T1}{T2-T1}\right)$$
I’ll actually go straight into this phase change model this evening. Thank you and I’ll post results hopefully tomorrow
 
  • Like
Likes   Reactions: Chestermiller

Similar threads

  • · Replies 427 ·
15
Replies
427
Views
26K
  • · Replies 18 ·
Replies
18
Views
3K
Replies
1
Views
2K
  • · Replies 2 ·
Replies
2
Views
2K
  • · Replies 48 ·
2
Replies
48
Views
5K
  • · Replies 20 ·
Replies
20
Views
4K
  • · Replies 21 ·
Replies
21
Views
3K
  • · Replies 35 ·
2
Replies
35
Views
5K
  • · Replies 8 ·
Replies
8
Views
9K
  • · Replies 2 ·
Replies
2
Views
2K