Tom O
- 1
- 0
- TL;DR
- Initial data problem for a single static Kerr-Schild black hole.
I need a continuation of the Kerr-Schild metric for the interior of the black hole in order to mask the singularity. It isn't enough, that the point/ring doesn't lie on a lattice point.
Hey everybody,
Background:
I'm currently working on a toy model for my master thesis, the massless Klein-Gordon equation in a rotating static Kerr-Schild metric.
The partial differential equations are (see http://arxiv.org/abs/1705.01071, equation 27, with V'=0):
$$ \partial_t\phi = \beta^k\partial_k\phi - \alpha\Pi$$
$$ \partial_t\Pi = \beta^k\partial_k\Pi + \alpha[-\gamma^{ij}\nabla_i\nabla_j\phi + \Pi trK] - \gamma^{ij}\nabla_i\phi\nabla_j\alpha$$
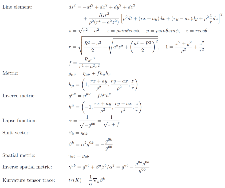
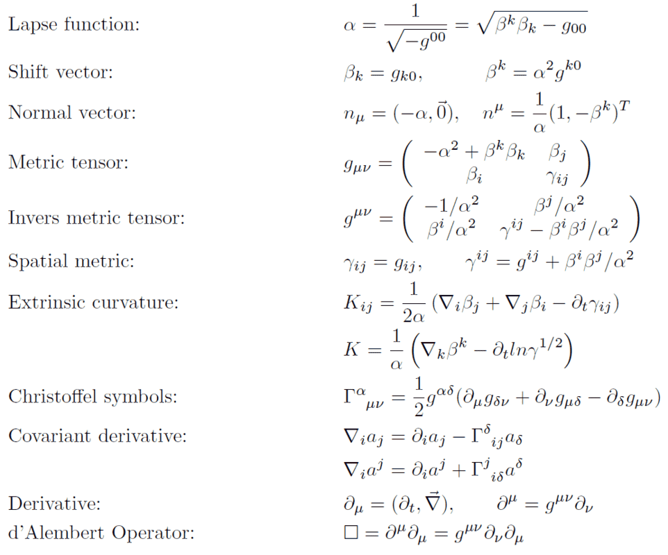
The Kerr-Schild metric and for completeness the 3+1-split can be found in the two attached pictures.
I use a Runge-Kutta 4 algorithm to solve the two coupled PDEs on either a 3D grid with 50 lattice points which extends from x,y,z€[-2,2], or on a 2D grid with up to 200 lattice points with the extends x,y€[-2,2]. In both cases the point or ring singularity never lie on a lattice point.
The actual Problem:
As far as I'm concerned my coordinates don't have any coordinate singularities. Thus the only point I have to consider is the physical singularity in the center. First I thought that I can even ignore said singularity because it doesn't lie on a gridpoint. However I found a paper (https://www.researchgate.net/publication/1964427_Numerical_testbed_for_singularity_excision_in_moving_black_hole_spacetimes, maybe you don't have access to it) which showed me, that I must do some kind of excision around the physical singularity in order to get stable numerical solutions.
Anything from within the event horizon should'nt be able to propergate outwards anyway, thus replacing the metric within the horizon with some stable alternative, which doesn't necessarily yield physical correct values, should be fine.
However each and every approach i tried so far failed in some way or the other. Some solutions were stable for 3 point stancil derivatives, but not higher orders, some worked for none spinning Kerr-Schild black holes, but failed when I used a!=0 and others just diverged immediately.
Does anyone have any experience with this issue or any idea for a smooth continuation of my static fields?
Here are the approaches i tried so far:
1. averaging all static fields (alpha, beta, gamma, trK, d_k gamma) from the sphere at the event horizon onto the next smaller sphere and then continue said process all the way down to the center.
2. for each point in the event horizon pick n points on the same radial line outside the event horizon and use lagrange interpolation to interpolate the fields into the black hole.
3. same as 2, but do a symmatric interpolation by using 2n points, n from each side of the sphere.
Furthermore i tried all kind of variations:
-analytical derivatives
-numerical derivatives
-only interpolated the normal fields and not the derivatives and calculated all derivatives numerically
-dont interpolate the inverse metric and calculate it after the interpolation of the metric via numeric matrix inversion
-many other things...
For the numerical derivatives of gamma i used the split:
$$ \gamma_{ij} = w^{-2}\tilde{\gamma}_{ij}\quad \text{with} \quad det(\tilde{\gamma}_{ij}) = 1$$
My main concerne with the interpolations is that some of them are'nd differentiable at R=0 due to the symmetry of some of my fields. For further insight on this you can look at the symmetric interpolation of the gamma_xx component in the 2D case in the attachement.I don't want to alter the actual PDE solver of my code, because doing a special routine for the interior of the black hole won't be very useful for the next step of my master thesis. In the next step I will port the code onto the GPU. Doing a special routine once at the beginning for ma static fields is no problem, but any kind of branching within the PDE solver is very bad for parallel optimisation.
Thank you for hearing me out and any advice you can give!
Background:
I'm currently working on a toy model for my master thesis, the massless Klein-Gordon equation in a rotating static Kerr-Schild metric.
The partial differential equations are (see http://arxiv.org/abs/1705.01071, equation 27, with V'=0):
$$ \partial_t\phi = \beta^k\partial_k\phi - \alpha\Pi$$
$$ \partial_t\Pi = \beta^k\partial_k\Pi + \alpha[-\gamma^{ij}\nabla_i\nabla_j\phi + \Pi trK] - \gamma^{ij}\nabla_i\phi\nabla_j\alpha$$
The Kerr-Schild metric and for completeness the 3+1-split can be found in the two attached pictures.
I use a Runge-Kutta 4 algorithm to solve the two coupled PDEs on either a 3D grid with 50 lattice points which extends from x,y,z€[-2,2], or on a 2D grid with up to 200 lattice points with the extends x,y€[-2,2]. In both cases the point or ring singularity never lie on a lattice point.
The actual Problem:
As far as I'm concerned my coordinates don't have any coordinate singularities. Thus the only point I have to consider is the physical singularity in the center. First I thought that I can even ignore said singularity because it doesn't lie on a gridpoint. However I found a paper (https://www.researchgate.net/publication/1964427_Numerical_testbed_for_singularity_excision_in_moving_black_hole_spacetimes, maybe you don't have access to it) which showed me, that I must do some kind of excision around the physical singularity in order to get stable numerical solutions.
Anything from within the event horizon should'nt be able to propergate outwards anyway, thus replacing the metric within the horizon with some stable alternative, which doesn't necessarily yield physical correct values, should be fine.
However each and every approach i tried so far failed in some way or the other. Some solutions were stable for 3 point stancil derivatives, but not higher orders, some worked for none spinning Kerr-Schild black holes, but failed when I used a!=0 and others just diverged immediately.
Does anyone have any experience with this issue or any idea for a smooth continuation of my static fields?
Here are the approaches i tried so far:
1. averaging all static fields (alpha, beta, gamma, trK, d_k gamma) from the sphere at the event horizon onto the next smaller sphere and then continue said process all the way down to the center.
2. for each point in the event horizon pick n points on the same radial line outside the event horizon and use lagrange interpolation to interpolate the fields into the black hole.
3. same as 2, but do a symmatric interpolation by using 2n points, n from each side of the sphere.
Furthermore i tried all kind of variations:
-analytical derivatives
-numerical derivatives
-only interpolated the normal fields and not the derivatives and calculated all derivatives numerically
-dont interpolate the inverse metric and calculate it after the interpolation of the metric via numeric matrix inversion
-many other things...
For the numerical derivatives of gamma i used the split:
$$ \gamma_{ij} = w^{-2}\tilde{\gamma}_{ij}\quad \text{with} \quad det(\tilde{\gamma}_{ij}) = 1$$
My main concerne with the interpolations is that some of them are'nd differentiable at R=0 due to the symmetry of some of my fields. For further insight on this you can look at the symmetric interpolation of the gamma_xx component in the 2D case in the attachement.I don't want to alter the actual PDE solver of my code, because doing a special routine for the interior of the black hole won't be very useful for the next step of my master thesis. In the next step I will port the code onto the GPU. Doing a special routine once at the beginning for ma static fields is no problem, but any kind of branching within the PDE solver is very bad for parallel optimisation.
Thank you for hearing me out and any advice you can give!