Orthonormal Basis - Definition & Examples

Click For Summary
SUMMARY

The discussion centers on the definition of an orthonormal basis, with participants questioning the accuracy of a specific mathematical notation related to the matrix M. One user suggests that a sign may be missing in the definition, while another proposes an alternative phrasing for clarity. The conversation emphasizes the importance of precise notation in mathematical definitions.

PREREQUISITES
  • Understanding of linear algebra concepts, particularly orthonormal bases
  • Familiarity with matrix notation and operations
  • Basic knowledge of mathematical proofs and definitions
  • Experience with mathematical communication and terminology
NEXT STEPS
  • Research the properties of orthonormal bases in linear algebra
  • Explore the significance of matrix notation in mathematical definitions
  • Study examples of orthonormal bases in different vector spaces
  • Learn about common pitfalls in mathematical notation and how to avoid them
USEFUL FOR

Mathematicians, students of linear algebra, educators teaching mathematical concepts, and anyone interested in improving their understanding of mathematical notation and definitions.

The black vegetable
Messages
22
Reaction score
0
TL;DR
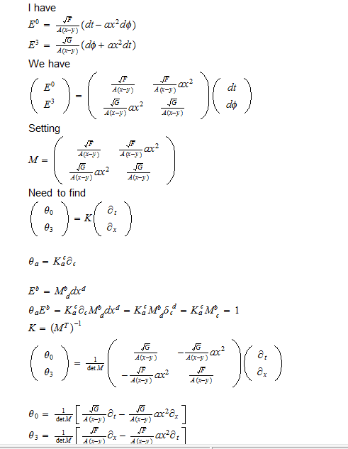
Trying to find your Orthonormal basis
243412

Is this correct? If not any hints on how to find
243413

Many thanks
 
Physics news on Phys.org
It seems to me you are missing some sign in your definition of M. Otherwise notationally dubious but in essence fine.

Also, wouldn’t something like ”the black adder” sound better?
 
  • Like
Likes   Reactions: Tardigrade
thanks Orodruin very helpful, But I think I have a better idea, I think I'm missing a sign in my definition of M :)
 
  • Like
Likes   Reactions: Orodruin

Similar threads

  • · Replies 6 ·
Replies
6
Views
1K
  • · Replies 9 ·
Replies
9
Views
2K
  • · Replies 2 ·
Replies
2
Views
1K
  • · Replies 7 ·
Replies
7
Views
6K
  • · Replies 0 ·
Replies
0
Views
855
  • · Replies 51 ·
2
Replies
51
Views
7K
  • · Replies 3 ·
Replies
3
Views
1K
  • · Replies 11 ·
Replies
11
Views
2K
  • · Replies 4 ·
Replies
4
Views
2K
  • · Replies 2 ·
Replies
2
Views
2K