Perturbation matrix: free electron model on a square lattice

Click For Summary
SUMMARY

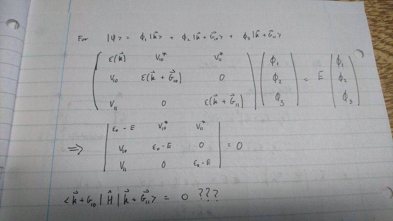
The discussion centers on the nearly free electron model applied to a 2D square lattice, specifically for a divalent metal with one atom per primitive lattice cell. The periodic potential is characterized by two Fourier components, V10 and V11, with V10 having a greater magnitude than V11. The primary focus is on deriving the secular equation and determining the electron energies at the wave vector k = (π/a, 0). The challenge lies in understanding the expectation of the potential between two states separated by a reciprocal lattice vector.

PREREQUISITES
  • Understanding of the nearly free electron model
  • Familiarity with Fourier components in solid-state physics
  • Knowledge of reciprocal lattice vectors
  • Ability to derive secular equations in quantum mechanics
NEXT STEPS
  • Study the derivation of the secular equation in the nearly free electron model
  • Explore the implications of Fourier components V10 and V11 in periodic potentials
  • Learn about the significance of reciprocal lattice vectors in solid-state physics
  • Investigate the calculation of electron energies in 2D lattices
USEFUL FOR

Students and researchers in condensed matter physics, particularly those focusing on solid-state physics, quantum mechanics, and electronic properties of materials.

Fek
Messages
13
Reaction score
0

Homework Statement


Nearly free electron model in a 2D lattice. Consider a divalent 2D metal with a square lattice and one atom per primitive lattice cell. The periodic potential has two Fourier components V10 and V11, corresponding to G = (1,0) and (1,1). Both are negative and mod(V10) > mod(V11).

Write down the secular equation and obtain an expression for the electron energies at k = (pi /a, 0).

Homework Equations

The Attempt at a Solution


Please see attached file (question also attached (part (i). I believe this is wrong but I cannot see what the expectation of the potential between the two final states can be other than zero (as they are separated by a reciprocal lattice vector (0,1).
 

Attachments

  • deAQA2t.jpg
    deAQA2t.jpg
    32.5 KB · Views: 591
  • eJawID7.jpg
    eJawID7.jpg
    43.9 KB · Views: 594
All sorted thank you.
 

Similar threads

  • · Replies 1 ·
Replies
1
Views
2K
  • · Replies 1 ·
Replies
1
Views
3K
Replies
1
Views
3K
  • · Replies 1 ·
Replies
1
Views
4K
Replies
3
Views
3K
Replies
1
Views
1K
  • · Replies 7 ·
Replies
7
Views
4K
Replies
6
Views
4K
Replies
1
Views
3K
Replies
1
Views
5K