Qs re average and peak wavelength of Planck distribution

Click For Summary
SUMMARY

The discussion centers on the relationship between the average wavelength and peak wavelength in the Planck distribution. It confirms that the ratio of the wavelength corresponding to the average energy to the wavelength corresponding to the peak value is independent of temperature, with a definitive answer of YES. The original claim of this ratio being 1.84 is refuted, as the calculated value is 0.73624. Additionally, the product of peak wavelength and temperature, known as the Wien wavelength displacement law constant, is established as -b = 2.8977729(17) x 10^-3 m K.

PREREQUISITES
  • Understanding of Planck's Law and blackbody radiation
  • Familiarity with Wien's displacement law
  • Basic knowledge of wavelength and temperature relationships
  • Ability to perform calculations involving physical constants
NEXT STEPS
  • Research the derivation of Planck's Law and its implications in thermodynamics
  • Study Wien's displacement law and its applications in physics
  • Explore the significance of the ratio of average to peak wavelengths in blackbody radiation
  • Investigate the methods for calculating average energy wavelengths in thermal radiation
USEFUL FOR

Physicists, students studying thermodynamics, and anyone interested in the principles of blackbody radiation and Planck's Law.

Buzz Bloom
Gold Member
Messages
2,517
Reaction score
465
This thread is prompted by a closed thread which left it’s OP’s original question unanswered.
->https://www.physicsforums.com/threads/average-wavelength-for-blackbody-radiation.423536/
The original question asked:
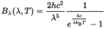
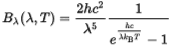
is the ratio, of (a) the wavelength corresponding to the average energy in the Planck’s Law distribution
PlancksLaw-lambda.png

to (b) the wave length corresponding to the peak (maximum value) of this distribution, independent of temperature?​

I am guessing that the answer to this question is YES, but I am hopeful someone can cite a reference that confirms this. Also, the OP gave 1.84 as the value of this ratio for some unspecified temperature, but did not provide any references, so I would also like see a reference that will validate that this value is correct. If someone who can’t provide a citation knows with confidence that YES is correct or not, and/or that the ratio 1.84 is correct or not, I would much appreciate your letting me know this.

The OP also gave the value 0.29 for the product of peak wavelength and temperature, but gave no units. I found that this product is called the
Wien wavelength displacement law constant,​
and it is represented by “b” and has the value
-b = 2.8977729(17) x 10^-3 m K.
http://physics.nist.gov/cgi-bin/cuu/Value?bwien
 

Attachments

  • PlancksLaw-lambda.png
    PlancksLaw-lambda.png
    3.2 KB · Views: 650
Science news on Phys.org
Although I have been hoping someone would save me the effort of calculating my own answers to the questions in the previous post, I was finally, after five days, able to derive the answers for myself.

I have confirmed that the answer to the first question
Buzz Bloom said:
is the ratio, of (a) the wavelength corresponding to the average energy in the Planck’s Law distribution
planckslaw-lambda-png.112253.png

to (b) the wave length corresponding to the peak (maximum value) of this distribution, independent of temperature?
is YES.

The second question was to confirm (or not) that the value of this ratio is 1.84. The value I calculated is 0.73624.

I will post my analysis leading to either of both of these answers if anyone would like to see it.

Regards,
Buzz
 

Attachments

  • upload_2017-2-3_16-0-25.png
    upload_2017-2-3_16-0-25.png
    1.1 KB · Views: 706
  • upload_2017-2-3_16-0-55.png
    upload_2017-2-3_16-0-55.png
    1.1 KB · Views: 736

Similar threads

  • · Replies 9 ·
Replies
9
Views
3K
  • · Replies 20 ·
Replies
20
Views
5K
  • · Replies 20 ·
Replies
20
Views
3K
  • · Replies 18 ·
Replies
18
Views
2K
Replies
11
Views
13K
  • · Replies 2 ·
Replies
2
Views
9K
  • · Replies 4 ·
Replies
4
Views
5K
Replies
5
Views
5K
  • · Replies 152 ·
6
Replies
152
Views
12K
  • · Replies 1 ·
Replies
1
Views
2K