Question about fluid flowing into branching pipes

  • Thread starter Thread starter leifh
  • Start date Start date
  • Tags Tags
    Fluid Pipes
Click For Summary

Discussion Overview

The discussion revolves around fluid dynamics in a system of branching pipes, specifically focusing on the flow rates and pressure changes at different points in the system. Participants explore theoretical and practical aspects of fluid flow, including the effects of pipe diameter changes, energy conservation, and the implications of various fittings and conditions on flow behavior.

Discussion Character

  • Technical explanation
  • Conceptual clarification
  • Debate/contested
  • Mathematical reasoning

Main Points Raised

  • One participant asserts that energy is conserved in the system, not pressure, and suggests that flow rates can be calculated given certain conditions.
  • Another participant emphasizes the need for specific information about the piping system, such as fluid properties, pipe lengths, and discharge pressures, to determine pressures at various locations.
  • Several participants discuss the use of energy equations to relate pressures and velocities at different points in the system, referencing the concept of "head" in fluid dynamics.
  • There is a suggestion that without a pressure gauge, it is impossible to determine flow rates and pressures downstream, as they depend on the configuration of the piping system.
  • Participants express uncertainty about the ability to calculate pressures at points B and C without knowing downstream conditions, even when assuming the fluid is incompressible and the flow is steady.

Areas of Agreement / Disagreement

Participants generally agree on the importance of specific conditions and parameters for calculating flow rates and pressures, but there is no consensus on the ability to determine these values without additional information about the downstream system. Multiple competing views remain regarding the implications of energy conservation and the role of pressure in fluid dynamics.

Contextual Notes

Limitations include the dependence on assumptions about fluid properties (e.g., incompressibility), the need for specific measurements (e.g., discharge pressures), and the complexity introduced by fittings and pipe configurations. The discussion highlights the challenges in applying theoretical equations to practical scenarios without complete information.

Who May Find This Useful

This discussion may be useful for students and professionals in engineering and fluid dynamics, particularly those interested in the behavior of fluids in piping systems and the calculations involved in determining flow rates and pressures.

leifh
Messages
8
Reaction score
2
1653632339611.png

For above pipe or duct flowing (where point A and C are higher diameter than B), same volume flow for point A,B & C.
Velocity B > Velocity A & C ; Pressure energy A > Pressure energy B ; friction pressure B > friction pressure A.
Question one: When pipe or duct sizing to be reducing even re-increasing afterward, the pressure will always drop down and never increase again in the same system without power addition in midway of system?

1653633491290.png

As I known, the flow rate will be averagely divided to the same size of pipe or duct.
1653633525709.png

Question two: Could we calculate the volume flow rate & pressure for point B and C which only know size?
(assume the source provides steady and constant power, same length of branch pipe or duct, elbow and fluid: water, constant temp. etc)
 
Engineering news on Phys.org
1. No. Energy is conserved (not pressure). Energy is a function of pressure and velocity.
2. Yes.
 
Given some information for the length of piping, and components ( like Elbows, Tee's, Reducers etc..), and the conditions at A, namely pressure, flow rate, and the outlet conditions, then yeah, we can specify pressures at various locations in the system, and flow in each branch.

If the flow is steady (not varying in time) and the fluid is "virtually incompressible" (like water) then you can apply the following result between any two points in the system:

$$ \frac{P_1}{ \gamma} + z_1 + \frac{V_1^2}{2g} + h_p = \frac{P_2}{\gamma} + z_2 + \frac{V_2^2}{2g} + h_t + \sum_{1 \to 2} h_L $$

Each of the terms represents a form of "head", which basically an energy per unit mass of an element of flowing fluid.

## \frac{P}{\gamma} ## is a pressure head
## z ## is an elevation head
## \frac{V_1^2}{2g} ## is a kinetic energy head
## h_p ## is a pump head (external energy input)
## h_t ## is a turbine head (external energy withdrawal)

## \sum_{1 \to 2} h_L ## represents a thermal head that is created by viscous interaction ( friction) between the fluid and the pipe walls. Its always positive from the Second Law of Thermodynamics, and it is proportional to the kinetic energy head.

For the system you have shown this is going to amount to solving a system of non-linear equations resembling something like the following:

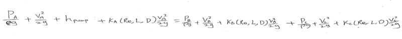
$$ \begin{array} \, \frac{P_A}{ \gamma } + \frac{V_A^2}{2g} = \frac{P_{A'} }{\gamma} + \frac{V_{A'}^2}{2g} + k_A ( Re, L , D) \frac{V_{A'}^2}{2g} \\ \frac{P_{A'} }{\gamma} + \frac{V_{A'}^2}{2g} = \frac{P_B}{\gamma} + \frac{V_B^2}{2g} + k_B( Re, L , D) \frac{V_B^2}{2g} \\ \frac{P_{A'} }{\gamma} + \frac{V_{A'}^2}{2g} = \frac{V_C^2}{2g} + k_C( Re, L , D) \frac{V_C^2}{2g} \\ Q_A = Q_B + Q_C \end{array} $$

The ##k( Re, L , D)## means it is a function of the Reynolds Number ( which has other dependencies: flow velocity, diameter, kinematic viscosity ), Length ## L ## and Diameter ## D## of pipe.

The system above is usually tackled by linearization and iteration until a desired accuracy for flow rates is achieved.
 
  • Like
  • Love
Likes   Reactions: Delta2 and leifh
erobz said:
Given some information for the length of piping, and components ( like Elbows, Tee's, Reducers etc..), and the conditions at A, namely pressure, flow rate, and the outlet conditions, then yeah, we can specify pressures at various locations in the system, and flow in each branch.

If the flow is steady (not varying in time) and the fluid is "virtually incompressible" (like water) then you can apply the following result between any two points in the system:

$$ \frac{P_1}{ \gamma} + z_1 + \frac{V_1^2}{2g} + h_p = \frac{P_2}{\gamma} + z_2 + \frac{V_2^2}{2g} + h_t + \sum_{1 \to 2} h_L $$

Each of the terms represents a form of "head", which basically an energy per unit mass of an element of flowing fluid.

## \frac{P}{\gamma} ## is a pressure head
## z ## is an elevation head
## \frac{V_1^2}{2g} ## is a kinetic energy head
## h_p ## is a pump head (external energy input)
## h_t ## is a turbine head (external energy withdrawal)

## \sum_{1 \to 2} h_L ## represents a thermal head that is created by viscous interaction ( friction) between the fluid and the pipe walls. Its always positive from the Second Law of Thermodynamics, and it is proportional to the kinetic energy head.

For the system you have shown this is going to amount to solving a system of non-linear equations resembling something like the following:

$$ \begin{array} \, \frac{P_A}{ \gamma } + \frac{V_A^2}{2g} = \frac{P_{A'} }{\gamma} + \frac{V_{A'}^2}{2g} + k_A ( Re, L , D) \frac{V_{A'}^2}{2g} \\ \frac{P_{A'} }{\gamma} + \frac{V_{A'}^2}{2g} = \frac{P_B}{\gamma} + \frac{V_B^2}{2g} + k_B( Re, L , D) \frac{V_B^2}{2g} \\ \frac{P_{A'} }{\gamma} + \frac{V_{A'}^2}{2g} = \frac{V_C^2}{2g} + k_C( Re, L , D) \frac{V_C^2}{2g} \\ Q_A = Q_B + Q_C \end{array} $$

The ##k( Re, L , D)## means it is a function of the Reynolds Number ( which has other dependencies: flow velocity, diameter, kinematic viscosity ), Length ## L ## and Diameter ## D## of pipe.

The system above is usually tackled by linearization and iteration until a desired accuracy for flow rates is achieved.
Thank you for your help. erobz :) Really appreciated.
$$ \begin{array} \, \frac{P_A}{ \gamma } + \frac{V_A^2}{2g} = \frac{P_{A'} }{\gamma} + \frac{V_{A'}^2}{2g} + k_A ( Re, L , D) \frac{V_{A'}^2}{2g} \\ \frac{P_{A'} }{\gamma} + \frac{V_{A'}^2}{2g} = \frac{P_B}{\gamma} + \frac{V_B^2}{2g} + k_B( Re, L , D) \frac{V_B^2}{2g} \\ \frac{P_{A'} }{\gamma} + \frac{V_{A'}^2}{2g} = \frac{V_C^2}{2g} + k_C( Re, L , D) \frac{V_C^2}{2g} \\ Q_A = Q_B + Q_C \end{array} $$

Would you mind helping to solve the above question two by some steps? As I am not much sure to apply for the equation properly... (you could take assumption for unknown values) Thank you so much!:bow:
 
Well for starting we are going to need to know the following information:
  1. Is the fluid "incompressible" like water
  2. What is the fluid (does it have a known viscosity )?
  3. Pipe lengths in all sections
  4. Discharge pressures at the end of sections B and C
  5. Are there specific fittings that we need to know about in a given section of the pipe, elbows, tees, reducers, valves, etc...
 
erobz said:
Well for starting we are going to need to know the following information:
  1. Is the fluid "incompressible" like water
  2. What is the fluid (does it have a known viscosity )?
  3. Pipe lengths in all sections
  4. Discharge pressures at the end of sections B and C
  5. Are there specific fittings that we need to know about in a given section of the pipe, elbows, tees, reducers, valves, etc...
1653881209574.png

1. It is water
2. take 20oC temp. Dynamic viscosity of water (in mPa.s) is 1.
3. 10meters for 50mm dia. iron pipe(take same pipe roughness) ; 10m for 20mm dia. iron pipe ; 10m for 30mm dia. iron pipe. they averagely branching to same elbow and not other fitting or valves.
4. assume the water keep flowing and don't know the afterward piping structure and branching, could we know the pressure at point B and C? Or, end of sections B and C is to air (1 atm)
5. a tee 50mm to 20mm/30mm pipe fitting, same elbow and not other fitting or valves

Thank you for your help:)
 
leifh said:
4. assume the water keep flowing and don't know the afterward piping structure and branching, could we know the pressure at point B and C?
Without out a pressure gauge at the desired location, No. The flowrate, and pressure will depend on what is downstream in the piping system in each branch.

leifh said:
Or, end of sections B and C is to air (1 atm)
This criterion can be solved, and is a good first system to get into.

Are there any elevation changes in the pipes relative to the main supply line ( the one bringing in 50 L/s)?
 
erobz said:
Without out a pressure gauge at the desired location, No. The flowrate, and pressure will depend on what is downstream in the piping system in each branch.This criterion can be solved, and is a good first system to get into.

Are there any elevation changes in the pipes relative to the main supply line ( the one bringing in 50 L/s)?
no elevation changes, thanks.
 
Fair warning: This is going to be a little bit of work. However, for this example since you've given us the Flow Rate, it won't actually be terribly difficult. We are not going to get into the iteration of a linearized system, but it will still be instructive.

Alright, can you set up the equation between the inlet of branch A and the Tee junction using the relationship?

You will assume the flow is turbulent and thus "approximately" the velocity is uniformly distributed over the pipe cross sectional area.

Hence:

$$ Q_a = V_a A_a $$

*Remember the equation is applicable between any two points ( sections ) along the length of the pipe. For this demonstration, we are going to assume that the head loss coefficient is a constant. So for branch A:

$$ k(Re,L,D) = k_a $$

The goal here will be to determine the pressure at the "T" junction.

I forgot to mention the pressures here are gauge pressures, so ##P_{atm} = 0 \, \rm{guage}##
 
Last edited:
  • Like
Likes   Reactions: leifh
  • #10
erobz said:
Fair warning: This is going to be a little bit of work. However, for this example since you've given us the Flow Rate, it won't actually be terribly difficult. We are not going to get into the iteration of a linearized system, but it will still be instructive.

Alright, can you set up the equation between the inlet of branch A and the Tee junction using the relationship?

You will assume the flow is turbulent and thus "approximately" the velocity is uniformly distributed over the pipe cross sectional area.

Hence:

$$ Q_a = V_a A_a $$

*Remember the equation is applicable between any two points ( sections ) along the length of the pipe. For this demonstration, we are going to assume that the head loss coefficient is a constant. So for branch A:

$$ k(Re,L,D) = k_a $$

The goal here will be to determine the pressure at the "T" junction.

I forgot to mention the pressures here are gauge pressures, so ##P_{atm} = 0 \, \rm{guage}##
I will set the equation like this: right?
1653964195598.png

How to put values on the below equation? What is K value? (I don't know how to transfer to head form) Is it size of pipe and viscosity relating to kinetic energy head so that K x v2/2g?
1653964316824.png

Thank you for your help:)
 
  • #11
Not like that. The equation describes the flow properties between any two points. You have three points considered in what you have shown above.

You have to do this in steps. Image you are a water molecule: Jump into the flow at A, where do you go first before a choice must be made on the remainder of your journey?

We will worry about values later.
 
Last edited:
  • #12
$$ \frac{P_1}{ \gamma} + z_1 + \frac{V_1^2}{2g} + h_p = \frac{P_2}{\gamma} + z_2 + \frac{V_2^2}{2g} + h_t + \sum_{1 \to 2} h_L $$

I got some applied fluid mechanics tutorials from internet. problem solved. Thanks.
 
  • Like
Likes   Reactions: erobz

Similar threads

  • · Replies 31 ·
2
Replies
31
Views
5K
  • · Replies 38 ·
2
Replies
38
Views
4K
Replies
0
Views
3K
  • · Replies 9 ·
Replies
9
Views
2K
  • · Replies 9 ·
Replies
9
Views
4K
  • · Replies 4 ·
Replies
4
Views
3K
  • · Replies 7 ·
Replies
7
Views
2K
  • · Replies 21 ·
Replies
21
Views
3K
  • · Replies 3 ·
Replies
3
Views
3K
  • · Replies 3 ·
Replies
3
Views
1K