Question on special relativity from "Basic Relativity"

Click For Summary
SUMMARY

The forum discussion revolves around a question from "Basic Relativity" by Richard A. Mould regarding special relativity concepts. The user seeks confirmation on their understanding of length contraction and time dilation as applied to a train and platform scenario. Key points include the correct application of the Lorentz transformation, which is essential for solving the problem accurately. The discussion emphasizes that the train observer perceives the length of the platform differently than the platform observer, and the need to clarify the synchronization of clocks in different reference frames.

PREREQUISITES
  • Understanding of special relativity principles, particularly length contraction and time dilation.
  • Familiarity with the Lorentz transformation equations.
  • Knowledge of Minkowski diagrams for visualizing events in spacetime.
  • Basic grasp of reference frames and their implications in relativity.
NEXT STEPS
  • Study the full Lorentz transformation equations for time and space coordinates.
  • Learn how to construct and interpret Minkowski diagrams for relativity problems.
  • Explore examples of length contraction and time dilation in different reference frames.
  • Practice solving problems involving multiple observers and synchronized clocks in special relativity.
USEFUL FOR

Students of physics, educators teaching special relativity, and anyone interested in understanding the nuances of relativistic effects in different reference frames.

  • #31
Imagine there are two more clocks next to 1 and 2, but starting at 0, rather than 4. Run the experiment and think about these new clocks, for which you can use Lorentz.

The original clocks always read the same as the new clocks plus 4.
 
Physics news on Phys.org
  • #32
PeroK said:
Imagine there are two more clocks next to 1 and 2, but starting at 0, rather than 4. Run the experiment and think about these new clocks, for which you can use Lorentz.

The original clocks always read the same as the new clocks plus 4.
Can't I just use a shifting matrix which shifts the time by 4 from zero, as it's just a linear transformation?
 
  • #33
PeroK said:
The origin must be ##(0,0)##, by definition. The Lorentz transformation won't work with ##t =4## at the origin.

You've drawn the scenario in the platform frame. What about the train frame?

The results are hard to read. They don't look right at all.
But, I've taken into account the change of frames, right? I've used the inverse of the Lorentz matrix in this case.
 
  • #34
PeroK said:
Imagine there are two more clocks next to 1 and 2, but starting at 0, rather than 4. Run the experiment and think about these new clocks, for which you can use Lorentz.

The original clocks always read the same as the new clocks plus 4.
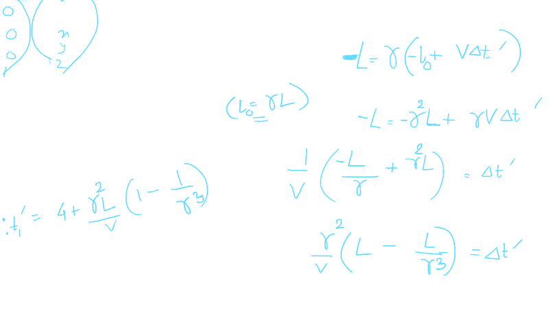
Ok, so I'm totally confused now. If I use the time transformation, I arrive at-
snip24.png

If I use the space transformation equation, I arrive at a different answer (which I posted just some time ago). Why is this happening? I don't seem to notice any mistake in any of the approaches, and I'm thoroughly confused.
 
  • #35
PhysicsTruth said:
If you could just confirm...
View attachment 288549View attachment 288552
I've taken the coordinates for the front end coinciding with clock 1 to be-
a) (0,4) for both the frames
and the coordinates for the rear end coinciding with clock 2 to be-
a) (-l_o,t1') for the train's frame
b) (-L,4) for the platform frame

Using these coordinates and applying the Lorentz transformations, I arrive at this result, as shown in the pics. Is this correct?
Ok, I panicked here and made a calculation mistake, it does turn out to be ##\gamma vL/c^{2}## using the space transformation as well.
 
  • #36
PhysicsTruth said:
Ok, I panicked here and made a calculation mistake, it does turn out to be ##\gamma vL/c^{2}## using the space transformation as well.
That's right for part c). Did you notice that part b) was just the lack of synchronization of platform clocks in the train frame?
 
  • #37
PeroK said:
That's right for part c). Did you notice that part b) was just the lack of synchronization of platform clocks in the train frame?
Yeah, I realized that. That is precisely what leads to the statement - "Simultaneity is Relative".
 
  • #38
PeroK said:
That's right for part c). Did you notice that part b) was just the lack of synchronization of platform clocks in the train frame?
So, when the clock 1 coincided with the front end, clock 2 read 4:00 for the train observer, right? It's just that the rear end doesn't coincide with clock 2 at that point of time in space.
 
  • #39
PhysicsTruth said:
So, when the clock 1 coincided with the front end, clock 2 read 4:00 for the train observer, right? It's just that the rear end doesn't coincide with clock 2 at that point of time in space.
Your problem which is common and is exemplified in this thread is that you are unable to imagine the scenario other than in the platform frame.

In the train frame: when clock 2 is at front of train, clock1 is only half way along the train and reads ##-\frac{Lv}{c^2}##. When that clock reaches the rear of the train it does indeed read 4:00, but those events are not simultaneous in that frame.

A second way to solve this problem was direct kinematics in the train frame, plus the leading clock lags rule. No need for Lorentz.

But, that requires you to reimagine the scenario in the train frame.

In fact, that's how I did it. I only used Lorentz to double check the answer!
 
  • Like
Likes   Reactions: SammyS
  • #40
PeroK said:
No need for Lorentz.

But, that requires you to reimagine the scenario in the train frame.
That's why I recommend the Lorentz transform method. No imagination needed, just grind through the maths. Once you've done that a few times you can learn to see a qualitative picture in a transformed frame, but based on a solid basis.

YMMV of course.
 
  • Like
Likes   Reactions: vela and Motore
  • #41
Ibix said:
That's why I recommend the Lorentz transform method. No imagination needed, just grind through the maths. Once you've done that a few times you can learn to see a qualitative picture in a transformed frame, but based on a solid basis.

YMMV of course.
I think it's important to be able to mentally change reference frames. Otherwise, you can be applying the LT blindly. In any case for part b) there was no given event to transform.
 
  • Like
Likes   Reactions: PhysicsTruth
  • #42
PeroK said:
I think it's important to be able to mentally change reference frames. Otherwise, you can be applying the LT blindly. In any case for part b) there was no given event to transform.
I agree with you. But I'm absolutely new to Special Relativity and Lorentz Transformations. I still can't figure out why it would read -Lv/c^2 on clock 2. I'm trying hard to figure out.
 
  • #43
PhysicsTruth said:
I agree with you. But I'm absolutely new to Special Relativity and Lorentz Transformations. I still can't figure out why it would read -Lv/c^2 on clock 2. I'm trying hard to figure out.
Have you seen a derivation of the "leading clock lags" rule? Which is effectively a statement of the relativity of simultaneity.
 
  • #44
PeroK said:
Have you seen a derivation of the "leading clock lags" rule? Which is effectively a statement of the relativity of simultaneity.
I'm checking that out right away.
 
  • #45
PeroK said:
Have you seen a derivation of the "leading clock lags" rule? Which is effectively a statement of the relativity of simultaneity.
Ok, I seemed to have confused myself a lot. But, I feel that it would read 4 - Lv/c^2, since the time on clock 1 was 4:00 and not 0.
 
  • #46
PhysicsTruth said:
Ok, I seemed to have confused myself a lot. But, I feel that it would read 4 - Lv/c^2, since the time on clock 1 was 4:00 and not 0.
Yes, of course.
 
  • Like
Likes   Reactions: PhysicsTruth
  • #47
PeroK said:
Yes, of course.
Thanks a lot for taking out time to guide me through this.
 
  • Like
Likes   Reactions: PeroK
  • #48
This is how I understand the problem. The two clocks on the left are synchronized, just as the two clocks on the right.
STR_Prob2b.jpg
 
  • Like
Likes   Reactions: PhysicsTruth
  • #49
kumusta said:
This is how I understand the problem. The two clocks on the left are synchronized, just as the two clocks on the right.
View attachment 288632
The train is longer than the platform. So, that's not right.
 
  • #50
I made an isometric view and not a side view. If only you will look carefully, you will see that the front end of the train coincides with the right edge of the platform while the rear end with that of the left edge. I made the distance between the two clocks on the platform equal to the length of the train at rest. The observer inside the moving train will not notice any change in the length of the train but he will see a decrease in the distance between clocks 1 and 2. Here is another illustration of the same problem, also in isometric view:
STR_Prob2c.jpg
 
  • #51
kumusta said:
I made an isometric view and not a side view. If only you will look carefully, you will see that the front end of the train coincides with the right edge of the platform while the rear end with that of the left edge. I made the distance between the two clocks on the platform equal to the length of the train at rest. The observer inside the moving train will not notice any change in the length of the train but he will see a decrease in the distance between clocks 1 and 2. Here is another illustration of the same problem, also in isometric view:
View attachment 288647
It still looks wrong to me. The rest length of the train is greater than the rest length of the platform.
 
  • #52
Here is a graphically poor but physically correct version:

thumbnail_20210906_095725.jpg
 
  • #53
PeroK said:
It still looks wrong to me. The rest length of the train is greater than the rest length of the platform.
Oh, but isn't the rest length of the train slightly greater than that of the platform in the isometric view in this attachment? I might be wrong.
 
  • #54
PhysicsTruth said:
Oh, but isn't the rest length of the train slightly greater than that of the platform in the isometric view in this attachment? I might be wrong.
I don't see how you could that sketch to help solve the problem. On the other hand, you definitely can use my diagram to solve the problem. Despite the lack of artistry!
 
  • Like
Likes   Reactions: PhysicsTruth
  • #55
PeroK said:
I don't see how you could that sketch to help solve the problem. On the other hand, you definitely can use my diagram to solve the problem. Despite the lack of artistry!
Sure, hand drawn diagrams on a piece of paper are way better on any day!
 
  • #56
PeroK said:
It still looks wrong to me. The rest length of the train is greater than the rest length of the platform.
When two objects having the same sizes are drawn in perspective, the one in front appears a little bigger than the one at the back in order to show depth of visual perception. I drew the stationary train in front of the platform, so naturally the train should appear a little larger than the slightly smaller platform behind it. A drawing of a flat surface made seen from the top, just like what you did, cannot show depth properly. Drawings are just visual representations and they do not determine the values of the quantities that must be used in the computations.
 
  • #57
PhysicsTruth said:
Sure, hand drawn diagrams on a piece of paper are way better on any day!
Yes, but the critical things in the train frame are:

1) The platform is (much) shorter than the train. Assuming ##v## is large.

2) Clock C2 lags behind clock C1.

That's what you needed to recognise to solve the problem.

If you want to use Lorentz Transformation, a diagram like that is still useful to establish the events you are interested in. For example, I would take C1 reading 04:00 as the common origin. (Note that that defines a unique spacetime point, which we take as the origin). The second event: clock C2 reading 04:00 has coordinates ##(t = 0, x = -L)## in the platform frame. Notice the way I dissociated the coordinates from the actual clock readings.
 
  • Like
Likes   Reactions: PhysicsTruth
  • #58
kumusta said:
When two objects having the same sizes are drawn in perspective, the one in front appears a little bigger than the one at the back in order to show depth of visual perception. I drew the stationary train in front of the platform, so naturally the train should appear a little larger than the slightly smaller platform behind it. A drawing of a flat surface made seen from the top, just like what you did, cannot show depth properly. Drawings are just visual representations and they do not determine the values of the quantities that must be used in the computations.
Thankfully for me, this isn't an art class!
 
  • #59
PeroK said:
Thankfully for me, this isn't an art class!
*An engineering drawing class. You don't get to see isometric projections often in an art class.
 
  • Like
Likes   Reactions: PeroK
  • #60
PhysicsTruth said:
*An engineering drawing class. You don't get to see isometric projections often in an art class.
I got an "A" in engineering drawing at school. A long time ago!
 
  • Love
Likes   Reactions: PhysicsTruth

Similar threads

  • · Replies 36 ·
2
Replies
36
Views
3K
  • · Replies 6 ·
Replies
6
Views
4K
Replies
2
Views
1K
  • · Replies 13 ·
Replies
13
Views
2K
  • · Replies 2 ·
Replies
2
Views
2K
Replies
11
Views
3K
  • · Replies 14 ·
Replies
14
Views
3K
  • · Replies 29 ·
Replies
29
Views
2K
  • · Replies 4 ·
Replies
4
Views
1K
  • · Replies 3 ·
Replies
3
Views
1K