Second Moment of Area calculation?

Click For Summary

Discussion Overview

The discussion revolves around the calculation of the second moment of area (moment of inertia) for a welding structure, specifically addressing the confusion regarding the application of formulas and the parallel axis theorem in this context.

Discussion Character

  • Technical explanation
  • Mathematical reasoning
  • Homework-related

Main Points Raised

  • Laura expresses confusion about deriving the second moment of area for two vertical rectangles, noting a discrepancy between expected and actual values.
  • Another participant suggests that the formula presented may not be in its simplest form and discusses the application of the parallel axis theorem (PAT) to the weld configuration.
  • There is a clarification about the moment of inertia of a rectangle about its base versus its centroid, with specific values provided for each case.
  • A question is raised about whether to calculate the distance from the bottom of the weld lines or from their centroids to the neutral axis when applying the PAT.
  • A later reply recommends calculating the moment of inertia about the top of the section and then applying the PAT to find the moment of inertia about the centroid.
  • Participants discuss the formula for the moment of inertia and its simplification, with a specific expression provided for the moment of inertia about the centroid.
  • Verification methods for the moment of inertia calculation are mentioned, including transferring inertia calculations to different axes.

Areas of Agreement / Disagreement

Participants do not reach a consensus on the best approach to calculate the second moment of area, as there are multiple perspectives on the application of the parallel axis theorem and the interpretation of the formulas involved.

Contextual Notes

Some participants note that the formula for the moment of inertia may not be in its simplest form, and there are unresolved details regarding the distances used in calculations and the assumptions made about the weld configuration.

LauraMorrison
Messages
25
Reaction score
0
Screen Shot 2014-12-08 at 21.34.39.png


Hi there,
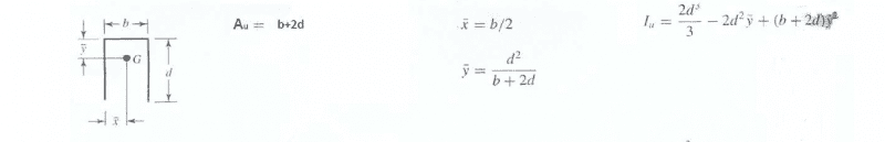
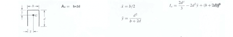
I am covering a topic on welding at university and I am struggling with deriving the second moment area for the structure attached. The desired second moment of area is also given in the attached image.

The first part is particularly confusing to me as I know that the total second moment area for the two vertical rectangles should be d3/6 but it is actually 2d3/3. On wikipedia I found that this is to do with being the moment of inertia for a rectangle collinear with an axis but I am still very confused as to what this means.

Any insight into this would be great,
Thanks,
Laura Morrison
 
Physics news on Phys.org
LauraMorrison said:
View attachment 76374

Hi there,
I am covering a topic on welding at university and I am struggling with deriving the second moment area for the structure attached. The desired second moment of area is also given in the attached image.

The first part is particularly confusing to me as I know that the total second moment area for the two vertical rectangles should be d3/6 but it is actually 2d3/3. On wikipedia I found that this is to do with being the moment of inertia for a rectangle collinear with an axis but I am still very confused as to what this means.

Any insight into this would be great,
Thanks,
Laura Morrison

I think the trouble you are having with deriving the second moment of area for the weld lines is that the formula in the table attached to the OP is in a weird form, and is certainly not in the simplest form it could be.

If you take what is shown and use the definitions of A and y-bar, substituting them into that formula for I, you will see that after some algebraic manipulation, you wind up essentially with the parallel axis theorem applied to this weld configuration, namely

INA = Iy - A * (y-bar)2, where

INA - moment of inertia about the centroidal axis
Iy - moment of inertia about the top of the section
A - weld area
y-bar - centroid location

Remember, the moment of inertia of the horizontal weld line which is b long is essentially zero, and the MOI of a rectangle about its base is d3/3 (the MOI of a rectangle about its centroid is d3/12). Since there are two vertical weld lines both d long, their combined MOI is 2d3/3, which then must be modified to obtain the MOI about the centroid of the entire section by applying the PAT.
 
What a great explanation. Just one last question about this, when performing the parallel axis theorem on the vertical weld lines (of height d) should I calculate the distance from the bottom of the weld lines to the neutral axis or is it the distance from their centroids to the neutral axis? And how would you work out these distances?

This is the only thing that is still confusing me. You have been a great help, thank you very much.
 
LauraMorrison said:
What a great explanation. Just one last question about this, when performing the parallel axis theorem on the vertical weld lines (of height d) should I calculate the distance from the bottom of the weld lines to the neutral axis or is it the distance from their centroids to the neutral axis? And how would you work out these distances?

This is the only thing that is still confusing me. You have been a great help, thank you very much.

I think for the welding illustrated in the OP, it would be simpler to calculate the MOI about the top of the section, and then apply the PAT to calculate the MOI of the welding about the centroid, which is located y-bar below the top. In this case, the MOI of the vertical lines would be calculated about the top end and would be d3/3 for each side. You have two vertical sides, so the MOI is thus 2d3/3, and the MOI of the top piece is negligible. To correct the MOI from the top to the centroid, you must subtract A*(y-bar)2 from the MOI about the top,

so MOI(centroid) = 2d3/3 - A*(y-bar)2, and

I have seen the formula for the MOI shown on the image attached to the OP on other sites, so it has been copied without anyone checking to see if it is in its simplest form. That particular formula boils down to this:

MOI(centroid) = 2d3/3 - 2A*(y-bar)2 + A*(y-bar)2

which is just

MOI(centroid) = 2d3/3 - A*(y-bar)2

You can always verify the MOI calculation by calculating the inertia of each weld segment about its own centroid, transferring to the top of the weld pattern, and then applying the PAT to correct the MOI back to the centroid of the pattern.
 
Perfect I understand now! Thank you :biggrin:
 

Similar threads

  • · Replies 5 ·
Replies
5
Views
5K
  • · Replies 0 ·
Replies
0
Views
2K
  • · Replies 4 ·
Replies
4
Views
2K
  • · Replies 3 ·
Replies
3
Views
3K
  • · Replies 2 ·
Replies
2
Views
3K
  • · Replies 4 ·
Replies
4
Views
2K
  • · Replies 11 ·
Replies
11
Views
3K
  • · Replies 4 ·
Replies
4
Views
4K
  • · Replies 2 ·
Replies
2
Views
5K
  • · Replies 3 ·
Replies
3
Views
3K