JD_PM
- 1,125
- 156
- Homework Statement
- Given
\begin{equation*}
\mathcal{L} = -\frac 1 4 F_{\mu \nu}F^{\mu \nu} + \frac{m^2}{2} A_{\mu}A^{\mu}
\end{equation*}
Where the strength tensor ##F_{\mu \nu}## is given by
\begin{equation*}
F_{\mu \nu} = \partial_{\nu}A_{\mu} - \partial_{\mu}A_{\nu}
\end{equation*}
The E.O.M., obtainable out of ##\mathcal{L}##, is given by
\begin{equation*}
\Box A^{\mu} - \partial^{\mu} (\partial_{\nu} A^{\nu}) + m^2 A^{\mu} = 0
\end{equation*}
The Feynman propagator for this field is given by
\begin{equation*}
\langle 0 |T\{A^{\mu}(x)A^{\nu}(y)\}|0\rangle = -i \int \frac{d^4 k}{(2\pi)^4} \exp\left( -ik \cdot (x-y)\right) \frac{\eta^{\mu \nu}-k^{\mu}k^{\nu}/m^2}{k^2-m^2+i\varepsilon}
\end{equation*}
Working in momentum-space, show that the propagator is proportional to Green's function for the equation of motion. In other words, find the Green’s function of the equation of motion and use this to determine the propagator (Hint: it is not the aim to calculate Green's function using the Feynman propagator, instead we want to think of it as taking the Fourier transform of the inverse of the equation of motion).
- Relevant Equations
- N/A
First off let me say I am a bit confused by this question.
Searching for some references I found the following related to the KG propagator, given by (P&S, chapter 2 pages 29, 30)
Then they Fourier-transformed the KG propagator
Is this what is aimed with this exercise? If yes, could you please give me a hint on how to apply the idea to the given problem?Thank you
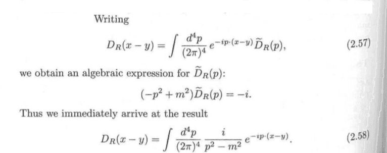
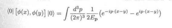
Searching for some references I found the following related to the KG propagator, given by (P&S, chapter 2 pages 29, 30)
Then they Fourier-transformed the KG propagator
Is this what is aimed with this exercise? If yes, could you please give me a hint on how to apply the idea to the given problem?Thank you