Simplify Equation: Get Help Now!

  • Thread starter Thread starter javii
  • Start date Start date
  • Tags Tags
    Simplify
Click For Summary

Homework Help Overview

The discussion revolves around simplifying a complex expression and converting it into Cartesian form. Participants are addressing the nuances of complex number operations, particularly in relation to division and the use of formulas.

Discussion Character

  • Exploratory, Conceptual clarification, Mathematical reasoning, Assumption checking

Approaches and Questions Raised

  • Participants are attempting to simplify a complex expression and express it in Cartesian form, questioning the correctness of their methods and the use of specific formulas. Some participants express uncertainty about whether their simplifications are valid and seek confirmation on their approaches.

Discussion Status

There is an ongoing exchange of feedback regarding the simplification process, with some participants providing guidance on the correct approach to converting complex numbers into Cartesian form. Multiple interpretations of the problem are being explored, and while some participants express confidence in their methods, others highlight potential errors and seek clarification.

Contextual Notes

Participants are discussing the importance of using the correct notation and structure in mathematical expressions, particularly the necessity of an equation format with an equals sign. There are references to specific values and expressions that are not fully detailed, which may affect the clarity of the discussion.

javii
Messages
23
Reaction score
0

Homework Statement


upload_2017-3-10_23-8-47.png

The Attempt at a Solution


The way i have simplified it:
upload_2017-3-10_23-9-58.png


I do not know it is the way to do it.

But if so, now I need to give the answer in cartesian form, and I think I need to use the formula:

upload_2017-3-10_23-12-0.png

meaning it will look like:

upload_2017-3-10_23-12-35.png


Anyone who can tell me if I am on the right track?
Thank you
 
Physics news on Phys.org
What you have is not an equation... An equation always has an = sign between two expressions.
javii said:

Homework Statement


View attachment 114357

The Attempt at a Solution


The way i have simplified it:
View attachment 114358

I do not know it is the way to do it.

But if so, now I need to give the answer in cartesian form, and I think I need to use the formula:

View attachment 114359
meaning it will look like:

View attachment 114360

Anyone who can tell me if I am on the right track?
Thank you
You're on the right track, based on a quick scan, but you're not done. Cartesian form means a + bi (or a + jb, as you are writing things.)

One thing, though -- the first image (which by the way we discourage) has what appears to be the magnitude of the numerator. Because you posted an image, I can't copy just the numerator to show you what I mean.

One other thing -- the work in the inages is very neat, but not well organized. You start off with an expression that you're supposed to simplify, but you have other things in there that are elaborations of parts of what you're working on, and there are indications that what you're starting with and what you're ending with are actually equal. The = symbol is used for that purpose.
 
What is j ? ##j = \sqrt{-1}## ?

javii said:
The way i have simplified it:
upload_2017-3-10_23-9-58-png.114358.png

Second step is wrong.

##|(1- 2j)(1/\sqrt{2}) + (1- 2j)j(1/\sqrt{2})|/...##.
 
Mark44 said:
What you have is not an equation... An equation always has an = sign between two expressions.

You're on the right track, based on a quick scan, but you're not done. Cartesian form means a + bi (or a + jb, as you are writing things.)

One thing, though -- the first image (which by the way we discourage) has what appears to be the magnitude of the numerator. Because you posted an image, I can't copy just the numerator to show you what I mean.

One other thing -- the work in the inages is very neat, but not well organized. You start off with an expression that you're supposed to simplify, but you have other things in there that are elaborations of parts of what you're working on, and there are indications that what you're starting with and what you're ending with are actually equal. The = symbol is used for that purpose.

First of all, thank you for your feedback.
I know that I am not done, as you say I need to find the answer in Cartesian form in Denmark (a+jb), that is why I am asking if i have to use the formula:
upload_2017-3-10_23-12-0-png.114359.png

which I am confirmed that I have to.

And I can see, what you mean with the equal sign. Thank you.
 
javii said:

Homework Statement


View attachment 114357

Thank you

Do you know the result ##|z_1 z_2| =|z_1| \, |z_2| ?## Just apply it in the numerator, with ##z_1 = 1 - 2 j## and ##z_2 = e^{j \pi/4}##.
 
javii said:
First of all, thank you for your feedback.
I know that I am not done, as you say I need to find the answer in Cartesian form in Denmark (a+jb), that is why I am asking if i have to use the formula:
upload_2017-3-10_23-12-0-png.114359.png

which I am confirmed that I have to.
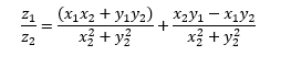
Rather than rely on a formula (that by the way is incorrect), the way that division of complex numbers is to multiply by 1 in a suitable form.
If ##z_1 = x_1 + jy_1## and ##z_2 = x_2 + jy_2##, then
##\frac{z_1}{z_2} = \frac{x_1 + jy_1}{x_2 + jy_2} = \frac{x_1 + jy_1}{x_2 + jy_2} \cdot \frac{x_2 - jy_2}{x_2 - jy_2}##
##= \frac{x_1x_2 + y_1y_2}{x_2^2 + y_2^2 } + j\frac{x_2y_1 - x_1y_2}{x_2^2 + y_2^2}##
In the next to last step, I am multiplying by 1, in the form of ##x_2 - jy_2## over itself. The reason for multiplying by ##x_2 - jy_2## over itself is that this is the complex conjugate of what was originally the denominator, ##x_2 + jy_2##.

The result is now in Cartesian form, with the first fraction being the real part, and the stuff after j being the imaginary part. In your formula, you omitted j.
 
Mark44 said:
Rather than rely on a formula (that by the way is incorrect), the way that division of complex numbers is to multiply by 1 in a suitable form.
If ##z_1 = x_1 + jy_1## and ##z_2 = x_2 + jy_2##, then
##\frac{z_1}{z_2} = \frac{x_1 + jy_1}{x_2 + jy_2} = \frac{x_1 + jy_1}{x_2 + jy_2} \cdot \frac{x_2 - jy_2}{x_2 - jy_2}##
##= \frac{x_1x_2 + y_1y_2}{x_2^2 + y_2^2 } + j\frac{x_2y_1 - x_1y_2}{x_2^2 + y_2^2}##
In the next to last step, I am multiplying by 1, in the form of ##x_2 - jy_2## over itself. The reason for multiplying by ##x_2 - jy_2## over itself is that this is the complex conjugate of what was originally the denominator, ##x_2 + jy_2##.

Will it then be:

x1=
upload_2017-3-11_16-48-32.png

y_1 =
upload_2017-3-11_16-49-30.png

x_2 =
upload_2017-3-11_16-50-1.png

y_2 =
upload_2017-3-11_16-50-29.png


so:

=
upload_2017-3-11_16-53-26.png


in cartesian I get

= 1.7134 +j1.7134

I really hope this is correct.
 

Attachments

  • upload_2017-3-11_16-47-43.png
    upload_2017-3-11_16-47-43.png
    298 bytes · Views: 488
  • upload_2017-3-11_16-49-26.png
    upload_2017-3-11_16-49-26.png
    318 bytes · Views: 473
  • upload_2017-3-11_16-50-50.png
    upload_2017-3-11_16-50-50.png
    1.5 KB · Views: 527
Last edited by a moderator:
javii said:
Will it then be:

x1=View attachment 114386
y_1 =[ ATTACH=full]114388[/ATTACH]
x_2 = [ ATTACH=full]114389[/ATTACH]
y_2 = [ ATTACH=full]114390[/ATTACH]

so:

= [ ATTACH=full]114392[/ATTACH]

in cartesian I get

= 1.7134 +j1.7134

I really hope this is correct.
I get something much different.
 
javii said:
x_2 =
upload_2017-3-11_16-50-1-png.114389.png

y_2 =
upload_2017-3-11_16-50-29-png.114390.png
Those are both wrong. Please post the steps by which you arrived at them.
 
  • #10
javii said:

Homework Statement


View attachment 114357

The Attempt at a Solution


The way i have simplified it:
View attachment 114358

I do not know it is the way to do it.

But if so, now I need to give the answer in cartesian form, and I think I need to use the formula:

View attachment 114359
meaning it will look like:

View attachment 114360

Anyone who can tell me if I am on the right track?
Thank you

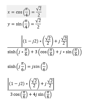
As far as I can see you are on the wrong track. Your expression is of the form ##N/D##, where the numerator is ##N = |(1-j2) e^{j \pi/4}| ## and the denominator is
$$D = \sinh (j \pi/6) + 3 (\cos(\pi/6) + j \sin(\pi/6)).$$
I assume that ##j2## in the numerator means ##2j##, not ##j^2##.

When evaluating ##N## you first expanded ##e^{i \pi/4}##, then multiplied by ##(1-2j)##, but you did it all wrong (at least as written and read using standard rules). You should have
$$(1-2j) ((\sqrt{2}/2 + j \sqrt{2}/2) = (1-2j) \sqrt{2}/2 + (1-2j) j \sqrt{2}/2\\ = 3 \sqrt{2}/2- j \sqrt{2}/2 \doteq 2.121 - 0.707 j ,$$
but you have written
$$(1-2j) \sqrt{2}/2 + j \sqrt{2}/2 = \sqrt{2}/2 - j \sqrt{2}/2 \doteq 0.707 - 0.707 j.$$
You are bound to get the wrong answer!

However, all that is a real waste of time; just pay attention to post #5, and use the much simpler result ##N = |1-2j| |e^{j \pi/4}|.## Can you take it from there?
 

Similar threads

  • · Replies 4 ·
Replies
4
Views
2K
  • · Replies 3 ·
Replies
3
Views
2K
  • · Replies 10 ·
Replies
10
Views
3K
  • · Replies 4 ·
Replies
4
Views
2K
  • · Replies 6 ·
Replies
6
Views
2K
  • · Replies 9 ·
Replies
9
Views
2K
  • · Replies 1 ·
Replies
1
Views
2K
  • · Replies 2 ·
Replies
2
Views
2K
  • · Replies 2 ·
Replies
2
Views
2K
  • · Replies 10 ·
Replies
10
Views
4K