Solution to differential equations of piezoelectric vibration

Click For Summary

Discussion Overview

The discussion revolves around finding a solution to the differential equations governing the vibration of a piezoelectric ring with electrodes on its surfaces. The focus is on an axisymmetric problem within a cylindrical coordinate system, involving constitutive equations, equations of motion, and geometric relations specific to piezoelectric materials.

Discussion Character

  • Exploratory, Technical explanation, Debate/contested

Main Points Raised

  • One participant describes the problem setup, including the polarization direction and the equations involved, seeking references for solutions.
  • Another participant suggests that an analytic solution may not be feasible and recommends determining boundary conditions and pursuing numerical solutions to identify sensitive parameters.
  • A different participant expresses a desire to find a specific form for the solution, referencing a known solution in Cartesian coordinates as a potential starting point for further discussion.
  • One participant interprets the previous statement as indicating that the solution mentioned is just one of several possible solutions to the equations presented.

Areas of Agreement / Disagreement

Participants do not appear to reach a consensus on the feasibility of an analytic solution, with differing views on the approach to take—some favoring numerical methods while others seek specific forms of solutions.

Contextual Notes

The discussion includes assumptions about the nature of the solutions and the applicability of different coordinate systems, which may affect the interpretation of the equations and the proposed methods.

Who May Find This Useful

Researchers and students interested in piezoelectric materials, vibration analysis, and differential equations in engineering contexts may find this discussion relevant.

athosanian
Messages
66
Reaction score
8
dear all, I am working on a problem about the vibration of a piezoelectric ring with electrodes on the upper and lower surface. the coordinate system is cylinder coordinate system. the structure is shown below. This is an axisymmetry problem.

attachment.php?attachmentid=69968&d=1400765791.png


the polarization of the piezoelectric ring is along thickness direction.

constitutive equations are
attachment.php?attachmentid=69969&d=1400765791.png


the equation of motion are
attachment.php?attachmentid=69970&d=1400765791.png


The geometric relations are
attachment.php?attachmentid=69971&d=1400765791.png


substituting constitutive relation and geometric relation into the equation of motion , I obtain
attachment.php?attachmentid=69972&d=1400765791.png



I want to find a solustion to the above equ. (4). Any one who is familiar with such equations could provide some references for me to read ? Thanks a lot.
 

Attachments

  • structure.png
    structure.png
    4.9 KB · Views: 977
  • 图片2.png
    图片2.png
    1.3 KB · Views: 895
  • 图片3.png
    图片3.png
    1.4 KB · Views: 809
  • 图片4.png
    图片4.png
    1.1 KB · Views: 707
  • 图片5.png
    图片5.png
    8.9 KB · Views: 851
Physics news on Phys.org
Do you expect an analytic solution?

You might determine some appropriate boundary conditions and carry out a series of numerical solutions; this will help you locate the most sensitive parameters, and guide you in some appropriate approximations which will simplify the equations.
 
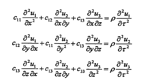
I just want to find a form for the solution. For example, in Cartesian coordiantes, the vibration equation is
attachment.php?attachmentid=70014&d=1400853516.png


the solution for the equations is
attachment.php?attachmentid=70016&d=1400853785.png

Then I can continue the discussions.
 

Attachments

  • 图片6.png
    图片6.png
    6.3 KB · Views: 707
  • 图片8.png
    图片8.png
    1.9 KB · Views: 681
I guess you want to say that there is one of the possibile solutions for the equations you wrote!
 

Similar threads

  • · Replies 7 ·
Replies
7
Views
4K
Replies
2
Views
2K
  • · Replies 3 ·
Replies
3
Views
2K
Replies
17
Views
3K
  • · Replies 0 ·
Replies
0
Views
4K
  • · Replies 1 ·
Replies
1
Views
1K
  • · Replies 3 ·
Replies
3
Views
1K
  • · Replies 5 ·
Replies
5
Views
3K
  • · Replies 3 ·
Replies
3
Views
4K
  • · Replies 1 ·
Replies
1
Views
2K