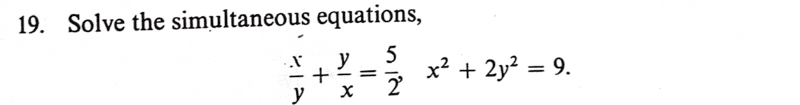
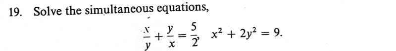
Solve these simultaneous equations

  • Thread starter Thread starter chwala
  • Start date Start date
Click For Summary

Homework Help Overview

The discussion revolves around solving simultaneous equations involving variables x and y. Participants are exploring various algebraic approaches to find solutions and are questioning the methods used in their calculations.

Discussion Character

  • Exploratory, Mathematical reasoning, Assumption checking

Approaches and Questions Raised

  • Participants have attempted to manipulate the equations algebraically, including rewriting terms and factoring polynomials. Some express uncertainty about their methods and seek alternative approaches. There is a focus on maintaining exact expressions rather than using decimal approximations.

Discussion Status

Several participants have provided suggestions for different methods of solving the equations, including factoring and substituting values. There is acknowledgment of missing solutions and a general openness to exploring better approaches. No consensus has been reached on a definitive method yet.

Contextual Notes

Participants note the presence of multiple solutions and the potential for better methods to be discovered. There is an emphasis on the importance of exact expressions in the calculations.

chwala
Gold Member
Messages
2,842
Reaction score
428
Homework Statement
See attached.
Relevant Equations
Simultaneous equations
1693397130409.png
In my approach,
##\dfrac{x^2}{y}+ y =2.5x##

and we know that

##2y^2=9-x^2##

##y^2=\dfrac{9-x^2}{2}##

##(\dfrac{x^2}{y}+ y)(\dfrac{x^2}{y}+ y)=(2.5x)^2##

##\dfrac{x^4}{y^2} + x^2+x^2+y^2=6.25x^2##

##\dfrac{x^4}{y^2}+2x^2+\dfrac{9-x^2}{2}=6.25x^2##

##\dfrac{2x^4}{9-x^2} +2x^2+\dfrac{9-x^2}{2}=6.25x^2##

##4x^4+2x^2(18-2x^2)+(9-x^2)^2=6.25x^2(18-2x^2)##

...

##36x^2+81-18x^2+x^4=112x^2-12.5x^4##

##12.5x^4+x^4-94.5x^2+81=0##

##13.5x^4-94.5x^2+81=0##

##x_1=6## We cannot have ##y## values for ##x_1=6##

and for ##x_2=1 ⇒y= ±2##

There should be a better approach...will explore later.
 
Physics news on Phys.org
chwala said:
Homework Statement: See attached.
Relevant Equations: Simultaneous equations

View attachment 331231In my approach,
##\dfrac{x^2}{y}+ y =2.5x##

and we know that

##2y^2=9-x^2##

##y^2=\dfrac{9-x^2}{2}##

##(\dfrac{x^2}{y}+ y)(\dfrac{x^2}{y}+ y)=(2.5x)^2##

##\dfrac{x^4}{y^2} + x^2+x^2+y^2=6.25x^2##

##\dfrac{x^4}{y^2}+2x^2+\dfrac{9-x^2}{2}=6.25x^2##

##\dfrac{2x^4}{9-x^2} +2x^2+\dfrac{9-x^2}{2}=6.25x^2##

##4x^4+2x^2(18-2x^2)+(9-x^2)^2=6.25x^2(18-2x^2)##

...

##36x^2+81-18x^2+x^4=112x^2-12.5x^4##

##12.5x^4+x^4-94.5x^2+81=0##

##13.5x^4-94.5x^2+81=0##

##x_1=6## We cannot have ##y## values for ##x_1=6##

and for ##x_2=1 ⇒y= ±2##

There should be a better approach...will explore later.
I didn't look over the whole thing, but one suggestion: leave fractions as fractions (that 5/2 thing at the start.) Decimals are usually approximations... better to maintain the exact expressions. And who knows? Something might cancel later.

And your solution method is probably as good as it's going to get for this one.

-Dan

Addendum: I just looked at the graph. You are missing two solutions.
 
  • Like
Likes   Reactions: SammyS and chwala
topsquark said:
I didn't look over the whole thing, but one suggestion: leave fractions as fractions (that 5/2 thing at the start.) Decimals are usually approximations... better to maintain the exact expressions. And who knows? Something might cancel later.

And your solution method is probably as good as it's going to get for this one.

-Dan

Addendum: I just looked at the graph. You are missing two solutions.
Yes, i am aware that there are other solutions...which can easily be determined when solving for ##x##... i am seeking other better ways of solving this particular problem...
 
chwala said:
Homework Statement: See attached.
Relevant Equations: Simultaneous equations

1693397130409-png.png


There should be a better approach...will explore later.
Multiply both sides of the first equation, ##\displaystyle \frac x y +\frac y x = \frac 5 2 \ ## by ##\displaystyle 2xy## .

Rewrite as ##\displaystyle 2x^2 - 5xy + 2y^2 =0 ## .

Factor and solve for ##x## or for ##y##.

Plug the result into the other given equation and solve.
 
  • Like
Likes   Reactions: chwala
SammyS said:
Multiply both sides of the first equation, ##\displaystyle \frac x y +\frac y x = \frac 5 2 \ ## by ##\displaystyle 2xy## .

Rewrite as ##\displaystyle 2x^2 - 5xy + 2y^2 =0 ## .

Factor and solve for ##x## or for ##y##.

Plug the result into the other given equation and solve.
@SammyS thanks let me check this approach...
 
chwala said:
Homework Statement: See attached.
Relevant Equations: Simultaneous equations

1693397130409-png[1].png

In my approach,

. . .

##13.5x^4-94.5x^2+81=0##

##x_1=6## We cannot have ##y## values for ##x_1=6##

and for ##x_2=1 ⇒y= ±2##

There should be a better approach...will explore later.

Your workings are correct down to and including the degree 4 polynomial equation I have quoted.

Note that multiplying that equation by 2 gives:

## \displaystyle 27x^4-189x^2+162=0##

After factoring out 27 and discarding it, you get:

## \displaystyle x^4-7x^2+6=0## .

This factors easily into ## \displaystyle (x^4-1)(x^2-6)=0## , so that either ## \displaystyle x^2=1## or ## \displaystyle x^2=6## , rather than ## \displaystyle x=1## or ## \displaystyle x=6## as you had.

That still leaves you with some details to finish up to arrive at the overall solution.
 
  • Like
Likes   Reactions: chwala and MatinSAR
@SammyS yeah I will look at this again... will be back in a few days...
 

Similar threads

Replies
5
Views
4K
  • · Replies 1 ·
Replies
1
Views
2K
  • · Replies 5 ·
Replies
5
Views
3K
  • · Replies 2 ·
Replies
2
Views
3K
Replies
4
Views
2K
Replies
3
Views
3K
Replies
4
Views
2K
  • · Replies 3 ·
Replies
3
Views
3K
Replies
3
Views
3K
  • · Replies 20 ·
Replies
20
Views
5K