Statics and friction -- Two articulated rods connected to blocks

Click For Summary

Homework Help Overview

The discussion revolves around a statics problem involving two articulated rods connected to blocks A and B, which are subjected to a force P. The force P is specified as 1.26 times the weight G of the blocks, and the static friction coefficient is given as 0.3. The problem requires determining the ranges of angles θ for which the system remains in static equilibrium, specifically identifying four corner angles α1, α2, α3, and α4.

Discussion Character

  • Exploratory, Assumption checking, Problem interpretation

Approaches and Questions Raised

  • Participants discuss the need to analyze forces acting on the blocks and the implications of the static friction coefficient. There is mention of decomposing forces and setting up inequalities to determine conditions for equilibrium. Some participants express confusion regarding the calculations of angles and the significance of the weight G.

Discussion Status

Several participants are actively engaging with the problem, offering insights into the nature of the forces involved and suggesting methods for determining the angles. There is a recognition of the complexity of the problem, with some participants indicating they understand parts of the solution while others seek further clarification on calculating the remaining angles.

Contextual Notes

Participants note that the angles are fixed at 30 and 60 degrees, and there is a discussion about the relevance of the weight G in the calculations. The problem setup and the relationships between the forces acting on the blocks are under scrutiny, with some participants questioning the assumptions made in the initial analysis.

melanie1235
Messages
6
Reaction score
3
Homework Statement
see picture below
Relevant Equations
see picture below
1607880572716.png
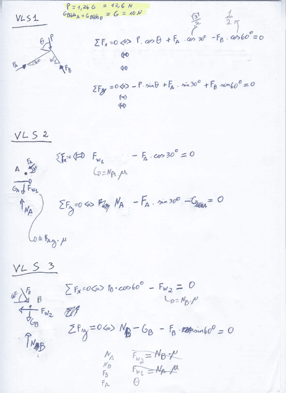
A force P is exerted on two articulated rods that are connected to two small blocks A and B. Both blocks have the same weight G. The magnitude of the force P = 1.26 G. The static friction coefficient between the blocks and the ground is 0.3. The mass of the rods may be neglected.

It can be shown that this construction will remain in static equilibrium when the angle θ lies between the angles α1 and α2 or between α3 and α4.

What are the values of these four corners?

Note:

all angles are between 0 ° and 180 °
sort the values of these four corners from smallest to largest

this is my part of the solution: I'm in trouble because the value of sin(θ) is larger than 1.
Can somebody pleas help me, I'm desperate.
1607880529744.png
 
Last edited by a moderator:
  • Like
Likes   Reactions: Delta2 and Aenema
Physics news on Phys.org
melanie1235 said:
Homework Statement:: see picture below
Relevant Equations:: see picture below

View attachment 274225A force P is exerted on two articulated rods that are connected to two small blocks A and B. Both blocks have the same weight G. The magnitude of the force P = 1.26 G. The static friction coefficient between the blocks and the ground is 0.3. The mass of the rods may be neglected.

It can be shown that this construction will remain in static equilibrium when the angle θ lies between the angles α1 and α2 or between α3 and α4.

What are the values of these four corners?

Note:

all angles are between 0 ° and 180 °
sort the values of these four corners from smallest to largest

this is my part of the solution: I'm in trouble because the value of sin(θ) is larger than 1.
Can somebody pleas help me, I'm desperate.
View attachment 274224
You should always draw all the forces first to get a clear idea of what's going on.
 
I already did that
1607884248547.png
 
Please, don't panic. :smile:
There are two ranges of angles within which, if force P is applied onto joint C, will induce movement of block A or B or both.

One range of angle θ is located somewhere to the left of the vertical line passing by joint C (possible values to calculate should be between 0° and 90°).
The second range of angle θ is located somewhere to the right of that vertical line (possible values to calculate should be between 90° and 180°).

It seems that you have incorrectly calculated the values of P and G.
Value of G (weight of each block) is unknown and not needed.
The problem is telling us only that the magnitude of force P is 1.26 times the magnitude of each force G.

I recommend working backwards from the posible forces acting on each block towards the forces acting along rods CA and CB, which angles remain as shown in the diagram.

There will be ranges of the magnitude of forces CA and CB that wil make the blocks slide.
The magnitude of each of those forces will change as the angle at which force P is applied onto joint C changes between 0 and 180 degrees.
 
Last edited:
  • Like
Likes   Reactions: Aenema
It seems to me that you don't need to calculate all those internal forces at all. The issue is how to set up inequalities, not equalities for the disturbance of equilibrium. Ask what will conditions will make it move to the right or left?. I take it the given angles are fixed?
 
Yes the given angles are fixed
 
I mean, in equilibrium the angles have a magnitude of 30 and 60 degrees
 
melanie1235 said:
I don't understand how you got G=10N. As @Lnewqban wrote, it doesn't matter what G is.
A key point is that there are four ways in which it might lose stability: block A may move left or right, block B may move left or right. Consider each case separately.
 
@melanie1235

Forget your problem for a moment. Consider a block of a given weight G, posed on a horizontal plane, and suppose the static friction coefficient is ##\mu##. Now apply to the block a force F which makes angle ##\theta ## with the horizontal. This force has two components:
horizontal: ##F\cos\theta##
vertical : ##Fsin\theta##

sum the vertical one to G, and multiply the sum for ##\mu##. In order to prevent the block to move, the horizontal component ##F\cos\theta## must be less, or in the limit equal, to ##\mu(G+Fsin\theta)##.

This gìves a range in which ##\theta ## can vary, from 90 degrees to a minimum: the minimum is obtained with equality in that inequality that you wrote before. Ok ?

Now back to the problem.
Decompose force P in the directions of rods CA and CB, and apply to each component , which acts on relevant block, the considerations made before for F acting on a single block. Of course, When P is directed as CA, it has no component on CB, and the same applies when it is directed as CB : the rods are perpendicular in the equilibrium position. Angles are known in this position. But these ones aren’t unique, read the previous message #8 .

Sorry for my bad English, and bad Latex.
I am not yet able to attach a drawing.
 
Last edited:
  • Like
Likes   Reactions: Aenema
  • #10
melanie1235 said:
Can somebody pleas help me, I'm desperate.
Here is more help then I probably should provide (purists forgive me), but it seems the most practical way to assist here. Sorry if this is a bit long but I've tried to explain in detail.

To keep the working less cluttered, we can (without loss of generality) say G = 1 force-unit. Then P = 1.26 force-units. We then don’t need ‘P’ or ‘G’.

##F_A## is the compression or tension in AC. Similarly for ##F_B## and BC.

Block-A can slip left or right. Same for block-B. Let’s consider one case in detail: block-A about to slip left.

To make block-A slip left, AC must be in compression. So the vertical force on block-A from AC is ##F_Asin(30º)=0.5F_A## downwards. Since weight = 1 unit, the total downwards force on block-A is ##1 + 0.5F_A## and the limiting frictional force is ##0.3(1 + 0.5F_A)## = ##0.3 + 0.15F_A## (to the right)

The horizontal component of ##F_A## is ##F_Acos(30º)## = ##0.866F_A## (to the left).

When about to slip:
##0.866F_A## = ##0.3 + 0.15F_A##
##F_A## = ##0.419## (force-units)

Now the tricky bit. The 3 forces acting at point C are ##F_A##, ##F_B## and P. We could try analysing these forces using components, but we soon get into a terrible mess (I tried it!). But we note the rods are perpendicular and we can easily use the force-triangle for these 3 forces in equilibrium at C.

There are 2 cases to consider: BC might be in compression or it might be in tension. I’ll consider BC in compression (but see note below). In this case the 3 forces at point C are all directed inwards, to point C. I can’t do a drawing easily but I hope this diagram is enough. The force-triangle is ΔPQR:

...Q
P

...R

where ##\vec{PQ}## = ##F_A##, ##\vec{RP}## = ##F_B## and ##\vec{QR}## = P

You should draw this force triangle for yourself anyway to make sure you understand how to do it.

QR is θ to horizontal. PR is 60º to horizontal. So ∠R = θ - 60º. Since ∠P = 90º:
sinR = PQ/QR = |##F_A##|/ |##P## |
sin(θ - 60º) = 0.419/1.26
θ = 79.4º

So one of the required angles (α₁, α₂, α₃ or α₄) is 79.4º. (But you need to check all my arithmetic.)

Note: If BC were in tension, this would be a different situation. To be rigorous you should repeat the above process to check whether or not BC in tension gives a feasible solution. and if so, if it gives a value of θ in the allowed range.

Now repeat the whole process for block-A slipping right, for block-B slipping left and for block-B slipping right! Once you understand the method and are comfortable using force triangles, it's tedious but not difficult.
 
  • Like
Likes   Reactions: hutchphd and Delta2
  • #11
Thank you very much for your answer, I get it! I understand how to calculate one angle. But I have still no idea how the calculate the other angles.
 
  • #12
melanie1235 said:
Thank you very much for your answer, I get it! I understand how to calculate one angle. But I have still no idea how the calculate the other angles.
The method is exactly the same for all the other angles. If you think you undertsand my method, write out your own solution (for block-A slipping left) without looking at my answer. Then see what you get and refer to my answer to identify/analyse any differences. That will improve your understanding of the basic method.

Then use the same method for the other angles. For example, if you want the angle which makes block-B slip to the left you:
1) Note this requires BC to be in tension.
2) Calculate the vertical component of BC's tension on block-B: ##F_Bsin(60º)## upwards.
3) Calculate the horizontal component of BC's tension on block-B: ##F_Bcos(60º)## left.
4) Calculate the limiting frictional force: ##0.3(1 - F_Bsin(60º))## to the right. Note the minus sign as BC
is in tension.
5) Equate the answers from steps 3) and 4) and find the value of ##F_B##.
6) Draw the force triangle at C (##F_A## will be in compression if you think about it).
7) Calculate the required angle inside the force triangle.
8) Solve for θ.
 
  • #13
Actually I don't really understand this part of your solution
1607953975201.png

I need the answer at 7 PM so I'm a bit stessed out ( in Belgium it is now 3 PM)
 
Last edited:
  • Like
Likes   Reactions: Delta2
  • #14
It's not clear what the specific difficulty is. Do you know how to draw a force triangle for 3 forces in equilibrium? It is not practical to teach it here. You could watch one of the many YouTube videos (search for 'triangle of forces').

I made a video (below) some time ago which may help. The first 13m 20s should explain (from the very basics).

Sorry I can't do the problem for you, but it would contravene the rules here (and wouldn't be ethical). If you attempt one of the other angles (e.g. for block B about to slide left) and post your working, we might be able to help.

I have go out in about an hour, so will not be able to answer posts after that today.
 

Similar threads

Replies
16
Views
3K
Replies
61
Views
4K
  • · Replies 1 ·
Replies
1
Views
3K
  • · Replies 9 ·
Replies
9
Views
2K
  • · Replies 1 ·
Replies
1
Views
2K
  • · Replies 6 ·
Replies
6
Views
2K
Replies
15
Views
3K
  • · Replies 18 ·
Replies
18
Views
3K
  • · Replies 5 ·
Replies
5
Views
4K
  • · Replies 2 ·
Replies
2
Views
2K