Sum of the Expected Values of Two Discrete Random Variables

Click For Summary

Homework Help Overview

The discussion revolves around proving a property of expected values in the context of discrete random variables, specifically that the expected value of a linear combination of random variables can be expressed in terms of their individual expected values. The original poster expresses uncertainty about the transition between steps in a proof involving summations and joint distributions.

Discussion Character

  • Conceptual clarification, Mathematical reasoning, Assumption checking

Approaches and Questions Raised

  • Participants explore the relationship between joint and marginal distributions, with some attempting to clarify the mathematical steps involved in the proof. Questions arise regarding the application of the law of total probability and the structure of the summations.

Discussion Status

There is an active exploration of the concepts of joint and marginal distributions, with participants providing examples and seeking clarification on specific steps in the proof. Some guidance has been offered regarding the mathematical relationships, but no consensus has been reached on the original poster's confusion.

Contextual Notes

The original poster notes a lack of clarity in their instructor's explanations, indicating a need for a deeper understanding of the foundational concepts involved in the problem.

TheBigDig
Messages
65
Reaction score
2
Homework Statement
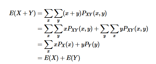
Prove that E[aX+bY] = aE[X]+bE[Y]
Relevant Equations
[tex]E[X] = \sum_{x=0}^{\infty} x p(x)[/tex]
Apologies if this isn't the right forum for this. In my stats homework we have to prove that the expected value of aX and bY is aE[X]+bE[Y] where X and Y are random variables and a and b are constants. I have come across this proof but I'm a little rusty with summations. How is the jump from the second line to the third line made?
1602533296609.png
 
Physics news on Phys.org
The probability, ##P_X(x)##, for X taking a fixed value, x, is the sum over all values of Y of ##P_{XY}(x,y)##. So that is substituted in the third line. Likewise, the sum over all values of X of ##P_{XY}(x,y)## is replaced by ##P_Y(y)##.
 
It's because$$\sum_y x P_{XY}(x,y) = x \sum_y P_{XY}(x,y) = xP_X(x)$$where the second equality follows from the law of total probability.

N.B. I think you're missing a ##\sum## before the ##y P_Y(y)##
 
TheBigDig said:
How is the jump from the second line to the third line made?

Have you studied joint distributions and their associated "marginal distributions"?

As an example, suppose ##P_{X,Y}## is given by
##P_{X,Y}(1,1) = 0.4##
##P_{X,Y} (1,2) = 0.2##
##P_{X,Y} (2,1) = 0.3##
##P_{X,Y}(2,3) = 0.1##

The associated marginal distribution for ##X## is:
##P_X(1) = 0.6 = P_{X,Y}(1,1) + P_{X,Y}(1,2)##
##P_X(2) = 0.4##

The term ##\sum_x \sum_y x P_{X,Y}(x,y)## denotes:

##( (1) ( P_{X,Y}(1,1) + (1)P_{X,Y}(1,2) ) + ( (2) P_{X,Y}(2,1) + (2)P_{X,Y}(2,2))##
## = (1) P_X(1) + (2)P_X(x)##

In the next line, the term ##\sum_x x P_X(x)## also denotes
## (1) P_X(1) + (2)P_X(2) ##
 
Stephen Tashi said:
Have you studied joint distributions and their associated "marginal distributions"?

As an example, suppose ##P_{X,Y}## is given by
##P_{X,Y}(1,1) = 0.4##
##P_{X,Y} (1,2) = 0.2##
##P_{X,Y} (2,1) = 0.3##
##P_{X,Y}(2,3) = 0.1##

The associated marginal distribution for ##X## is:
##P_X(1) = 0.6 = P_{X,Y}(1,1) + P_{X,Y}(1,2)##
##P_X(2) = 0.4##

The term ##\sum_x \sum_y x P_{X,Y}(x,y)## denotes:

##( (1) ( P_{X,Y}(1,1) + (1)P_{X,Y}(1,2) ) + ( (2) P_{X,Y}(2,1) + (2)P_{X,Y}(2,2))##
## = (1) P_X(1) + (2)P_X(x)##

In the next line, the term ##\sum_x x P_X(x)## also denotes
## (1) P_X(1) + (2)P_X(2) ##

Okay yes, this definitely seems like something I need to read up on. Our instructor is a little handwavy at the moment saying we'll come across these concepts later but I'm one of those people who needs to understand each element.

etotheipi said:
It's because$$\sum_y x P_{XY}(x,y) = x \sum_y P_{XY}(x,y) = xP_X(x)$$where the second equality follows from the law of total probability.

N.B. I think you're missing a ##\sum## before the ##y P_Y(y)##

Thank you as well. Yes I think it is missing that. I found it online and just copied and pasted the image.
 

Similar threads

  • · Replies 5 ·
Replies
5
Views
2K
  • · Replies 7 ·
Replies
7
Views
2K
  • · Replies 2 ·
Replies
2
Views
2K
  • · Replies 30 ·
2
Replies
30
Views
5K
  • · Replies 12 ·
Replies
12
Views
2K
  • · Replies 8 ·
Replies
8
Views
2K
  • · Replies 2 ·
Replies
2
Views
2K
  • · Replies 10 ·
Replies
10
Views
2K
  • · Replies 4 ·
Replies
4
Views
3K
  • · Replies 1 ·
Replies
1
Views
4K