Take v(t) and h(t) to make v(h)

  • Context: Undergrad 
  • Thread starter Thread starter Adoniram
  • Start date Start date
Click For Summary

Discussion Overview

The discussion revolves around the challenge of deriving a function for velocity as a function of height, v(h), from given functions for velocity v(t) and height h(t) as functions of time. Participants explore various methods for achieving this, including numerical approaches and potential analytical solutions, while addressing the complexities involved due to the nature of the functions.

Discussion Character

  • Exploratory
  • Technical explanation
  • Mathematical reasoning
  • Debate/contested

Main Points Raised

  • One participant suggests creating a table of t as a function of h and fitting a function through it, proposing logarithmic regression or spline fitting as potential methods.
  • Another participant mentions the possibility of calculating individual points of v(h) and the derivative v'(h) analytically, depending on the relationship between t and h.
  • A participant expresses the desire to integrate a function involving both v(t) and another function g(h) of height, seeking to simplify the integration process by expressing everything in terms of height.
  • One participant proposes a transformation of the integral to express it in terms of time, questioning the correctness of the conversion for limits of integration.
  • Some participants inquire about the necessity of a closed-form solution versus the acceptability of numerical methods, with one participant affirming that numerical results are sufficient.
  • Concerns are raised about the specific values of parameters affecting the invertibility of h(t), with one participant noting that if a certain ratio equals 1, h(t) would be easier to invert.
  • Another participant emphasizes that in practical scenarios, the ratio will not equal 1, complicating the inversion process.

Areas of Agreement / Disagreement

Participants express varying opinions on the methods to derive v(h), with some favoring numerical methods while others explore analytical approaches. There is no consensus on a definitive solution or method, and the discussion remains unresolved regarding the best approach to take.

Contextual Notes

Participants note limitations related to the specific forms of h(t) and v(t), as well as the dependence on certain parameters that affect the invertibility of the height function. The discussion also highlights the complexity of integrating functions that depend on both time and height.

Adoniram
Messages
93
Reaction score
6
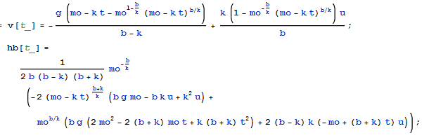
So I have some very complicated functions that do not have trivial inverses, but I'd really like to make a new function from them. What I have is:
v(t): velocity as a function of time
h(t): height as a function of time (never mind that is says hb)
upload_2017-2-10_10-52-29.png


What I want:
v(h): velocity as a function of height

The height function goes as an exponential function, so there are no local minima to worry about:
upload_2017-2-10_10-51-4.png


Other than fitting a polynomial to the h(t) function (which I'm not sure would be invertible anyway), does anyone know of a good way to combine these functions into v(h)?
 
Physics news on Phys.org
I don't know if there is a closed-form analytical solution, but since you are sure that h(t) is monotonically increasing, you could make a table of t as a function of h and fit a function through it.
From the looks of it, I would first try taking a logarithm of height and see if a regression line gives you the accuracy you want.
If that doesn't work, you can fit a spline function through it and make the resolution as good as you need. (A spline would only be practical if you make computer code to implement it.)
 
Last edited:
How/where do you need v(h)? It is easy to calculate individual points, and you can also calculate the derivative v'(h) analytically for every point where you know t.
If (b+k)/k is a small integer, it is possible to write down t(h) in closed form, otherwise it is probably impossible.

Introducing new variables for t-independent stuff would make the equations much more readable.
 
The reason I want this v(h) form is so that I can integrate a function which relies, in part, on v(t).

So... I have another function:
[tex]F(t,h)=c_1v(t)+c_2g(h)[/tex]
where [itex]c_1[/itex] and [itex]c_2[/itex] are constants and [itex]g(h)[/itex] is another well-understood function of height.
What I want to find is:
[tex]\int_{h=0}^{h_f}F dh[/tex]
to find the work done by this force over some height. And since velocity and height are well-defined functions, I figured it would make my life easier to integrate over a single variable, [itex]dh[/itex], instead of trying to figure out how to get work from a function of both time and height.

So, if I could get [itex]t(h)[/itex] and plug that into [itex]v(t(h))[/itex], my life would be easier...

Unfortunately, the quantity [itex](b+k)/k[/itex] will be, at best, [itex]1[/itex] so it can't be ignored...
 
Ummm... maybe I could do this (please comment your thoughts!):

[tex]\int_{h=0}^{h_f} F dh = \int_{h=0}^{h_f} F dh \frac{dt}{dt} = \int_{t=0}^{t_f} F v(t) dt[/tex]

Does that work, or is there a different conversion for the limits of integration or differential element that I'm forgetting?
 
Do you need it to be closed form or can you use numerical methods?
 
FactChecker said:
Do you need it to be closed form or can you use numerical methods?
Numerical results are perfectly fine!
 
Adoniram said:
Unfortunately, the quantity (b+k)/k will be, at best, 1 so it can't be ignored...
If it is 1, h(t) is a polynomial of degree 2, and easy to invert.

Numerically, you can just integrate over t and don't need anything special.
 
Yeah the problem is, it'll never be 1 in reality. It'll be something like (0.05+k)/k which is why it's so hard to invert.
 
  • #10
All that doesn't matter if you just need a numerical value for the integral.
 

Similar threads

  • · Replies 3 ·
Replies
3
Views
2K
  • · Replies 5 ·
Replies
5
Views
2K
  • · Replies 33 ·
2
Replies
33
Views
4K
  • · Replies 1 ·
Replies
1
Views
2K
Replies
34
Views
3K
  • · Replies 4 ·
Replies
4
Views
3K
  • · Replies 1 ·
Replies
1
Views
4K
  • · Replies 1 ·
Replies
1
Views
2K
  • · Replies 3 ·
Replies
3
Views
5K
  • · Replies 8 ·
Replies
8
Views
2K