The shape of the surface of a soap film

Click For Summary

Homework Help Overview

The discussion revolves around the shape of a soap film connecting two coaxial rings, focusing on deriving a differential equation for the radial distance as a function of the axial position. The problem involves concepts from fluid mechanics and surface tension, particularly how these relate to the stability and shape of the film under varying distances between the rings.

Discussion Character

  • Exploratory, Conceptual clarification, Mathematical reasoning, Problem interpretation, Assumption checking

Approaches and Questions Raised

  • Participants discuss the mathematical formulation of the problem, including the use of cylindrical coordinates and the symmetry of the soap film. There are attempts to derive force balance equations and explore the implications of surface tension. Questions arise regarding the assumptions made about gravity and the uniformity of the film's thickness.

Discussion Status

The discussion is ongoing, with participants exploring different mathematical approaches and interpretations of the problem. Some have provided insights into the force balance and the conditions necessary for the film's stability, while others are seeking clarification on specific aspects of the derivation.

Contextual Notes

There are constraints regarding the assumptions made about the system, such as the uniformity of the film and the absence of gravity in the analysis. Additionally, the problem requires boundary conditions to be applied, which has led to further exploration of the implications of these conditions on the solution.

Raihan amin
Messages
45
Reaction score
0
1. Two coaxial rings of radius R=10 cm are placed to a distance L from each other.There is a soap film connecting the two rings(that looks like a cylinder which have different radii with z coordinate. (The rings lie in xy plane)).Derive a differential equation describing the shape r(z) of the film where r is the radial distance from symmetry axis,as a function of distance z along the axis.
Show that cosh x is one of its solutions.
When the distance between rings is slowly increased ,at a certain critical distance L• ,the soap film breaks.Find L•
2.surface tension T=F/l and
Excess pressure inside a soap bubble is ∆P=4T/r3. I write the force balance equation for a divided part of soap film.
T.4Πr=∆P.Πr^2
and then
∆p=4T/r but I can't move ahead .Long hints is requested.
Thanks in advance.
 
Last edited by a moderator:
Physics news on Phys.org
Can you please provide a schematic diagram of the system?
 
I suppose the soap film surface . which is kind of the collateral surface of the cylinder with height L and radius R=10cm, can be described (in cylindrical coordinates) by ##r=r(z,\phi)## and I suppose it has symmetry with respect to ##\phi## so its just ##r(z)## as the exercise claims. I also suppose the soap film in the top and bottom surface of the cylinder can be taken to be flat or I don't know if we want for soap film to exist there. Still I can't be much of help for this problem never studied the laws of surface tension...
 
Draw a catenoid type line (a string hanging loosely between two fixed points) connecting two points of the rings .it is the surface.
 
So the axis of the rings is vertical and they share a common axis? You have a pressure difference in your equations. What is forcing this pressure difference? Is gravity a factor? Is the thickness of the film assumed uniform, or does it vary with z?
 
They share a common axis .but as mass is not included i don't think gravity is a factor.and the question only says that r=r(z). To Illustrate the fig. I told you that the rings is in xy plane.
 

Attachments

  • IMG_20180914_202902_150.jpg
    IMG_20180914_202902_150.jpg
    3 KB · Views: 654
OK. I’ll help you analyze this a little later when i’m back at my computer.
 
  • Like
Likes   Reactions: Raihan amin
OK. We're going to be deriving a differential force balance on a small window shaped panel of film situated between ##\theta## and ##\theta + \Delta \theta## in the circumferential direction and between z and ##z+\Delta z## in the axial direction. This differential force balance will involve the unit vectors in the r, ##\theta##, and z directions and the derivatives of r with respect to z. For the window shaped panel of film that I have identified, what are

1. The lengths of the edges of the panel
2. The unit vectors within the plane of the film normal to the edges of the panel
 
Can you show your work.
 
Last edited:
  • #10
Raihan amin said:
Can you sbow your work.
No. I'm expecting a response from you on my questions. If you don't understand what I'm asking, I'll be glad to help. But I need to see some effort on your part. That's how we do things on Physics Forums.

Chet
 
  • #11
There is a simpler way of doing this than the method I originally had in mind. Suppose we mathematically cut the film by hypothetical planes at z = 0 (the axial location of minimum radius ##r_0##, half way between the two rings) and the other at arbitrary z. The axial tensile force on the film at z = 0 will be in the negative z direction, and of magnitude ##2T(2\pi r_0)##, where T is the surface tension. What is the magnitude and direction of the axial tensile force on the film at the plane of arbitrary z, in terms of T, r, and the slope dr/dz?
 
  • Like
Likes   Reactions: Raihan amin and TSny
  • #12
T(z)=T(2πr)/[(1+r'²)½]; In the negative z direction.
Is it?
 
Last edited:
  • #13
Raihan amin said:
T(z)=T(2πr)/[(1+r'²)½]; In the negative z direction.
Is it?
Very close. There would be a factor of 2 out front to account for the surface tension at both the inner and outer interfaces of the film with the air; and, for the portion of the film between 0 and z, the tension exerted by the film at ##z^+## on the film at ##z^-## would be in the positive z direction.

So the overall force balance on the portion of the film between 0 and z would be:
$$\frac{2T(2\pi r)}{\sqrt{1+(\frac{dr}{dz})^2}}-2T(2\pi r_0)=0$$or$$\sqrt{1+\left(\frac{dr}{dz}\right)^2}=\frac{r}{r_0}$$
 
  • Like
Likes   Reactions: Raihan amin
  • #14
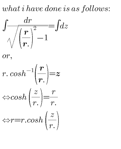
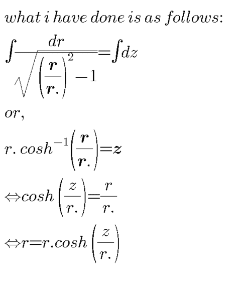
I got it.But it doesn't yield a cosh x like solution.is it?
 
Last edited:
  • #15
Raihan amin said:
I got it.But it doesn't yield a cosh x like solution.is it?
Have you tried to solve the differential equation for r as a function of z. Does ##r=r_0 \cosh(z/r_0)## satisfy the differential equation?
 
  • Like
Likes   Reactions: Delta2
  • #16
Now what to do?
 

Attachments

  • dz.png
    dz.png
    1.8 KB · Views: 699
  • #17
Raihan amin said:
Now what to do?
Look up the integral in a table of integrals.
 
  • #18
No. cosh x is not the solution of avove equation.
 
  • #19
Of course it is.
 
  • #20
How?
 
  • #21
See if the solution I posted in post #15 satisfies the equation.
 
  • Like
Likes   Reactions: Raihan amin
  • #22
OK.then how we will find L• ?
 
  • #23
I think this is correct.Now we have to find L•
 

Attachments

  • r(z).png
    r(z).png
    9.2 KB · Views: 695
  • #24
i just saw this thread
to find l you have to apply boundary conditions
 
  • #25
But we have only one boundary value
 
  • #26
The boundary condition is that at z = L/2 the radius must be 10cm with the centre of the soapbfilm having some ro after certain l there is no solution for ro and hence no film
 
Last edited:
  • #27
Can we find the highest L from that equation only?
 

Attachments

  • l.png
    l.png
    1.3 KB · Views: 485
  • #28
Yes but the form you behave written in seems a bit complicated let 1/r be X if 1/r has to have solution then X have to have solution
 
  • #29
Please carry out
 
  • #30
What
 

Similar threads

  • · Replies 2 ·
Replies
2
Views
2K
  • · Replies 1 ·
Replies
1
Views
2K
  • · Replies 5 ·
Replies
5
Views
2K
Replies
11
Views
3K
  • · Replies 16 ·
Replies
16
Views
7K
Replies
6
Views
3K
  • · Replies 5 ·
Replies
5
Views
5K
  • · Replies 18 ·
Replies
18
Views
2K
  • · Replies 3 ·
Replies
3
Views
20K
Replies
7
Views
2K