The Sub Photon Sphere Escape Game

Click For Summary

Discussion Overview

The discussion revolves around a conceptual game called the Sub Photon Sphere Escape Game, which explores the dynamics of a Player Device attempting to escape a Schwarzschild black hole. Participants propose various strategies and devices for achieving the highest possible score based on the mass that can be saved from falling into the black hole, while considering the effects of the photon sphere and event horizon.

Discussion Character

  • Exploratory
  • Technical explanation
  • Debate/contested

Main Points Raised

  • One participant introduces the game mechanics, describing the Player Device, its triggering mechanism, and the scoring system based on the mass that escapes the black hole.
  • Another participant proposes a device called the "Bowden Bomb," which consists of matter and anti-matter fragments designed to maximize the mass escaping the black hole.
  • Concerns are raised about the effectiveness of launching fragments sideways versus vertically, with some arguing that horizontal components may be more beneficial for escaping the black hole.
  • There is uncertainty regarding the optimal strategy for fragment launch angles and the implications of mass loss when firing vertically versus horizontally.
  • Participants discuss the need for calculations related to the angle of the apparent sky and the momentum balance of the fragments to determine the optimal configuration for the Bowden Bomb.

Areas of Agreement / Disagreement

Participants express differing opinions on the optimal launch strategy for the fragments, with no consensus reached on whether horizontal or vertical launches are more effective. The discussion remains unresolved regarding the best approach to maximize the score.

Contextual Notes

Participants acknowledge limitations in their understanding of the dynamics involved, particularly regarding the effects of redshift and the balance of momentum in fragment launches. There are also unresolved mathematical considerations related to the scoring and mass calculations.

.Scott
Science Advisor
Homework Helper
Messages
4,005
Reaction score
2,041
TL;DR
Merry Christmas - Hope you don't already have one of these.
It's yet another fun thing you can do with Black Holes !!
The Sub Photon Sphere Escape (SPSE) Game

Game Board:Vast Empty Space
Game Pieces:##\space## 1) A large perfect Schwarzschild black hole
##\space## 2) A Carrier/Trigger. This is a massless device that sets the Player Device into a selected position and velocity and then triggers it.
##\space## 3) The Player Device: This is a device of mass ##M## designed by the player. Its operation must be possible in principle.
The Play:##\space## There are 2 levels. At level 1, the Player Device is triggered while it is hovering below the Photon Sphere. At level 2, the Player Device is triggered after it has dropped from infinity into the Photon Sphere.
##\space## 1) The Schwarzschild black hole is placed at the origin of the vast empty space: coordinates 0,0,0.
##\space## 2) A player designs a device of mass ##M## which can be programmed with its starting location and velocity. It can also be "triggered". When triggered, it will attempt to prevent as much of its mass as possible from falling into the Black Hole. In comparison to the mass of the black hole, mass ##M## is insignificant.
##\space## 3) That Player Device is built and programmed with the starting velocity and location (automatically).
##\space## 4) The carrier/trigger brings the Player Device to its starting conditions and triggers it:
## \space \space \space ## ##r_D##: the location 1 to 1.5 specified as the number of Schwarzschild Radii from the origin.
## \space \space \space ## ##v_D##: the starting velocity, either 0 (Level 1: hovering) or minus the vertical escape velocity (Level 2: as if dropped from infinity into the Black Hole).
The Score:##\space## The total mass of all portions of the Player Device that reach the Photon Sphere and either enter a safe orbit or escape the BH entirely is ##M_e##. ##M_e## is tallied and the score is computed as ##S=M_e/M##.
The Goal:##\space## The score ##S## is a function of ##r_D## and ##v_D##. The goal is to demonstrate that a Player Device will generate the highest possible score ##S(r,v)## for all ##1<r<1.5## and ##v≤c##.
Game Levels:##\space## I've only described two game levels - hovering and dropping - both with a Schwarzschild BH. But at least two additional levels can be described - trajectories with horizontal components and black holes with spin. Feel free to play at those levels, but don't expect me to contribute much. I'm still working on Level 1 and 2.
The Reward:##\space## This game demonstrates that, although the Event Horizon is the point of no return, it is not an abrupt boundary where all information is suddenly lost to the outer world. There are points of 20%, 50%, and 99% return. In fact, the event horizon is where the information loss ends - because there is none remaining to loose.
##\space## Also, the information is lost by way of economics. The cost of retrieving the information is more information. Ultimately, as the information approaches the Event Horizon, the cost exceeds any possible payment.
ParametersSymbolUnits
Schwarzschild Radius##r_S##any
Location of event horizon##r_H = 1####r_S##
Location of photon sphere##r_S = 1.5####r_S##
Vertical escape velocity##v_e(r) = r^{-0.5}####c##
Starting location of Player Device##1 \lt r_D \le 1.5####r_S##
Starting velocity of Player Device
##\space \space## Level 1 (hovering)
##\space \space## Level 2 (dropping)

##v_D = 0##
##v_D = -v_e(r_D)##
##c##
Mass of Player Device##M##any
Escaped Mass of Player Device##M_e##any
Score - a function of:
##\space \space## the player device (##P##); and
##\space \space## the starting conditions (##r,v##).
##S(P,r,v) = M_e/M##none
 
Last edited:
Physics news on Phys.org
So here is my attempt at Level 1:

I'll call my device the "Bowden Bomb":

The Bowden Bomb
## \space ## This device is made of equal portions of matter and anti-matter, each in a quantity of ## M/2 ##. When triggered within a photon sphere, it explodes into three "fragments" (or just two when the bottom fragment is specified to be a mass of ## 0 ## or ##M/2##). Fragment A goes up and to the left, fragment B goes up and to the right, and fragment C goes straight down towards the event horizon. All three fragments consist of photons only.

BowdenBomb1.png


## \space ## There is also a 3D version of this that has the same fragment C but sprays the remaining mass into a cone upward. For the purpose of this game, I do not believe the 3D version has any advantages over the 2D (3 co-planar fragments) version.
## \space ## Fragments "A" and "B" are directed to the edge of the apparent "sky" where they become ever aspiring to reach the photon sphere and thus marginally saved from the Black Hole.
## \space ## Fragment "C" is directed downward.
## \space ## The mass of each fragment is determined by the proportions required to balance the momentum and then scaled to yield a total mass of ##M##.
BowdenBomb2.png


## \space ## I believe that fragment "C" and the vertical components of fragments "A" and "B" are lost to the Black Hole. Only the horizontal components are "saved". But I am not certain.

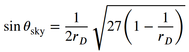
## \space ## Before this device can be programmed, we need to know the angle from vertical of the edges of the apparent sky. My thanks to @George Jones for this one:
## \space ##
SinSkyEquation.png

As described in the OP, ##r_D## is a value from 1 to 1.5 to indicate the "elevation" of the player device. ## \theta_{sky} ## is the angle from vertical. For the device, the entire "sky" will appear to be above this angle. And the event horizon will appear below that angle.

## \space ## This sky angle is also the angle where fragments "A" and "B" will be launched. The masses of both of these fragments will be identical, so Fragment C must be directed exactly downward to balance the momentum. The vertical component of A and B will be ## cos \theta ##. To compute the fragment masses, take mass A=1 and B=1, then compute C (minus the sum of the vertical components of A and B), the scale to ## \frac 1 {2+2cos\theta} ## to bring the total back to ##M##.

## \space ## Here is what the tally looks like:
ChartData.png


## \space ## Finally the Score: I believe what escapes from the BH is only the horizontal components of fragments A and B. That is what is shown in the table above.

Here are plots showing some of the data in that table. In all cases, the ##x##-axis represents the position of the hovering player device - from event horizon to photon sphere:

ChartSinSky.png
ChartSkyAngle.png


ChartFragCMass.png
ChartEscapedMass.png


## \space ## I think for Level 2, all I need to do is treat the "explosion" as a 2-part event. First, arrest the fall of the device, then compute how much additional mass needs to be ejected downward, then once the total downward mass is known, compute what fragments A and B need to be.

## \space ## To be clear, I have not met the goal even for Level 1 because I have no demonstrated that this is an optimal solution.
 
Last edited:
.Scott said:
Fragment A goes up and to the left, fragment B goes up and to the right

Why are you doing this instead of just launching a fragment vertically upward? Any sideways velocity just decreases the amount of mass that can escape.
 
PeterDonis said:
Why are you doing this instead of just launching a fragment vertically upward? Any sideways velocity just decreases the amount of mass that can escape.
I don't know for sure what the optimum strategy is.
But certainly, just before it crosses the photon sphere, firing the fragments to the side saves everything and costs nothing. Since everything is in the form of photons, I don't think it matters how those photons make it to the photon sphere - so it's a matter of lobbing as much up there as possible.

If I fire something vertically up, then I would need to fire a corresponding mass downward - and that would be pure lost mass.

If I fire something closer to vertical than the sky horizon, then it will cleanly cross the photon sphere and probably succeed in carrying more mass - since I suspect it suffer less from red shift. But I think the cost of a vertical fragment outweighs the benefit.

From about ## 1.15 r_S ## to ## 1.5 r_S ## I am succeeding in freeing more than 50% of the mass - unless I am miscalculating.
 
Last edited:
.Scott said:
I don't know for sure what the optimum strategy is.

The optimum strategy is to convert some fraction of the total mass of the object to energy and add that energy as kinetic energy to the rest of the object, directing the rest of the object radially outward. (Unless I'm misunderstanding something about the game; see my comment at the end of this post.)

You might be mistakenly thinking of the region inside the photon sphere as having geometric properties and orbits similar to the region outside. It doesn't. I suggest taking a look at this Insights article of mine:

https://www.physicsforums.com/insights/centrifugal-force-reversal-near-black-hole/

While the article itself discusses the proper acceleration of an object in a circular orbit, the general point it is making about "centrifugal force reversal" applies just as well to objects on free-fall escape trajectories. I think you are not considering the implications of that fact for your game.

Note, btw, that if an object starts from inside the photon sphere, and is required to be in a free-fall trajectory once the initial impulse is applied to it, it is impossible for it to enter a stable orbit outside the photon sphere; that would require a second impulse ("rocket burn") after it gets outside the photon sphere. So the only possibility relevant to your game is escape to infinity.

.Scott said:
everything is in the form of photons

I don't understand what you mean by this. I thought the point was to have an object with nonzero invariant mass ##M## starting from a point below the photon sphere, and to send as large a fraction of that object as possible on an escape trajectory. Where do the photons come in?
 
PeterDonis said:
The optimum strategy is to convert some fraction of the total mass of the object to energy and add that energy as kinetic energy to the rest of the object, directing the rest of the object radially outward. (Unless I'm misunderstanding something about the game; see my comment at the end of this post.)
Okay. It wouldn't surprise me if you play the game better than me.
So all I have to do is compute the vertical "escape velocity" in terms of ##c##, determine the Lorentz mass multiplier for that velocity ##L_e##, then expend ##L_e/(1+L_e)## downward in the form of photons.
PeterDonis said:
You might be mistakenly thinking of the region inside the photon sphere as having geometric properties and orbits similar to the region outside. It doesn't. I suggest taking a look at this Insights article of mine:

https://www.physicsforums.com/insights/centrifugal-force-reversal-near-black-hole/
I thought I was following the rules - but the Math gets into areas that I never use.

PeterDonis said:
While the article itself discusses the proper acceleration of an object in a circular orbit, the general point it is making about "centrifugal force reversal" applies just as well to objects on free-fall escape trajectories. I think you are not considering the implications of that fact for your game.
## \space ## I think the game is OK. But my play is certainly open to challenge.
## \space ## Based on this Physics Forum response (liked by you), I believe that the photon path from sky-to-hovering-device could be reversed. This is the vehicle I am using to escape mass.
## \space ## So I will attempt to compute the score function ##S## for a simple vertical launch. If that turns out to be more efficient than my "bomb", then the issue is over. Otherwise, we would need to find an argument that kills the bomb as a solution. I think we are short of that now.
## \space ## I am concerned about the method I use to compute the "mass" of the photons that escape. The vertical component of the photons is lost on the ascent to the photon sphere, but the horizontal component seems to be unaffected. I think this is a valid and sufficient argument for a tally based directly on the horizontal components. From what I understand, nothing about the geometry from ## r_S < r_D <= 1.5 r_D ## kills this reasoning.

PeterDonis said:
Note, btw, that if an object starts from inside the photon sphere, and is required to be in a free-fall trajectory once the initial impulse is applied to it, it is impossible for it to enter a stable orbit outside the photon sphere; that would require a second impulse ("rocket burn") after it gets outside the photon sphere. So the only possibility relevant to your game is escape to infinity.
It is my presumption that any photon that is successfully lobbed over the photon sphere is home free - it will make it to ## \infty ##.

PeterDonis said:
I don't understand what you mean by this. I thought the point was to have an object with nonzero invariant mass ##M## starting from a point below the photon sphere, and to send as large a fraction of that object as possible on an escape trajectory. Where do the photons come in?
There is no requirement in this game that the device remain "intact". Only that a portion of its mass avoid a collision course with the event horizon. So converting it to 100% photons is fair play. That is why I started it out as a 50/50 combination of matter and anti-matter.
 
.Scott said:
So all I have to do is compute the vertical "escape velocity" in terms of ##c##, determine the Lorentz mass multiplier for that velocity ##L_e##, then expend ##L_e/(1+L_e)## downward in the form of photons.

Ah, I see, you are assuming a photon rocket to maximize the efficiency of converting rest mass into escape kinetic energy. Yes, that's correct.

However...

.Scott said:
It is my presumption that any photon that is successfully lobbed over the photon sphere is home free - it will make it to ## \infty ##.

Now I'm confused again: you're converting all of the rest mass to photons, and some are going out while others are going in?

If that is the case, then it is true that any photon that reaches the photon sphere with a radially outgoing component to its 4-momentum that is nonnegative will escape, yes.

However, I'm not sure that actually makes a difference to my answer. See below.

.Scott said:
There is no requirement in this game that the device remain "intact". Only that a portion of its mass avoid a collision course with the event horizon. So converting it to 100% photons is fair play. That is why I started it out as a 50/50 combination of matter and anti-matter.

Ok, so the game actually includes both possibilities: that the object that escapes is traveling on a timelike geodesic, and that it is traveling on a null geodesic. Then we have to either analyze each case separately, or find an argument for what the optimal solution is that applies to both. See below.

.Scott said:
I am concerned about the method I use to compute the "mass" of the photons that escape. The vertical component of the photons is lost on the ascent to the photon sphere, but the horizontal component seems to be unaffected. I think this is a valid and sufficient argument for a tally based directly on the horizontal components.

No, it isn't.

The correct method to use is energy at infinity. Basically, you have an object that is at some altitude below the photon sphere but above the horizon, with some fixed energy at infinity. The game is to maximize the fraction of that total energy at infinity that escapes back out to infinity.

Note that energy at infinity is not the same as "rest mass at infinity". In fact it will generally be smaller. For example, a test object of rest mass ##m## that is at rest at altitude ##r## will have energy at infinity equal to ##m \sqrt{ 1 - 2 M / r}##, where ##M## is the mass of the hole in geometric units (where ##G = c = 1##). Obviously this is smaller than ##m##, and approaches zero as ##r## approaches ##2M## (the horizon).

There is one important limiting case: if an object of rest mass ##m## free-falls radially inward from rest at infinity, its energy at infinity is ##m## (because it's obviously that at infinity, and energy at infinity is a constant of free-fall motion). But, counterintuitively, for this case the fraction of the energy at infinity that the game player can get to escape is smaller--heuristically, because the extra kinetic energy of its infall, relative to an object at rest at the same altitude, first has to be overcome, and doing that takes energy, and just puts you back to the first case, above, where the object is at rest at the same altitude. In fact, if you think about this argument, you will realize it is telling you that, for an object that starts out with rest mass ##m##, even though its starting energy at infinity is larger in the second case (free-fall from rest at infinity to altitude ##r##) than the first (at rest at the same altitude ##r##), the absolute amount of energy at infinity that can escape back to infinity (not just the fraction) is greater for the first case than the second.

So far everything I have said about energy at infinity applies regardless of the form (timelike object or lightlike object) in which the energy at infinity escapes back to infinity. The question is whether the optimal amount, or the optimal strategy for the game player, differs between the two possible forms (timelike object or lightlike object). I don't have time right now to do the math, but my intuitive guess is that both the optimal amount and the optimal strategy are the same for both cases. My reason for making that guess is that, while there are differences in some details of the properties of null and timelike geodesics, they both share the "centrifugal force reversal" property described in the Insights article of mine that I linked to, and the key aspect of that property is that, inside the photon sphere, any horizontal velocity makes it harder to escape, not easier.

Note also that using energy at infinity already takes into account gravitational redshift of photons; that is really just the photon equivalent of outward velocity gradually decreasing for a timelike object as it increases in altitude. Both result in decreasing kinetic energy as the object rises; it's just that, heuristically, since photons have to move at ##c##, a decrease in their kinetic energy shows up as a decrease in frequency rather than a decrease in speed.
 
I was assuming that this game would demonstrate that there would always be a cost in retrieving something from within the photon sphere. But I no longer think that is the case.

A long photon rocket with the ever-famous black hole tourist Alice sitting in her cabin at the top of the rocket could take a dip below the photon sphere by having the rocket tumble as it grazed the photon sphere.

As the rocket passed by, the center of gravity would remain outside the photon sphere, but the tip of the rocket with Alice would pass below it. As the rocket continued forward, it would continue a slow tumble until it was horizontal with the black hole. Then it would fire up the rocket. The photon exhaust would be escape in one direction and the rocket could be propelled to escape velocity without sacrificing anything to the black hole. In general, electromagnetic effects (such as the chemical bonds in the rocket) can be used to pull things up from below the photon sphere at no cost.
 
.Scott said:
The photon exhaust would be escape in one direction and the rocket could be propelled to escape velocity without sacrificing anything to the black hole.

Escape velocity this close to the hole doesn't work like Newtonian mechanics either. In Newtonian mechanics, an object can have escape velocity in any direction and still escape--even descending, as long as its orbit doesn't intersect the central object.

That's not how it works in GR. In GR, the lower your altitude, the narrower the range of angles around vertically upward you can be traveling at nominal escape velocity and still escape. At any altitude less than ##4M##, traveling at nominal escape velocity horizontally is not sufficient to escape; you need to be going faster. At the photon sphere, escape horizontally is impossible, even for a light ray: it just circles around the hole, and anything slower falls in.

Just above the photon sphere, yes, technically you could do a rocket burn and escape horizontally (and your photon exhaust could escape in the other direction), if you had enough fuel to get close enough to the speed of light (relative to static observers at your location). But just achieving nominal escape velocity (which at the photon sphere is only ##\sqrt{2 /3} \ c##) won't be enough.

You're also assuming that tidal gravity at that altitude is negligible, so that the rocket can be assumed to move as a rigid body to a good enough approximation; that's what allows the internal forces in the rocket to pull up the part that dipped below the photon sphere. That requires a pretty large hole ("pretty large" meaning "quite a few orders of magnitude larger than stellar mass").
 

Similar threads

  • · Replies 1 ·
Replies
1
Views
799
  • · Replies 3 ·
Replies
3
Views
2K
  • · Replies 29 ·
Replies
29
Views
2K
  • · Replies 17 ·
Replies
17
Views
2K
  • · Replies 8 ·
Replies
8
Views
2K
  • · Replies 51 ·
2
Replies
51
Views
3K
  • · Replies 37 ·
2
Replies
37
Views
7K
  • · Replies 7 ·
Replies
7
Views
3K
  • · Replies 1 ·
Replies
1
Views
2K
  • · Replies 43 ·
2
Replies
43
Views
5K