Tricky velocity/time problem without distance

Click For Summary

Homework Help Overview

The problem involves a trip where a person drives at a constant speed of 89.5 km/h, with a 22-minute rest stop, resulting in an average speed of 77.8 km/h. The questions focus on determining the total time spent on the trip and the distance traveled.

Discussion Character

  • Mixed

Approaches and Questions Raised

  • Participants discuss the relationship between average velocity, distance, and time, noting the challenge of having two unknowns. Some express confusion about how to account for the rest period in their calculations.
  • There are attempts to express the total distance and total time in terms of the driving time and rest time, with some participants questioning how to isolate variables in their equations.
  • Several participants suggest defining terms more clearly to facilitate solving the problem, while others explore the implications of having multiple occurrences of the same variable in their equations.

Discussion Status

The discussion is ongoing, with participants actively sharing their thought processes and attempts to manipulate equations. Some guidance has been provided on how to express the variables and set up the equations, but there is no explicit consensus on a final solution yet.

Contextual Notes

Participants note the complexity introduced by the rest period and the need to combine information from different segments of the trip. There are indications of confusion regarding the proper application of formulas and the handling of multiple variables.

PhysicsBoyMan
Messages
33
Reaction score
0

Homework Statement


A person takes a trip, driving with a constant speed of 89.5 km/h, except for a 22-min rest stop. If the person's average speed is 77.8 km/h
a) How much time is spent on the trip?
b) How far does the person travel?

Homework Equations


v1 = 89.5 km/h -> t
v2 = 0 km/h -> 0.37 h
AvgV = 77.8 km/h
a = 0 since speed is constant

The Attempt at a Solution


I have been given formulas throughout my textbook to solve for displacement, velocity, acceleration, and things like this. I will try to briefly show the kind of problems I run into and my thought process in solving this:

I'm looking for x (distance) and t (time) anywhere I can make it work basically.

average v = Δx / Δt I don't have Δx so I can't use this to find t.

v = vo + at I have original velocity but I can't isolate time because a=0.

All of my other equations don't work because they divide by 0, there are 2 unknown variables, or other such problems.

Im starting to wonder about how my "t"s are split into 2 parts in my question (0.37h and unknown) but in my equations there is only one variable t. I don't think my equations will work.

I can average the two velocities out to 89.5 km/h, but I can't figure out how to account for times which would make one velocity count for more than the other.

I tried to input 1h for my unknown t and calculate average velocity just to see if that would help me better understand the problem. I still don't know how to calculate average velocity without x (displacement). And I don't know how to find x with two different time values. I am really stuck!
 
Physics news on Phys.org
PhysicsBoyMan said:

Homework Statement


A person takes a trip, driving with a constant speed of 89.5 km/h, except for a 22-min rest stop. If the person's average speed is 77.8 km/h
a) How much time is spent on the trip?
b) How far does the person travel?

Homework Equations


v1 = 89.5 km/h -> t
v2 = 0 km/h -> 0.37 h
AvgV = 77.8 km/h
a = 0 since speed is constant

average v = Δx / Δt I don't have Δx so I can't use this to find t.

The trip is made up of two legs, driving (1) and resting (2), combining the information from both legs is what you need to do to solve:

xtotal = x1 +x2

ttotal = t1 + t2 = t1 +0.37 h

express x1 in terms of t1 and V1 and then you can solve:

Vaverage = xtotal / ttotal
 
  • Like
Likes   Reactions: PhysicsBoyMan
Hello @PhysicsBoyMan,

Welcome to Physics Forums! :smile:

PhysicsBoyMan said:

Homework Statement


A person takes a trip, driving with a constant speed of 89.5 km/h, except for a 22-min rest stop. If the person's average speed is 77.8 km/h
a) How much time is spent on the trip?
b) How far does the person travel?

Homework Equations


v1 = 89.5 km/h -> t
v2 = 0 km/h -> 0.37 h
AvgV = 77.8 km/h
a = 0 since speed is constant

The Attempt at a Solution


I have been given formulas throughout my textbook to solve for displacement, velocity, acceleration, and things like this. I will try to briefly show the kind of problems I run into and my thought process in solving this:

I'm looking for x (distance) and t (time) anywhere I can make it work basically.

average v = Δx / Δt I don't have Δx so I can't use this to find t.

You'll use that formula, so keep it handy. You'll actually use it twice. But before you do, I suggest defining your terms a little better (see below).

v = vo + at I have original velocity but I can't isolate time because a=0.

Yeah, don't worry about acceleration. It doesn't matter for this problem.

All of my other equations don't work because they divide by 0, there are 2 unknown variables, or other such problems.

Im starting to wonder about how my "t"s are split into 2 parts in my question (0.37h and unknown) but in my equations there is only one variable t. I don't think my equations will work.

Yes, you do need to split something apart. So as part of that split, start defining terms specifically. I suggest something along the lines of the following:

[itex]v:[/itex] velocity while driving.
[itex]v_a:[/itex] average velocity.
[itex]\Delta t:[/itex] driving time.
[itex]\Delta t_r:[/itex] resting time.
[itex]\Delta t_t:[/itex] total time.
[itex]\Delta x:[/itex] distance

Now see if you can simplify, and solve for the driving time, [itex]\Delta t[/itex], as an interim step. (Hint: You'll use your formula a couple of times in the process.)
 
  • Like
Likes   Reactions: PhysicsBoyMan
billy_joule said:
The trip is made up of two legs, driving (1) and resting (2), combining the information from both legs is what you need to do to solve:

xtotal = x1 +x2

ttotal = t1 + t2 = t1 +0.37 h

express x1 in terms of t1 and V1 and then you can solve:

Vaverage = xtotal / ttotal

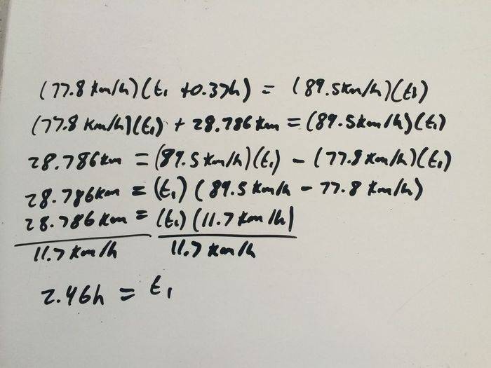
Thanks for the help. I expressed x1 in terms of t and v like you said. I have two occurences of t1. Is that normal? Is this ok so far? I tried to continue this path a few different ways but failed to come up with a single t value.

photo.jpg

upload a picture
 
PhysicsBoyMan said:
Thanks for the help. I expressed x1 in terms of t and v like you said. I have two occurences of t1. Is that normal? Is this ok so far? I tried to continue this path a few different ways but failed to come up with a single t value.

What you have so far is correct.
If you multiply both sides by (t1 + 0.37 h) you'll get:

(77.8km/hr) (t1 + 0.37 h) = (89.5km/hr)(t1)

expand the LHS then solve for t1
 
  • Like
Likes   Reactions: PhysicsBoyMan and collinsmark
I don't know how to isolate one occurrence of t1 when there is multiplication involved. Here are a few methods I tried and failed with. I can't imagine any other possible way.
photo.jpg

click image upload

Can someone please help me finish this it would be useful to learn how to isolate a variable when there are two of the same.
 
PhysicsBoyMan said:
I don't know how to isolate one occurrence of t1 when there is multiplication involved. Here are a few methods I tried and failed with. I can't imagine any other possible way.Can someone please help me finish this it would be useful to learn how to isolate a variable when there are two of the same.
I don't understand your second line. What happened to the +0.37h?
Starting again from the first line, get all terms with a t1 factor on one side of the equation and all terms without it on the other.
 
  • Like
Likes   Reactions: PhysicsBoyMan
haruspex said:
I don't understand your second line. What happened to the +0.37h?
Starting again from the first line, get all terms with a t1 factor on one side of the equation and all terms without it on the other.

What happened to the +0.37h in the second line is that Billy Joule said to expand the LHS and solve for t1, so I multiplied (77.8km/h) (t1+0.37h).

So back to the first line. I tried to get all terms with t1 factor on one side. This attempt is not shown in my picture, but I found that dividing both sides by (t1+0.37h) left me with a t1 divided by a t1 which equals 1 and I lose my t1. So besides dividing, how else can I get both occurrences of t1 to the same side?

In my second method in my picture (bottom blue box), I tried to take the whole right side (89.5km/h)(t1) and subtract that from both sides. That's why it is in square brackets and negative on the LHS. Then I tried to factor out t1 from that.

Then in lines 2 and 3 in the first blue box (I know my work is scattered all over the map) I tried to simply first to see if I would be able to gather t1 terms on the same side later. This did not work.

I tried to divide, I tried to subtract, but I was unable to get both t1 terms on the same side of the equation in the same numerator.
 
I just had a bit of a breakthrough. If I can divide (km/h)(t1) / (km/h)(t1) then I would be left with a single t1 term. Only problem is that my t1 on the LHS is tied up in an addition equation. I tried to expand it by multiplying but someone said I did it the wrong way.
 
  • #10
[itex](77.8km/h)(t1 + 0.37H) ≠ (77.8km/h)(t1)(28.8km/h)[/itex]

Rather: [itex]x(y + z) = xy + xz[/itex]
 
  • Like
Likes   Reactions: PhysicsBoyMan
  • #11
So here is what I did. My answer sheet says that it should be 2.8h. This is the closest I got. I hope the discrepancy is just from leaving out a few decimal places here and there. Is this correct?

image.jpg

photo hosting
 
  • #12
Your solution looks about right to me. There is some error due to rounding (most notably involving the resting time), but that's not enough to explain the entire discrepancy. I think there might be a mistake in the answer sheet.
 
Last edited:
  • #13
collinsmark said:
Your solution looks about right to me. There is some error due to rounding (most notably involving the resting time), but that's not enough to explain the entire discrepancy. I think there might be a mistake in the answer sheet.
The question wording implies the 22 minutes rest is to be counted as part of the trip.
 
  • Like
Likes   Reactions: PhysicsBoyMan
  • #14
haruspex said:
The question wording implies the 22 minutes rest is to be counted as part of the trip.
Right. I'm just saying that 22/60 = 0.37 contains the bulk of the rounding errors. (Not enough to explain the discrepancy with the answer sheet though.)

[Edit: Oh, wait. I get it. Add in the 22/60 hours to the traveling time to get the total trip time. That comes out to around 2.8 hours, yes. Nevermind.]
 
  • Like
Likes   Reactions: PhysicsBoyMan

Similar threads

Replies
5
Views
3K
Replies
5
Views
2K
  • · Replies 5 ·
Replies
5
Views
3K
  • · Replies 9 ·
Replies
9
Views
2K
  • · Replies 21 ·
Replies
21
Views
1K
  • · Replies 9 ·
Replies
9
Views
2K
Replies
1
Views
3K
Replies
8
Views
1K
  • · Replies 11 ·
Replies
11
Views
2K
  • · Replies 7 ·
Replies
7
Views
2K