What is pressure accourding to Bernoulli's theorem?

Click For Summary

Discussion Overview

The discussion centers around the concept of pressure as described by Bernoulli's theorem, exploring its nature in relation to potential and kinetic energy, particularly in the context of gases and liquids. Participants seek to clarify the meaning of pressure energy and its implications in fluid mechanics.

Discussion Character

  • Exploratory
  • Technical explanation
  • Conceptual clarification
  • Debate/contested

Main Points Raised

  • Some participants propose that pressure in gases arises from the momentum transfer of molecules colliding with each other and container walls.
  • Others suggest that pressure energy in liquids differs from that in gases, with the former being likened to mechanical energy in a compressed spring.
  • A participant questions the necessity of gravitational potential energy for pressure changes, indicating a need for further explanation.
  • Some participants note that Bernoulli's theorem applies to incompressible fluids, while acknowledging a compressible version exists.
  • There is a discussion about the term "pressure energy," with some participants seeking a precise definition and others noting its use as a synonym for flow work.
  • A later reply references a source for the compressible version of Bernoulli's equation, suggesting further reading.

Areas of Agreement / Disagreement

Participants express varying levels of understanding regarding the concept of pressure energy, with no consensus on its definition or implications. The discussion remains unresolved, with multiple competing views on the nature of pressure in different fluids.

Contextual Notes

Some participants highlight limitations in understanding the relationship between pressure energy and other forms of energy, as well as the specific conditions under which Bernoulli's theorem applies.

  • #31
Chestermiller said:
The fluid mechanics textbooks we engineers us have no such defonition.
Interesting. Maybe that's for books on hydrodynamics of liquids (water), where you can assume incompressibility, but I'm sure that you need an equation of state and the fact that ideal fluid-flow is adiabatic to close the equations.

In relativistic fluid dynamics the usual derivation is via the energy-momentum-stress tensor for ideal fluid dynamics and energy-momentum conservation. If I think about it, that's an approach which is even easier to understand than the usual way used in non-relativistic fluid-dynamics textbooks, how and where the enthalpy and internal energy enter the equations. The ideal-fluid ems tensor is easily derived. Consider a fluid cell. In the local rest frame of this cell you have
$$\bar{T}^{\mu \nu}=\mathrm{diag}(\epsilon,P,P,P),$$
where ##\epsilon## is the internal-energy density and ##P## the pressure of the gas. For an arbitrary frame you get the tensor components by introducing the fluid-four-velocity vector (I use units with ##c=1## to save some work), which in the local rest frame is
$$\bar{u}^{\mu}=(1,0,0,0).$$
In this way we get
$$T^{\mu \nu} = (\epsilon+P) u^{\mu} u^{\nu}-P \eta^{\mu \nu}$$
with the Minkowski pseduo-metric tensor ##\eta^{\mu \nu}=\mathrm{diag}(1,-1,-1,-1)##. Note that ##\epsilon## and ##P## are still defined as their values in the local rest frame. This has the advantage that they are all Lorentz scalar fields.

If you now apply energy-momentum conservation (not considering external forces) you get the energy-balance and the relativistic version of the ideal-fluid Euler equation
$$\partial_{\mu} T^{\mu \nu}=0.$$
Now we have to introduce some conserved particle-number like quantity. In relativistic plasma physics one usually uses the electric charge in relativistic heavy-ion collisions the net-baryon number (i.e., the quantity (number of baryons) minus (number of antibaryons), which is conserved under the strong interaction). Then we have the continuity equation
$$\partial_{\mu} (n u^{\mathrm{\mu}})=0,$$
where ##n## is the electric-charge or net-baryon-number density in the local restframe of the fluid cell. Note that we here tacitly assume that the net-charge flow and the energy-momentum flow are both determined by the same four-velocity ##u^{\mu}##. That's also only true for ideal fluids. For non-ideal (viscous) fluids you have to distinguish these four-velocities, and it's a matter of the physical situation which you define as the fluid four-velocity. If you use the energy-momentum flow velocity it's called the Landau framework if you choose a conserved-charge flow it's the Eckart framework. But here let's stick to the ideal fluid, where all the flow velocities are the same.

Then you can write the thermodynamic identities which are for a fixed quantity of substance for the enthalpy (because that's the quantity ##h=\epsilon+p## which occurs in the ideal-fluid ems-tensor above)
$$\mathrm{d}(h/n)=T \mathrm{d}(s/n) + \frac{1}{n} \mathrm{d} P.$$
Here ##s## is the entropy density (as measured in the local restframe of the fluid, i.e., a Lorentz scalar field again) and ##T## the temperature (also measured in the local fluid restframe and thus a scalar).

Writing out the equation for energy-momentum conservation,
$$\partial_{\mu} T^{\mu \nu}= u_{\nu} \partial_{\mu}(h u^{\mu}) + h u^{\mu} \partial_{\mu} u^{\nu} + \partial^{\nu} P=0.$$
Multiplying with ##u^{\mu}## (with the Einstein summation convention effective) we find
$$\partial_{\mu}(h u^{\mu})-u^{\mu} \partial_{\mu} P=0,$$
where we have used ##u_{\nu} u^{\nu}=1##, i.e., ##u_{\nu} \partial_{\mu} u^{\nu}=0##.

Using in the above equation ##h=n (h/n)## and also the continuity equation ##\partial_{\mu} (n u^{\mu})=0## we get
$$u^{\mu} \left (\partial_{\mu}(h/n)-\frac{1}{n} \partial_{\mu}P \right)=0.$$
Using the above thermodynamic relation, we can write this equation as
$$u^{\mu} \partial_{\mu} (s/n)=0,$$
i.e., indeed the entropy per charge is conserved along the stream-worldlines, and this means the fluid flow is adiabatic.
 
  • Like
Likes   Reactions: Marc Rindermann and weirdoguy
Physics news on Phys.org
  • #32
vanhees71 said:
Interesting. Maybe that's for books on hydrodynamics of liquids (water), where you can assume incompressibility, but I'm sure that you need an equation of state and the fact that ideal fluid-flow is adiabatic to close the equations.
Are you saying that I can't solve the flow and heat transfer equations for an ideal inviscid gas being heated or cooled (not adiabatic) in a tube?
 
  • #33
As soon as you have transport phenomena, it's no more an ideal fluid. Of course, you can solve the above mentioned problems, but it's no longer ideal fluid dynamics. You have to introduce new quantities, the transfport coefficients. The usual treatment is to start from kinetic theory and to a systematic moment expansion. In leading order (first order in gradients) you get the shear and buld viscosities related to momentum transport and heat conductivity etc.
 
  • #34
vanhees71 said:
As soon as you have transport phenomena, it's no more an ideal fluid. Of course, you can solve the above mentioned problems, but it's no longer ideal fluid dynamics. You have to introduce new quantities, the transfport coefficients. The usual treatment is to start from kinetic theory and to a systematic moment expansion. In leading order (first order in gradients) you get the shear and buld viscosities related to momentum transport and heat conductivity etc.
So, if I have steady state flow and heat transfer to a gas flowing through a tube (where the wall temperature is different from the inlet temperature), it would be a no-no to treat it as an ideal gas with zero viscosity, but with non-zero thermal conductivity because it would (a) be poorly defined mathematically, be a bad approximation, or (c) not be conforming to the precise definition of what physicists call an "ideal fluid."
 
  • #35
This is an interesting discussion for sure. Most sources I have available to me would say that an ideal fluid is one that is inviscid and incompressible and they make no mention of a requirement of adiabaticity. However, I also know that, from Crocco's theorem in a steady flow,
[tex]T\nabla s = \nabla h_0 - \vec{v}\times\vec{\zeta},[/tex]
a diabatic flow should have a total enthalpy gradient, which introduces vorticity, which in turn means the flow is no longer irrotational. So, if you consider irrotationality to be an important consideration (i.e., do you feel that an ideal flow should admit a potential function?), then it would seemingly need to be adiabatic.

Bernoulli's equation also technically requires the flow to be adiabatic. If you look at the energy equation for a steady, incompressible flow with zero heat conduction or generation and zero shaft work, then the energy entering/leaving a control volume through the control surfaces is
[tex]0 = \oint\limits_{CS}\rho\left(e+\dfrac{U^2}{2} + \dfrac{p}{\rho} + gz\right)\vec{U}\cdot\hat{n}\;dA.[/tex]
If you treat the CV as a streamtube so that you have a single inlet and single exit, you can use the energy equation in this way to derive Bernoulli's equation. You simply need a way to eliminate changes in internal energy, and in this case, this implies the flow must be incompressible and adiabatic. I obviously skipped a lot of steps there, but hopefully it is at least emblematic of the problems applying Bernoulli's equation to a flow with heat transfer.

Oddly enough, I have a PF Insight I was working on that would cover this topic and I left it around 75% finished and got too busy with work to finish it yet.
 
  • #36
boneh3ad said:
This is an interesting discussion for sure. Most sources I have available to me would say that an ideal fluid is one that is inviscid and incompressible and they make no mention of a requirement of adiabaticity. However, I also know that, from Crocco's theorem in a steady flow,
[tex]T\nabla s = \nabla h_0 - \vec{v}\times\vec{\zeta},[/tex]
a diabatic flow should have a total enthalpy gradient, which introduces vorticity, which in turn means the flow is no longer irrotational. So, if you consider irrotationality to be an important consideration (i.e., do you feel that an ideal flow should admit a potential function?), then it would seemingly need to be adiabatic.

Bernoulli's equation also technically requires the flow to be adiabatic. If you look at the energy equation for a steady, incompressible flow with zero heat conduction or generation and zero shaft work, then the energy entering/leaving a control volume through the control surfaces is
[tex]0 = \oint\limits_{CS}\rho\left(e+\dfrac{U^2}{2} + \dfrac{p}{\rho} + gz\right)\vec{U}\cdot\hat{n}\;dA.[/tex]
If you treat the CV as a streamtube so that you have a single inlet and single exit, you can use the energy equation in this way to derive Bernoulli's equation. You simply need a way to eliminate changes in internal energy, and in this case, this implies the flow must be incompressible and adiabatic. I obviously skipped a lot of steps there, but hopefully it is at least emblematic of the problems applying Bernoulli's equation to a flow with heat transfer.

Oddly enough, I have a PF Insight I was working on that would cover this topic and I left it around 75% finished and got too busy with work to finish it yet.
Irrespective of whether the flow is adiabatic, if I take the dot product of the velocity vector with the incompressible steady state Euler equation, I obtain:
$$\mathbf{v}\centerdot \nabla \left[\rho \frac{v^2}{2}+p+\rho g z\right]=0$$This means that, along all streamlines,
$$\left[\rho \frac{v^2}{2}+p+\rho g z\right]=const$$

For a compressible fluid, the corresponding relationship is:
$$\mathbf{v}\centerdot \nabla \left[\frac{1}{2}v^2+gz\right]+\frac{1}{\rho}\mathbf{v}\centerdot \nabla p=0$$So, along a streamline, $$d\left[\frac{1}{2}v^2+gz\right]+\frac{1}{\rho}dp=0$$This is the same relationship given by Bird, Stewart, and Lightfoot in their book Transport Phenomena, with no restriction with regard to the flow being adiabatic.
 
Last edited:
  • #37
FactChecker said:
PS. It always surprises me how high the average velocity of a molecule in the atmosphere is. "For typical air at room conditions, the average molecule is moving at about 500 m/s (close to 1000 miles per hour)." (from https://pages.mtu.edu/~suits/SpeedofSound.html )

FactChecker, you are confusing the speed of a molecule along its true path with the speed with which it moves toward a pressure sensor. The latter is a single axial speed measured normal to and toward the sensor. Strangely enough, it just happens to be exactly half of the true path speed.

For an atmospheric pressure of 105 pascals, a vapor pressure of 103 pascals, a system temperature of 25°C, no wind, and no changes of phase: there will be some 2.89 x 1027 molecular impacts per square meter of sensing surface per second and a mean impulse transferred per impact of 3.52 x 10-23 Newtons. The product of the flux and the impulse equals the pressure. The mean axial speed with which the molecules approach the sensor is 234 meters per second, the mean speed with which they impact the surface is 367 meters per second, the mean speed of sound in that humid air is 347 meters per second.

The reason why the speed of impact is so much greater than the speed of passage is that the faster a molecule travels, the higher the probability of that molecule striking a surface, population numbers being the same.
 
  • #38
klimatos said:
FactChecker, you are confusing the speed of a molecule along its true path with the speed with which it moves toward a pressure sensor.
You are reading more into my postscript than I wrote. It's only a statement about the average velocity, nothing more. I think the average speed is startling. I didn't mean to relate it to other facts.
 
Last edited:
  • #39
Chestermiller said:
So, what is the point of this? Can you identify the mechanistic reason why the valve gets cold when gas is coming out?

It's meant to be a demonstration about how liquid and gas are different, from the energy perspective.

I will not tell the mechanical reason, I might get it wrong. Instead I say that the gas container with the open valve is a rocket, and a rocket is a heat engine, and a heat engine converts thermal energy to mechanical energy.
 
  • #40
Chestermiller said:
So, if I have steady state flow and heat transfer to a gas flowing through a tube (where the wall temperature is different from the inlet temperature), it would be a no-no to treat it as an ideal gas with zero viscosity, but with non-zero thermal conductivity because it would (a) be poorly defined mathematically, be a bad approximation, or (c) not be conforming to the precise definition of what physicists call an "ideal fluid."
I think it's (c). I don't know, whether there is a contradiction in neglecting viscosity but include thermal conductivity.
 
  • #41
Chestermiller said:
Irrespective of whether the flow is adiabatic, if I take the dot product of the velocity vector with the incompressible steady state Euler equation, I obtain:
$$\mathbf{v}\centerdot \nabla \left[\rho \frac{v^2}{2}+p+\rho g z\right]=0$$This means that, along all streamlines,
$$\left[\rho \frac{v^2}{2}+p+\rho g z\right]=const$$

For a compressible fluid, the corresponding relationship is:
$$\mathbf{v}\centerdot \nabla \left[\frac{1}{2}v^2+gz\right]+\frac{1}{\rho}\mathbf{v}\centerdot \nabla p=0$$So, along a streamline, $$d\left[\frac{1}{2}v^2+gz\right]+\frac{1}{\rho}dp=0$$This is the same relationship given by Bird, Stewart, and Lightfoot in their book Transport Phenomena, with no restriction with regard to the flow being adiabatic.
Of course this is a correct equation, and it doesn't contradict what I wrote in #23. I've never heard that the flow of ideal fluids can be non-adiabatic. The very definition of ideal fluids (i.e., no friction/viscosity and no heat conduction) makes their flow adiabatic. In terms of kinetic theory it's the limit of 0 mean-free path and 0 relaxation time, i.e., the fluid is always in local thermal equilibrium and thus no entropy is produced.

Perhaps there are different definitions of what you call an "ideal fluid" in engineering than in physics, although it's hard to believe that. Maybe you can give me your definition of an ideal fluid (i.e., which complete set of equations do you consider to describe an ideal fluid). Maybe then one can derive that the flow is adiabatic or one can see which additional assumptions physicists maybe make to derive that the flow is adiabatic.
 
  • #42
vanhees71 said:
Of course this is a correct equation, and it doesn't contradict what I wrote in #23. I've never heard that the flow of ideal fluids can be non-adiabatic. The very definition of ideal fluids (i.e., no friction/viscosity and no heat conduction) makes their flow adiabatic. In terms of kinetic theory it's the limit of 0 mean-free path and 0 relaxation time, i.e., the fluid is always in local thermal equilibrium and thus no entropy is produced.

Perhaps there are different definitions of what you call an "ideal fluid" in engineering than in physics, although it's hard to believe that. Maybe you can give me your definition of an ideal fluid (i.e., which complete set of equations do you consider to describe an ideal fluid). Maybe then one can derive that the flow is adiabatic or one can see which additional assumptions physicists maybe make to derive that the flow is adiabatic.
I remember them covering inviscid fluids, plug flow, and ideal gases, but never "ideal fluids." I just assumed that an ideal fluid was a term Physicists use for inviscid fluids. In the case of ideal gases, our definition had heat capacities that were functions of temperature, which is the limit of real gas behavior at low pressures.

There were other differences. In thermodynamics, Physicists call closed systems what we engineers refer to as isolated systems; in engineering, a closed system is one that exchanges no mass with its surroundings, but can exchange heat and work.

Welcome to the Tower of Babel.
 
  • Like
Likes   Reactions: Demystifier
  • #43
Ok, I see. But again, I think that the term "ideal fluid" (where fluid subsumes liquids, which are approximately incompressible and gases, which are not) implies that the flow is considered adiabatic.

An ideal gas is by definition an ideal fluid, i.e., it is considered to be instantaneously in local thermal equilibrium, i.e., its phase-space distribution function is always of the form (neglecting quantum statistics)
$$f(t,\vec{r},\vec{p}=\exp[-[((\vec{p}-m \vec{v}(t,\vec{r})^2/(2m)-\mu(t,\vec{r}))]/(T(t,\vec{r}))].$$
Plugging this into the Boltzmann equation leads to the vanishing of the collision term, and this also holds for the entropy-balance equation, which implies that entropy is conserved.

It is further clear that an ideal fluid is inviscid (no friction, i.e., no dissipation of momentum) and not heat conducting (no dissipation of energy).

To be sure that there's not a difference in the usual meaning of "ideal fluid" between physicists and engineers, I'd need to know what the engineers take as the full set of equations to define what an "ideal fluid" is. Of course, it's always an approximation with a limited range of applicability since real fluids (liquids or gases) are never fully ideal, but often one can approximate their flow as ideal.
 
  • #44
vanhees71 said:
Ok, I see. But again, I think that the term "ideal fluid" (where fluid subsumes liquids, which are approximately incompressible and gases, which are not) implies that the flow is considered adiabatic.

An ideal gas is by definition an ideal fluid,
I find this very puzzling. Are you saying that any process experienced by an ideal gas must be considered adiabatic? Maybe we have an issue with the term "adiabatic." To me, a process is adiabatic if there is no heat transfer across the interface between the gas and its surroundings during the process. Does the term adiabatic somehow mean something different to a Physicist.

In thermodynamics, when we have a closed system with negligible changes in macroscopic kinetic energy and gravitational potential energy, we express the first law of thermodynamics as $$\Delta U=Q-W$$where Q is the heat transferred across the interface between the system its surroundings during the process, and W is the work done at the interface. Are you saying that, if the system consists of an ideal gas, irrespective of the actual process, Q must always be taken as zero? Is there no way of transferring heat to an ideal gas?
 
  • #45
A fluid flow is adiabatic when the entropy is conserved (along streamlines). An ideal flow is automatically adiabatic in this sense by assumption, because there's no friction and no heat transfer (by assumption). I'm very surprised that this is not well-known in the engineering community. In fact, I've listened to a fluid dynamics lecture by an engineer, and I just could dig out the manuscript of this lecture. There the adiabaticity of ideal-fluid flows is also clearly stated (I have to still figure out from which assumptions it's derived since this is spread over several chapters).
 
  • #46
Yes, I think this is all just different definitions of the term "ideal". If we stop using the word "ideal" and instead just list the assumptions, doesn't that clear it up?

Does everyone agree that the standard form of Bernoulli's equation with a constant sum of static, dynamic and gravitational potential energy/pressure terms assumes the system is adiabatic?

And does everyone agree that you can take that equation and simply add externally applied work or heat transfer to it to use it in real world situations? I wouldn't call it "the standard form of Bernoulli's equation" anymore, but using it that way is a totally normal thing, right?

For an HVAC system, for example, you essentially have two infinite fluid reservoirs (with zero airflow), work in from a fan to provide airflow energy, and then all of that energy lost as heat:

Win = P + 1/2 ρ V2 = Hout

That describes the fan work, the flow just after the fan, and the heat rejected into the room. If it is significant for the needs of the situation, you can even calculate how the volumetric airflow rate changes with temperature, as you heat the air (and it sometimes is).
 
  • #47
I'm not sure that the equation with ##W_{\text{in}}## should say, but everything else for me is completely standard fluid dynamics.
 
  • #48
russ_watters said:
Yes, I think this is all just different definitions of the term "ideal". If we stop using the word "ideal" and instead just list the assumptions, doesn't that clear it up?

Does everyone agree that the standard form of Bernoulli's equation with a constant sum of static, dynamic and gravitational potential energy/pressure terms assumes the system is adiabatic?
I don't. To me, adiabatic means that no heat is transferred between the system and its surroundings. The Bernoulli equation is just the dot product of the velocity vector with the Euler (inviscid fluid) equation. So it assumes zero viscosity for the fluid, but makes no assumptions regarding heat transfer. So it will apply irrespective of the heat transfer (provided the viscosity is negligible).
And does everyone agree that you can take that equation and simply add externally applied work or heat transfer to it to use it in real world situations? I wouldn't call it "the standard form of Bernoulli's equation" anymore, but using it that way is a totally normal thing, right?
The reason that you can simply add externally applied heat transfer is that there is no restriction on the heat transfer to begin with. So it would still be the standard form of the Bernoulli equation. I agree with the part about work, however.
For an HVAC system, for example, you essentially have two infinite fluid reservoirs (with zero airflow), work in from a fan to provide airflow energy, and then all of that energy lost as heat:

Win = P + 1/2 ρ V2 = Hout

That describes the fan work, the flow just after the fan, and the heat rejected into the room. If it is significant for the needs of the situation, you can even calculate how the volumetric airflow rate changes with temperature, as you heat the air (and it sometimes is).
I'm not sure I fully understand this, but if Hout represents the change in enthalpy of the airflow, then I agree about the part involving Win and Hout (assuming the duct is adiabatic). The middle expression is a little harder to see, although I think it has something to do with the pressure and the kinetic energy of the flow inside the duct.
 
  • #49
vanhees71 said:
I'm not sure that the equation with ##W_{\text{in}}## should say, but everything else for me is completely standard fluid dynamics.
...er, actually I didnt put everything into the same units, so it's unfinished the way I wrote it. Regardless;

The work in is the work done by the fan. The middle expression describes the airflow in the duct just after the fan. The third is heat output since all of the airflow energy winds up as heat.

Depending on exactly what information I have and want to find, I'll use certain parts of it. For example, I may be given the airflow and static pressure after the fan and use it to find the heat dissipated.
 
Last edited:
  • #50
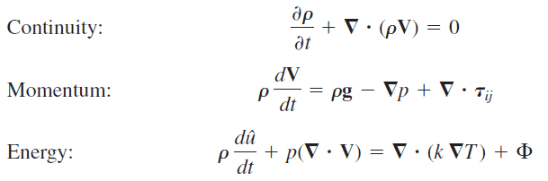
For the record, Munson defines an ideal fluid as inviscid and incompressible. So does Nakayama. Durst only requires an ideal fluid to be inviscid.

I don't know that it is right to say the Euler equation requires the fluid to be adiabatic, as it is simply a momentum balance for a flowing inviscid fluid. Why would you consider heat transfer when doing a momentum balance? Of course a complete description of a general flow will necessarily account for any heat transfer, so that the flow parameters will be coupled through continuity, momentum and energy equations (and an entropy equation of course). In undergraduate mechanical engineering fluids courses, we usually use some form of the three in the image below (from White) as the "complete description" of flows, with further simplifications starting from these.

4Emy88F.png


With an inviscid flow the last term of the momentum balance (and also the energy balance) is zero, yielding Euler's equation. (The differential of the velocity is the total derivative.)
 

Attachments

  • 4Emy88F.png
    4Emy88F.png
    6.7 KB · Views: 1,437
Last edited:
  • Like
Likes   Reactions: Chestermiller
  • #51
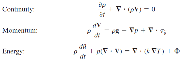
mfig said:
For the record, Munson defines an ideal fluid as inviscid and incompressible. So does Nakayama. Durst only requires the fluid to be inviscid.

I don't know the it is right to say that the Euler equation requires the fluid to be adiabatic, as it is simply a momentum balance for a flowing inviscid fluid. Why would you consider heat transfer when doing a momentum balance? Of course a complete description of the flow will necessarily account for any heat transfer, so that the flow parameters will be coupled through continuity, momentum and energy equations (and an entropy equatoin of course).
If the fluid is inviscid, the coupling of the momentum balance (and Bernoulli equation - the mechanical energy equation )with the heat balance is only through the effect on density. Of course, for an incompressible fluid, there is no coupling at all.
In undergraduate mechanical engineering fluids courses, we usually use some form of the three in the image below (from White) as the "complete description" of flows.

View attachment 229986

With an inviscid flow the last term of the momentum balance (and also the energy balance) is zero, yielding Euler's equation. (The differential of the velocity is the total.)

I totally agree with what you are saying here; it is basically what I have been saying all along, although you have presented it much more elegantly.
 
  • Like
Likes   Reactions: mfig
  • #52
mfig said:
For the record, Munson defines an ideal fluid as inviscid and incompressible. So does Nakayama. Durst only requires an ideal fluid to be inviscid.

I don't know that it is right to say the Euler equation requires the fluid to be adiabatic, as it is simply a momentum balance for a flowing inviscid fluid. Why would you consider heat transfer when doing a momentum balance? Of course a complete description of a general flow will necessarily account for any heat transfer, so that the flow parameters will be coupled through continuity, momentum and energy equations (and an entropy equation of course). In undergraduate mechanical engineering fluids courses, we usually use some form of the three in the image below (from White) as the "complete description" of flows, with further simplifications starting from these.

View attachment 229986

With an inviscid flow the last term of the momentum balance (and also the energy balance) is zero, yielding Euler's equation. (The differential of the velocity is the total derivative.)
Well, I've seen this discrepancy too in the German textbook literature. Some define an ideal fluid to be inviscit and incompressible. Of course, if you assume incompressibility you don't need an equation of state.

When I learned hydrodynamics the first time, I attended a lecture given by an engineering professor (Kolumban Hutter at TU Darmstadt). He defined an ideal fluid to be inviscid but not necessarily incompressible. Then, of course, you need an equation of state, and he also defined an ideal fluid as one where not only friction but also heat conductance can be neglected. Then the flow is adiabatic or equivalently isentropic.

In my community (relativistic heavy-ion collisions) we use a lot of relativistic hydrodynamics to describe the evolution of the fireball created in the collisions. In this community an ideal fluid by definition has no friction nor heat conductivity, i.e., the flow is adiabatic. For a better description of course we need viscous hydro with shear (and sometimes also bulk) viscosity. Of course in relativistic viscous hydro you have to work at at least 2nd order in the moment expansion, because first order (Navier Stokes) leads to acausalities, as is well known for decades.

Usually hydrodynamics is derived as a limit of the Boltzmann equation, where the fluid is close to local thermal equilibrium and relaxation times (or equilibration times) are small compared to the typical macroscopic time scales of the fluid. The ideal-fluid limit is the limit, where you neglect all relaxation times completely, i.e., the fluid is considered to be instantly in local thermal equilibrium all the time, and then it's clear from the very foundations that there is neither friction nor heat conduction and thus the flow is autormatically adiabatic/isentropic.

I think, this debate is just about semantics. So we have to be more careful in defining what we mean with our definitions (in this case what we precisely understand under an "ideal fluid"). The only way is of course to give a complete set of equations stating clearly all assumptions.
 
  • #53
Its velocity increases because its pressure was suddenly released. This accounts for both principles.

When water is forced into a smaller tube (a nozzle), the pressure increases and the velocity decreases due to the particles colliding more and more. It like two people trying to run through a door way. They don’t both fit even if you have a lot of pressure. The same happens here. When they reach the end of the nozzle, the pressure is gone because they are released to do whatever. They speed up.
 

Similar threads

  • · Replies 6 ·
Replies
6
Views
2K
  • · Replies 21 ·
Replies
21
Views
3K
  • · Replies 20 ·
Replies
20
Views
4K
  • · Replies 1 ·
Replies
1
Views
2K
  • · Replies 14 ·
Replies
14
Views
2K
  • · Replies 4 ·
Replies
4
Views
2K
  • · Replies 9 ·
Replies
9
Views
4K
  • · Replies 17 ·
Replies
17
Views
2K
  • · Replies 48 ·
2
Replies
48
Views
6K
  • · Replies 11 ·
Replies
11
Views
2K