What is the most useful method to solve differential equations?

Click For Summary

Discussion Overview

The discussion centers around the various methods for solving differential equations, exploring personal preferences, effectiveness, and the applicability of different techniques. Participants share their experiences and opinions on methods ranging from Laplace transformations to numerical approaches.

Discussion Character

  • Debate/contested
  • Exploratory
  • Technical explanation

Main Points Raised

  • Some participants express a preference for Laplace transformations, noting their effectiveness for first and second order differential equations.
  • Others humorously suggest that delegating the problem to someone else is a viable method, emphasizing teamwork.
  • One participant points out that no single method applies universally to all differential equations, highlighting the limitations of the Laplace transform method to linear equations with constant coefficients.
  • There are mentions of alternative methods such as the characteristic equation, variation of parameters, and undetermined coefficients as potentially more suitable for certain types of equations.
  • Some participants discuss using AI tools like Mathematica for assistance, alongside traditional methods like consulting textbooks.
  • A participant introduces the idea of assuming a solution form as a method, referring to it as "the method of guessing," and critiques the framing of differential equations as solvable subjects.
  • The method of Frobenius is mentioned as a useful technique, particularly for its accuracy in validating numerical simulations.
  • For partial differential equations, the method of characteristics is noted as particularly useful for first order equations.

Areas of Agreement / Disagreement

Participants do not reach a consensus on a single best method for solving differential equations, with multiple competing views and methods presented throughout the discussion.

Contextual Notes

Some methods discussed are limited to specific types of differential equations, and the effectiveness of various approaches may depend on the context of the problem being addressed.

Anonymous_
Messages
10
Reaction score
1
TL;DR
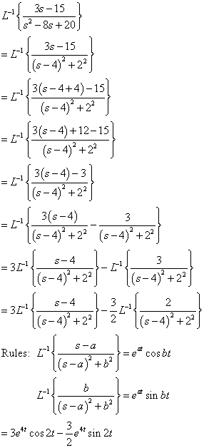
I really love Laplace transformations. I was able to solve first and second order differential equations easily while having fun. I’m not so sure why but it just came to me naturally.
What is yours?
 
Physics news on Phys.org
Anonymous_ said:
Summary:: I really love Laplace transformations. I was able to solve first and second order differential equations easily while having fun. I’m not so sure why but it just came to me naturally.

What is yours?
 

Attachments

  • 90839C95-9B1E-4FD3-BE2C-4C47E932114A.png
    90839C95-9B1E-4FD3-BE2C-4C47E932114A.png
    3.2 KB · Views: 509
The best is to hand it to someone else to solve. :-)
 
  • Like
  • Haha
Likes   Reactions: member 587159, Auto-Didact, Schwann and 2 others
jedishrfu said:
The best is to hand it to someone else to solve. :-)
I call it teamwork: Others do the work, I take the credit ;).
 
  • Like
  • Informative
Likes   Reactions: Auto-Didact and jedishrfu
jedishrfu said:
The best is to hand it to someone else to solve. :-)
Isn't that what this forum is for?
Anonymous, there is no one method that will apply to all differential equations. Even the Laplace transform method only applies to linear differential equations with constant coefficients. And I think there are other methods (characteristic equation for the associated homogeneous equation, "variation of parameters" or "undetermined coefficients") for those that work better than Laplace transform.
 
  • Like
Likes   Reactions: chwala, jasonRF and jedishrfu
Popular method is "ask AI friend for help". Mathematica is knowledgeable and willing to help
 
  • Like
Likes   Reactions: jasonRF
MATHEMATICA
 
zoki85 said:
Popular method is "ask AI friend for help". Mathematica is knowledgeable and willing to help
A related technique is looking it up in a book. This was a go-to method in graduate school many years ago - how else would I know the solution was a parabolic cylinder function, or some other uncommon beast?
 
  • Like
Likes   Reactions: jedishrfu
What is the most useful method to solve differential equations?

Assume a solution of the form...
 
  • Haha
Likes   Reactions: DaveE
  • #10
Vanadium 50 said:
Assume a solution of the form...

In other words: know the answer. At least in rough outline, then you can hammer the rough form into an exact fit.

I have often thought that presenting differential equations as a 'subject' that has 'methods' of 'solving' is a bit of a fraud.
The same thing for that matter for simple integration of functions.

That sometimes books are more honest, perhaps this is intentional by the authors, when excercises say "find solutions" rather than "solve".

I think if I were teaching to people not mathematicians but heavy maths users like engineers, chemists etc. I would follow any equation of the subject of interest with the solution, which the students can verify by differentiation, which is a genuine subject they should have learned (and which by the way we are continually telling them to do when they come here asking whether their solutions are correct) instead of pretending to 'solve' it. And advise them to do the same in their reading or studying their subject.

hide.gif
 
  • #11
Vanadium 50 said:
Assume a solution of the form...
I had a professor that called this "the method of guessing." So that is what I usually call it.
 
  • #12
Back to the OP, the method of Frobenius is pretty nice. I recall it being tedious when I learned it, but (25 years after taking the class!) actually had a need to use it for my work fairly recently and thought it was kind of fun. It allowed me to compute the solution of a "simple" problem to any accuracy I wanted, so that I could use it as a test case to validate a numerical simulation I will be using to solve problems that are impossible to solve analytically.
 
  • #13
For partial differential equation there is '' the method of characteristics ''. It is very useful (typically it applies to first order equations).

Ssnow
 
  • Like
Likes   Reactions: jasonRF

Similar threads

  • · Replies 3 ·
Replies
3
Views
2K
  • · Replies 2 ·
Replies
2
Views
3K
  • · Replies 2 ·
Replies
2
Views
2K
  • · Replies 2 ·
Replies
2
Views
4K
  • · Replies 1 ·
Replies
1
Views
3K
  • · Replies 8 ·
Replies
8
Views
4K
  • · Replies 4 ·
Replies
4
Views
4K
  • · Replies 2 ·
Replies
2
Views
3K
  • · Replies 6 ·
Replies
6
Views
2K
  • · Replies 1 ·
Replies
1
Views
2K