Where did I go Wrong? Solving for Particle Speed with Mass & Charge

Click For Summary

Homework Help Overview

The discussion revolves around calculating the speed of two charged particles released from rest, focusing on the forces acting between them as they move closer together. The problem involves concepts from electrodynamics and classical mechanics, specifically the interplay of electric force, acceleration, and energy conservation.

Discussion Character

  • Exploratory, Conceptual clarification, Mathematical reasoning, Problem interpretation, Assumption checking

Approaches and Questions Raised

  • Participants explore the calculation of force using Coulomb's law and question the assumptions regarding constant force as the particles approach each other. There are discussions about using conservation of energy and the potential energy of the system. Some participants express confusion over the correct application of formulas and the significance of units.

Discussion Status

The discussion is ongoing, with various participants providing insights and suggestions for alternative approaches. Some have pointed out potential errors in calculations and assumptions, while others emphasize the importance of understanding the underlying physics concepts. There is no explicit consensus on the correct method yet, but several productive lines of inquiry have been established.

Contextual Notes

Participants note that the problem involves specific values for mass and charge, which may have been misinterpreted. There is also mention of homework constraints and the need for clarity in the definitions of energy terms used in the calculations.

hidemi
Messages
206
Reaction score
36
Homework Statement
Two particles, each having a mass of 3.0 μg and having equal but opposite charges of magnitude 5.0 nC, are released simultaneously from rest when the two are 5.0 cm apart. What is the speed of either particle at the instant when the two are separated by 2.0 cm?

The answer is 1.5 m/s.
Relevant Equations
F = kQ^2/r^2
F= 9*10^9 (5*10^-9)^2 / (0.05)^2

a=F/m = F/(3*10^-6)

v^2 = u^2 + 2aS = 0 + 2a*0.03
v = 60

Where did I do wrong? Thanks!
 
Physics news on Phys.org
hidemi said:
Homework Statement:: Two particles, each having a mass of 3.0 μg and having equal but opposite charges of magnitude 5.0 nC, are released simultaneously from rest when the two are 5.0 cm apart. What is the speed of either particle at the instant when the two are separated by 2.0 cm?

The answer is 1.5 m/s.
Relevant Equations:: F = kQ^2/r^2

F= 9*10^9 (5*10^-9)^2 / (0.05)^2

a=F/m = F/(3*10^-6)

v^2 = u^2 + 2aS = 0 + 2a*0.03
v = 60

Where did I do wrong? Thanks!
What happens to the force as the particles get closer? So what happens to the acceleration?
Is there an easier approach which doesn't require the force and acceleraton?
 
  • Like
Likes   Reactions: Delta2
hidemi said:
Homework Statement:: Two particles, each having a mass of 3.0 μg and having equal but opposite charges of magnitude 5.0 nC, are released simultaneously from rest when the two are 5.0 cm apart. What is the speed of either particle at the instant when the two are separated by 2.0 cm?

The answer is 1.5 m/s.
Relevant Equations:: F = kQ^2/r^2

F= 9*10^9 (5*10^-9)^2 / (0.05)^2

a=F/m = F/(3*10^-6)

v^2 = u^2 + 2aS = 0 + 2a*0.03
v = 60

Where did I do wrong? Thanks!
The force is not constant.
 
  • Like
Likes   Reactions: Steve4Physics
hidemi said:
Where did I do wrong?
First, your attempted solution is very poor: it's just a number salad with no units.

Second, you made a fundamental, basic mistake.
 
  • Sad
Likes   Reactions: Delta2
I'm thinking about using this equation: U = 1/2mv^2 + kQq/r
E1 = 1/2 * 3*10^-9 * 0^2 + 9*(-25)*10^-9/0.05^2
E1 = 1/2 * 3*10^-9 * V^2 + 9*(-25)*10^-9/0.02^2
V = 67 (m/s)
I cannot find a matching answer.
 
hidemi said:
kQq/r
9*(-25)*10^-9/0.05^2
?
 
haruspex said:
?
E1 = 1/2 * 3*10^-9 * 0^2 + 9*(-25)*10^-9/0.05
E2 = 1/2 * 3*10^-9 * V^2 + 9*(-25)*10^-9/0.02
E1 = E2, so V = 67 (m/s)

Sorry it was a typo
 
hidemi said:
I'm thinking about using this equation: U = 1/2mv^2 + kQq/r
E1 = 1/2 * 3*10^-9 * 0^2 + 9*(-25)*10^-9/0.05^2
E1 = 1/2 * 3*10^-9 * V^2 + 9*(-25)*10^-9/0.02^2
V = 67 (m/s)
I cannot find a matching answer.
It's no surprise that you keep getting the wrong answer, because you are lacking the basic techniques needed for a more advanced topic like EM:

You generally don't use units; you plug numbers into equations without thinking; you don't do any algebra; all you have is a number salad.

May I ask where you are studying physics? Do none of your professors comment on this? This is the very basics of EM. You have some serious mathematics coming up if you continue your studies. Has no one suggested you need to learn how to do algebra? You cannot make further progress in physics without developing mathematically.
 
hidemi said:
E1 = 1/2 * 3*10^-9 * 0^2 + 9*(-25)*10^-9/0.05
E2 = 1/2 * 3*10^-9 * V^2 + 9*(-25)*10^-9/0.02
E1 = E2, so V = 67 (m/s)

Sorry it was a typo
Looks like a tie, one error by you and one by the problem setter.
You have counted the PE of the system but the KE of only one particle.
At a guess, the problem setter turned a μg into 10-6kg.

Btw, I agree with @PeroK. It is far better to work entirely symbolically until the final step.
 
  • Like
Likes   Reactions: Steve4Physics and PeroK
  • #10
Though this seems to be an electrodynamics problem, you have to use the two well known laws of classical mechanics: Conservation of energy and conservation of momentum. Be sure when you apply conservation of energy to correctly count for the potential and kinetic energy of both particles.
 
  • Like
Likes   Reactions: PeroK
  • #11
@hidemi to be constructive, here's what I would have expected you to do.

First, state that you have a system of two particles and that the total potential energy for such a system is: $$U = \frac{kq_1q_2}{r} = -\frac{kq^2}{r}$$ Where ##q = 5.0nC## in this particular case.

Second, you should at least have thought about whether this is the potential energy of the system or of each particle. And, you could have asked here for confirmation - that it is indeed the total PE of both particles combined.

Third, you should have identified the total KE of the system as: $$KE = \frac 1 2 mv_1^2 + \frac 1 2 mv_2^2$$
Fourth, you should argued (as above) that the particles must have the same speed - as they have the same mass and the same magnitude of Coulomb force acting on them.

That would allow you to rewrite the KE of the system as: $$KE = mv^2$$
Fifth, you use conservation of energy: $$mv^2 -\frac{kq^2}{r_1} = -\frac{kq^2}{r_0}$$ which gives you: $$v^2 = \frac{kq^2}{m}(\frac 1 {r_1} - \frac 1 {r_0})$$
Finally, you can plug the numbers into that.

This is what you should be training yourself to do. To think through a problem like this.
 
  • Like
Likes   Reactions: Delta2
  • #12
Thank you all for pointing out my mistakes! I finally got the correct answer 1.5m/s
 
  • Like
Likes   Reactions: rsk
  • #13
hidemi said:
Thank you all for pointing out my mistakes! I finally got the correct answer 1.5m/s
But 1.5m/s is wrong. How did you get that? Should the 3μg be 3mg?
 
  • #14
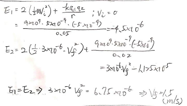
haruspex said:
But 1.5m/s is wrong. How did you get that? Should the 3μg be 3mg?
Yes, the 3μg is 3mg. And my calculation is as attached. Thanks!
 

Attachments

  • 1.jpg
    1.jpg
    23.7 KB · Views: 223
  • Like
Likes   Reactions: Delta2

Similar threads

Replies
6
Views
2K
  • · Replies 22 ·
Replies
22
Views
3K
  • · Replies 7 ·
Replies
7
Views
2K
Replies
3
Views
3K
  • · Replies 103 ·
4
Replies
103
Views
7K
  • · Replies 2 ·
Replies
2
Views
2K
Replies
4
Views
1K
Replies
2
Views
1K
  • · Replies 5 ·
Replies
5
Views
2K