Why same initial value in power series

Click For Summary
SUMMARY

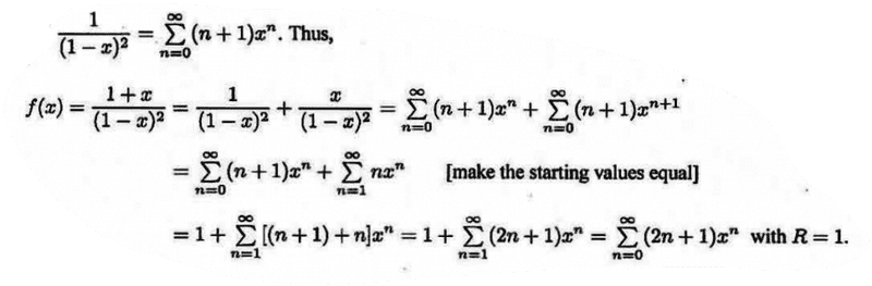
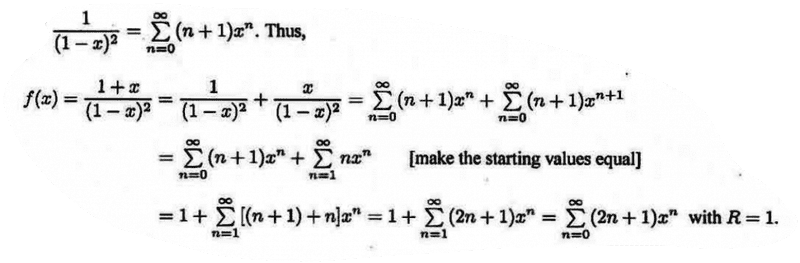
The discussion centers on finding a power series representation for the function f(x) = (1+x)/(1-x)² and determining its radius of convergence. Participants clarify that the initial values in the power series are not equal, but the goal is to achieve equality in the fourth line of the solution. The relevant equation involves the series sum ∑_{n=0}^{∞} (n + 1)x^n, which is broken down into its components for clarity. This understanding is crucial for correctly interpreting the power series representation.

PREREQUISITES
  • Understanding of power series and their representations
  • Familiarity with the function f(x) = (1+x)/(1-x)²
  • Knowledge of convergence criteria for series
  • Basic calculus concepts, particularly series manipulation
NEXT STEPS
  • Study the derivation of power series for rational functions
  • Learn about the radius of convergence and its calculation methods
  • Explore the properties of the series ∑_{n=0}^{∞} (n + 1)x^n
  • Investigate techniques for manipulating series to achieve equal starting values
USEFUL FOR

Students and educators in mathematics, particularly those focusing on calculus and series analysis, will benefit from this discussion.

shanepitts
Messages
84
Reaction score
1

Homework Statement


Find a power series representation for the function below & determine the radius of convergence.

f (x)=(1+x)/(1-x)2

2.Relevant equation

Shown in attached image below which is the solution the problem.

3.The attempt at a solution

pff.png

I'm trying to fathom the solution here.

I am pretty sure the initial value is the value of n. If so, it does not seem that the starting values were made equal here. Unless it has something to do with the 1+ ∑ that shows up on the fourth line?

Please help
 
Physics news on Phys.org
shanepitts said:

Homework Statement


Find a power series representation for the function below & determine the radius of convergence.

f (x)=(1+x)/(1-x)2

2.Relevant equation

Shown in attached image below which is the solution the problem.

3.The attempt at a solution

View attachment 84215
I'm trying to fathom the solution here.

I am pretty sure the initial value is the value of n. If so, it does not seem that the starting values were made equal here. Unless it has something to do with the 1+ ∑ that shows up on the fourth line?
The starting values are not equal in the third line. The comment to this effect is not that the starting values were made equal, but rather that this is the goal, which happens in the 4th line.

Note that ##\sum_{n = 0}^{\infty} (n + 1)x^n = 1x^0 + \sum_{n = 1}^{\infty} (n + 1)x^n = 1 + \sum_{n = 1}^{\infty} (n + 1)x^n##. Is that what you're asking about?
 
  • Like
Likes   Reactions: shanepitts
Mark44 said:
The starting values are not equal in the third line. The comment to this effect is not that the starting values were made equal, but rather that this is the goal, which happens in the 4th line.

Note that ##\sum_{n = 0}^{\infty} (n + 1)x^n = 1x^0 + \sum_{n = 1}^{\infty} (n + 1)x^n = 1 + \sum_{n = 1}^{\infty} (n + 1)x^n##. Is that what you're asking about?

Thanks for your quick response. I fathom now.
 

Similar threads

  • · Replies 2 ·
Replies
2
Views
2K
  • · Replies 2 ·
Replies
2
Views
2K
Replies
6
Views
2K
  • · Replies 1 ·
Replies
1
Views
2K
  • · Replies 1 ·
Replies
1
Views
2K
  • · Replies 11 ·
Replies
11
Views
3K
Replies
8
Views
2K
  • · Replies 22 ·
Replies
22
Views
4K
  • · Replies 3 ·
Replies
3
Views
2K
  • · Replies 4 ·
Replies
4
Views
2K