Work done by a force along the path

Click For Summary

Homework Help Overview

The discussion revolves around calculating the work done by a force along a specified path, involving vector calculus and integration. The original poster expresses difficulty in transforming the force vector and position vector into their respective components, leading to complex integrals.

Discussion Character

  • Exploratory, Assumption checking, Mathematical reasoning

Approaches and Questions Raised

  • Participants discuss the evaluation of the work integral and the need to express vectors in terms of their components. Questions arise about the correct representation of the position vector and its relation to the force vector.

Discussion Status

Participants are actively exploring different interpretations of the vectors involved and questioning the assumptions made about their representations. Some guidance has been offered regarding substitutions and the need to clarify the path and force relationships.

Contextual Notes

There are indications of confusion regarding the correct expressions for the vectors involved, particularly in Cartesian coordinates. The original poster mentions a complex integral and seeks clarification on the representation of the vectors.

MyoPhilosopher
Messages
41
Reaction score
4
Homework Statement
Work done by a force along the path
Relevant Equations
\vec F(\vec r)=α|\ vec r 2 \vecr.
r(s)=sˆx+sˆy,
If the first equation for force is not formatted please refer to the pic.
I did not post my full attempt as the problematic equation leads to a complex integral.
Should I be converting r vector into its univector. The two outlined equations refer to the force. I am making an error transforming the force into x_hat and y_hat format. Any advice is appreciated I am quite stuck

1582390383891.png
 
  • Like
Likes   Reactions: etotheipi
Physics news on Phys.org
To calculate the work, you're trying to evaluate
$$\int_C \vec F \cdot d\vec r = \int_0^1 \vec F \cdot \frac{d\vec r}{ds}\,ds,$$ right? You have expressions for ##\vec F##, ##\vec r##, and ##d\vec r/ds##. Just substitute those into the integral and then evaluate the dot product. What do you get?
 
  • Like
Likes   Reactions: etotheipi and PeroK
vela said:
To calculate the work, you're trying to evaluate
$$\int_C \vec F \cdot d\vec r = \int_0^1 \vec F \cdot \frac{d\vec r}{ds}\,ds,$$ right? You have expressions for ##\vec F##, ##\vec r##, and ##d\vec r/ds##. Just substitute those into the integral and then evaluate the dot product. What do you get?
How do I do the dot product if F is in terms of r(vector) and dr is in the form ˆx+ˆy. How do I convert r_vector in its x_hat and y_hat components
 
You have an expression for ##\vec r## in terms of ##\hat x## and ##\hat y##, don't you? Substitute that into the expression for ##\vec F## where appropriate.
 
vela said:
You have an expression for ##\vec r## in terms of ##\hat x## and ##\hat y##, don't you? Substitute that into the expression for ##\vec F## where appropriate.
No that's the issue. My ##\vec r## in terms of ##\hat x## and ##\hat y## is not correct.
Is the ##\vec r## in my force equation maybe related to ##\vec r##(s) and therefore just the sine and cosine components of a straigth line graph with gradient 1 between the specified points?
 
MyoPhilosopher said:
No that's the issue. My ##\vec r## in terms of ##\hat x## and ##\hat y## is not correct.
Draw a vector from the origin representing ##\vec r##. What are the coordinates of its endpoint?
 
haruspex said:
Draw a vector from the origin representing ##\vec r##. What are the coordinates of its endpoint?
0 and 1, so I am assuming it is as easy as ##\vec r##. 1cos(45)##\hat x## and 1sin(45)##\hat y##
 
MyoPhilosopher said:
0 and 1
Eh? I have no idea how you get that.
Let me put it another way: In Cartesian coordinates, what does the vector ##\vec r## represent?
 
haruspex said:
Eh? I have no idea how you get that.
Let me put it another way: In Cartesian coordinates, what does the vector ##\vec r## represent?
Sorry, we integrate from 0->1 So cartesian be 1,1 endpoint.

1582451481402.png

This seems way too complex an integral and I can't see where I am going wrong
 
  • #10
MyoPhilosopher said:
Sorry, we integrate from 0->1 So cartesian be 1,1 endpoint.
You do not seem to understand my question. It is not specific to the problem in this thread, but quite general.
In Cartesian coordinates, what is the usual representation of the vector ##\vec r##? There are no numbers in the answer.
 
  • #11
haruspex said:
You do not seem to understand my question. It is not specific to the problem in this thread, but quite general.
In Cartesian coordinates, what is the usual representation of the vector ##\vec r##? There are no numbers in the answer.
I understand your questions as though you are referring to the origin? In which case the ##\vec r## can be seen as a straight line in the form y = x? I am just trying to understand what is specifically incorrect with the picture above as I can't see a mathematical error.
 
  • #12
MyoPhilosopher said:
I understand your questions as though you are referring to the origin? In which case the ##\vec r## can be seen as a straight line in the form y = x? I am just trying to understand what is specifically incorrect with the picture above as I can't see a mathematical error.
No, ##\vec r## represents a point, not a line.
Yes, you can draw a line from the origin to that point, but why should it be the line y=x? It is not necessarily at 45 degrees.
 
  • #13
haruspex said:
No, ##\vec r## represents a point, not a line.
Yes, you can draw a line from the origin to that point, but why should it be the line y=x? It is not necessarily at 45 degrees.

,
The given equation is r(s)=sˆx+sˆy
 
  • #14
MyoPhilosopher said:
The given equation is r(s)=sˆx+sˆy
Do you have a graph to show us?
 
  • #15
Lnewqban said:
Do you have a graph to show us?
Domain for s is including and from 0 to including 1
1582461940433.png
 
  • #16
Is that the path?
How is the force acting along it?
 
  • #17
MyoPhilosopher said:
The given equation is r(s)=sˆx+sˆy
Ok, I see. You listed it as a "relevant equation", which is supposedly to be where you list standard equations you suspect may be relevant. The specification of the path belongs in the problem statement.

So, you wrote ##r=\hat x+\hat y##. I presume you meant ##\hat r=\hat x+\hat y##, but that is incorrect. What is the magnitude of ##\hat x+\hat y##?
 
  • #18
haruspex said:
Ok, I see. You listed it as a "relevant equation", which is supposedly to be where you list standard equations you suspect may be relevant. The specification of the path belongs in the problem statement.

So, you wrote ##r=\hat x+\hat y##. I presume you meant ##\hat r=\hat x+\hat y##, but that is incorrect. What is the magnitude of ##\hat x+\hat y##?
Yep sorry I corrected it to its components in above pic, so I made ##\hat r=1cos(45)\hat x+1sin(45)\hat y##,
 
  • #19
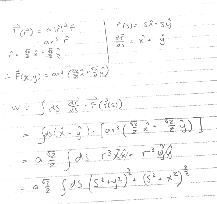
MyoPhilosopher said:
Sorry, we integrate from 0->1 So cartesian be 1,1 endpoint.

View attachment 257519
This seems way too complex an integral and I can't see where I am going wrong
I don't understand the final step in the above. You seem to have substituted s2+x2 for r2 in one place and s2+y2 for r2 in another. Neither is correct.

Btw, it would have been easier without switching to x and y coordinates. Just write the integral in terms of ##\vec r##.
 
  • #20
haruspex said:
I don't understand the final step in the above. You seem to have substituted s2+x2 for r2 in one place and s2+y2 for r2 in another. Neither is correct.

Btw, it would have been easier without switching to x and y coordinates. Just write the integral in terms of ##\vec r##.
Alright so instead of integral ds just use integral dr. Out of interest what would be the correct expression of r2 in terms of s,x and y?
 
  • #21
MyoPhilosopher said:
The given equation is r(s)=sˆx+sˆy
So r2r⋅r = ?
 
  • #22
MyoPhilosopher said:
Alright so instead of integral ds just use integral dr.
No, integral ##.\vec {dr}##.

MyoPhilosopher said:
Out of interest what would be the correct expression of r2 in terms of s,x and y?
##\vec r=s\hat r##, so what is r2 in terms of s?
##\vec r=x\hat x+y\hat y##, so what is r2 in terms of x and y?
 

Similar threads

Replies
9
Views
1K
  • · Replies 11 ·
Replies
11
Views
2K
  • · Replies 7 ·
Replies
7
Views
3K
  • · Replies 28 ·
Replies
28
Views
2K
Replies
2
Views
1K
Replies
12
Views
2K
Replies
25
Views
2K
  • · Replies 12 ·
Replies
12
Views
2K
  • · Replies 2 ·
Replies
2
Views
992
Replies
1
Views
1K