A particle travels along a plane curve (Polar coordinates)

Click For Summary

Homework Help Overview

The problem involves a particle traveling along a plane curve, with given polar components of velocity and acceleration. The task is to determine the component of acceleration that is tangent to the path of the particle at a specific instant.

Discussion Character

  • Mixed

Approaches and Questions Raised

  • Participants discuss the calculation of the velocity and acceleration vectors in polar coordinates, questioning the interpretation of the problem and the necessity of converting to Cartesian coordinates. Some participants share their attempts and results, while others ask for hints and clarification on the definitions of velocity and acceleration in this context.

Discussion Status

There is ongoing exploration of the problem, with some participants providing calculations and others questioning the assumptions made regarding the coordinate system. A few have suggested that the problem may be misinterpreted, while others focus on the dot product method for finding the tangential component of acceleration.

Contextual Notes

Some participants note potential confusion regarding the representation of polar coordinates and the implications of interpreting the data in Cartesian terms. There is also mention of differing approaches to calculating the necessary components of velocity and acceleration.

Alexanddros81
Messages
177
Reaction score
4

Homework Statement


13.24 A particle travels along a plane curve. At a certain instant, the polar
components of the velocity and acceleration are vR=90mm/s, vθ=60mm/s,
aR=-50mm/s2, and aθ=20mm/s2. Determine the component of acceleration that is tangent to the path of the particle at this instant.

Homework Equations

The Attempt at a Solution


I have tried somethings but didn't get the result which is -30.5mm/s2
Any hints?
 
Physics news on Phys.org
Alexanddros81 said:

Homework Statement


13.24 A particle travels along a plane curve. At a certain instant, the polar
components of the velocity and acceleration are vR=90mm/s, vθ=60mm/s,
aR=-50mm/s2, and aθ=20mm/s2. Determine the component of acceleration that is tangent to the path of the particle at this instant.

The Attempt at a Solution


I have tried somethings but didn't get the result which is -30.5mm/s2
Any hints?
What have you tried? What is a? What is v? Show your work.
PS answer is correct.
 
Last edited:
In terms of the velocity components in the radial and theta directions and the unit vectors in the radial and theta directions, what is the velocity vector. What is the equation for a unit vector in the direction of the velocity? In terms of the acceleration components in the radial and theta directions, and the unit vectors in the radial and theta directions, what is the equation for the acceleration vector?
 
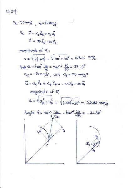
Here is my work:

Pytels_Dynamics064.jpg
 
Alexanddros81 said:
Here is my work:

View attachment 211139
Good start, but it's much simpler than this. You've shown that:
$$\vec{v}=90\vec{e_r}+60\vec{e_{\theta}}$$
$$\vec{a}=-50\vec{e_r}+20\vec{e_{\theta}}$$and
$$v=108.16$$
So, the unit vector in the direction of the velocity vector is:
$$\vec{i_v}=\frac{90\vec{e_r}+60\vec{e_{\theta}}}{108.16}=0.8321\vec{e_r}+0.5547\vec{e_{\theta}}$$
The tangential component of the acceleration is the same as its component in the direction of the velocity vector. This is equal to the dot product of the acceleration vector with the unit vector in the direction of the velocity vector. The dot product of two vectors is a distributive property. So, for two vectors, say ##\vec{A}=A_r\vec{e_r}+A_{\theta}\vec{e_{\theta}}## and ##\vec{B}=B_r\vec{e_r}+B_{\theta}\vec{e_{\theta}}##, their dot product is given by:
$$\vec{A}\centerdot \vec{B}=(A_r\vec{e_r}+A_{\theta}\vec{e_{\theta}})\centerdot (B_r\vec{e_r}+B_{\theta}\vec{e_{\theta}})=A_rB_r+A_{\theta}B_{\theta}$$
 
  • Like
Likes   Reactions: Alexanddros81
Actually, the problem as stated is muddled.
In polar coordinates a vector has an r component and a θ component. The velocity vector should thus be v r + θv θ with bold being the unit vectors. From your data v is √(902 + 602) = 108.17 mm/s while θv = tan-1(60/90) = 33.69 deg. Same idea for the a vector: a = √(50 + 20) = 53.85 mm/s while θa = tan-1(20/-50) = 180 - 21.80 = 158.2 deg.

We have all implicitly chosen to ignore polar coordinates "r" and "θ" and interpreted the data as cartesian "x" and "y" respectively. That's how the given answer is derived. It does not excuse stating that the given v and a data is given in polar coordinates when it isn't.
I hasten to add that, given polar coordinates i would perform dot-products by converting to cartesian first. I know there's another way but I'm too old to learn it. :H
 
Last edited:
  • Like
Likes   Reactions: Alexanddros81
rude man said:
Actually, the problem as stated is muddled.
In polar coordinates a vector has an r component and a θ component. The velocity vector should thus be v r + θv θ with bold being the unit vectors. From your data v is √(902 + 602) = 108.17 mm/s while θv = tan-1(60/90) = 33.69 deg. Same idea for the a vector: a = √(50.+ 20) = 53.85 mm/s while θa = tan-1(20/-50) = -21.80 deg.

We have all implicitly chosen to ignore polar coordinates "r" and "θ" and interpreted the data as cartesian "x" and "y" respectively. That's how the given answer is derived. It does not excuse stating that the given v and a data is given in polar coordinates when it isn't.
Hi rude man,

It seemed clear to me from the problem statement that what they meant was exactly as you described it above.

It also seemed clear that there was no need to determine the angles, since all that was really needed was to take the dot product of the acceleration vector with a unit vector in the direction of the velocity vector.

Chet
 

Similar threads

  • · Replies 12 ·
Replies
12
Views
4K
Replies
2
Views
4K
Replies
2
Views
2K
  • · Replies 3 ·
Replies
3
Views
15K
  • · Replies 3 ·
Replies
3
Views
3K
Replies
11
Views
2K
  • · Replies 4 ·
Replies
4
Views
2K
Replies
5
Views
2K
  • · Replies 1 ·
Replies
1
Views
4K
  • · Replies 2 ·
Replies
2
Views
3K