Calculating Projectile Motion for Cannon and Window Scenario

Click For Summary

Homework Help Overview

The discussion revolves around a projectile motion problem involving a cannon firing a ball through a window. The window's dimensions and the cannon's launch angle are specified, with participants exploring the implications of these parameters on the required launching power.

Discussion Character

  • Exploratory, Assumption checking, Problem interpretation

Approaches and Questions Raised

  • Participants are examining the calculations related to the initial velocity required for the cannonball to pass through the window. Questions arise regarding the accuracy of formulas and arithmetic used in the calculations. There is also discussion about the trajectory and the implications of the firing angle.

Discussion Status

The conversation is ongoing, with participants providing feedback on each other's calculations and interpretations. Some suggest that the original poster's approach may be correct, while others question the assumptions made regarding the trajectory and the firing angle. There is no explicit consensus yet.

Contextual Notes

Participants note the potential for high muzzle speeds and the need for the cannon to be positioned correctly to ensure the ball can pass through the window. The dimensions of the window and the ball's fit are also under consideration, along with the effects of gravity on the trajectory.

Femme_physics
Gold Member
Messages
2,548
Reaction score
1

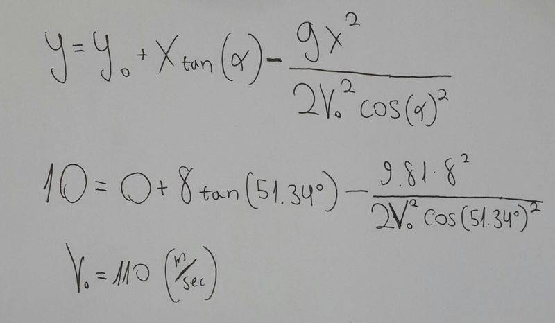
Homework Statement


A cannon has to fire a ball through a window in the wall. The window is 10 meters at the Y axis, and 8 meters (away from the cannon) at the X axis. The window is just slightly bigger than the ball (let's suppose that the dimensions are negligible). Find the required launching power.

sketch.jpg
Ball's mass: 0.6 kilograms
Angle of launch: 51.34 degrees

The Attempt at a Solution


formula.jpg


I seem to be getting a strange initial velocity, way too high. Is my formula off? Or calculations?
 
Physics news on Phys.org
Well,in your formula..,your ##g## should be ##g= -9.8 units ##.
Could you check your arithmetic again. And I hope you know how to do the rest of the question, though you have not posted it.
 
No, the lady is doing just fine. It takes a bit of sleuthing to track what you are doing, but it's correct.

Cannons can get huge muzzle speeds nowadays. It's not like they are throwing a stone or a ball...

However, a straight line to the window has slope 10/8 and atan(10/8) = 51.3402##^\circ##

And then the expression 10 - 8*tan gives zero !
In other words, muzzle speed has to be infinite.

That you get a finite result could well be due to rounding in the calculator.


Then: If the window is only slightly bigger than the cannonball, you'll have to lift the cannon 10 m up, or else the ball won't get through :wink:
 
Femme_physics said:

Homework Statement


A cannon has to fire a ball through a window in the wall. The window is 10 meters at the Y axis, and 8 meters (away from the cannon) at the X axis. The window is just slightly bigger than the ball (let's suppose that the dimensions are negligible). Find the required launching power.
http://s3.postimg.org/t777qpmhb/sketch.jpg

Ball's mass: 0.6 kilograms
Angle of launch: 51.34 degrees

The Attempt at a Solution


http://s4.postimg.org/hzhugcgd9/formula.jpg[/B]

I seem to be getting a strange initial velocity, way too high. Is my formula off? Or calculations?
What is the arc-tangent of 10/8 ?
 
There are any number of parabolic trajectories that can originate at the canon and reach the window. Given the tight fit, I suppose the trick is to choose one that happens to be traveling horizontally at the moment it passes though the window...

Fig2.gif
 
gneill said:
There are any number of parabolic trajectories that can originate at the canon and reach the window. Given the tight fit, I suppose the trick is to choose one that happens to be traveling horizontally at the moment it passes though the window...
So where does the given firing angle come from ? Femme or problem statement ?
 
BvU said:
So where does the given firing angle come from ? Femme or problem statement ?
It looks to be based upon the assumption of a straight-line trajectory from canon to window (not feasible with gravity acting). With a high enough initial velocity one could approach that goal if the window opening allows the ball to pass through at such an angle. Then it would be a matter of checking tolerances for such a scenario, but we don't have specifics.
 

Similar threads

  • · Replies 15 ·
Replies
15
Views
2K
  • · Replies 1 ·
Replies
1
Views
2K
  • · Replies 1 ·
Replies
1
Views
2K
  • · Replies 19 ·
Replies
19
Views
4K
  • · Replies 3 ·
Replies
3
Views
3K
  • · Replies 3 ·
Replies
3
Views
2K
  • · Replies 3 ·
Replies
3
Views
2K
  • · Replies 10 ·
Replies
10
Views
6K
  • · Replies 18 ·
Replies
18
Views
5K
  • · Replies 15 ·
Replies
15
Views
27K