Curvilinear coordinate system: Determine the standardized base vectors

Click For Summary
SUMMARY

The discussion focuses on determining standardized base vectors in a curvilinear coordinate system using gradients. The position vector is defined as \(\mathbf{r}(u,v,w) = (x(u,v,w),y(u,v,w),z(u,v,w))\). It is established that the basis vector \(\mathbf{e}_{u_i}\) is directed along increasing \(u_i\) and is orthogonal to surfaces of constant \(u_i\). The relationship between the gradients \(\nabla u_i\) and the partial derivatives \(\frac{\partial \mathbf{r}}{\partial u_i}\) is clarified, emphasizing their parallelism when the gradients are orthogonal.

PREREQUISITES
  • Understanding of curvilinear coordinate systems
  • Familiarity with gradient vectors and their properties
  • Knowledge of partial derivatives in multivariable calculus
  • Basic concepts of vector calculus
NEXT STEPS
  • Study the properties of orthogonal gradients in curvilinear coordinates
  • Learn about the derivation and application of the position vector in curvilinear systems
  • Explore the implications of parallel vectors in vector calculus
  • Investigate the use of gradients in physical applications, such as fluid dynamics
USEFUL FOR

Mathematicians, physicists, and engineers working with curvilinear coordinates, as well as students studying vector calculus and its applications in various fields.

Karl Karlsson
Messages
104
Reaction score
12
Homework Statement
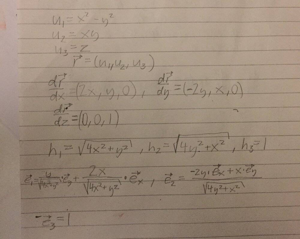
Determine the standardized base vectors in the curvilinear coordinate system $$\begin{cases} u_1 = x^2-y^2 \\ u_2 = xy \\ u_3 = z\end{cases}$$
Relevant Equations
$$\begin{cases} u_1 = x^2-y^2 \\ u_2 = xy \\ u_3 = z\end{cases}$$
How I would have guessed you were supposed to solve it:
IMG_0716.jpg


What you are supposed to do is just take the gradients of all the u:s and divide by the absolute value of the gradient? But what formula is that why is the way I did not the correct way to do it?

Thanks in advance!
 
Physics news on Phys.org
The position vector is always [itex]\mathbf{r}(u,v,w) = (x(u,v,w),y(u,v,w),z(u,v,w))[/itex]. Here you are given [itex]u(x,y,z)[/itex] etc., and you would have to invert this to get [itex](x,y,z)[/itex] in terms of [itex](u,v,w)[/itex], but you don't have to.

The basis vector [itex]\mathbf{e}_{u_i}[/itex] points in the direction of increasing [itex]u_i[/itex] and is normal to surfaces of constant [itex]u_i[/itex]. The vector [itex]\nabla u_i[/itex] does exactly this.

Now it turns out that if the [itex]\nabla u_i[/itex] are orthogonal then [itex]\nabla u_i[/itex] and [itex]\frac{\partial \mathbf{r}}{\partial u_i}[/itex] are parallel.
 
pasmith said:
The position vector is always [itex]\mathbf{r}(u,v,w) = (x(u,v,w),y(u,v,w),z(u,v,w))[/itex]. Here you are given [itex]u(x,y,z)[/itex] etc., and you would have to invert this to get [itex](x,y,z)[/itex] in terms of [itex](u,v,w)[/itex], but you don't have to.

The basis vector [itex]\mathbf{e}_{u_i}[/itex] points in the direction of increasing [itex]u_i[/itex] and is normal to surfaces of constant [itex]u_i[/itex]. The vector [itex]\nabla u_i[/itex] does exactly this.

Now it turns out that if the [itex]\nabla u_i[/itex] are orthogonal then [itex]\nabla u_i[/itex] and [itex]\frac{\partial \mathbf{r}}{\partial u_i}[/itex] are parallel.
Is it because they have taken ##grad φ = \sum_{i} \frac {1} {h_i} \frac {\partial φ} {\partial u_i}## and ##φ=u_i##?
 

Similar threads

  • · Replies 6 ·
Replies
6
Views
4K
  • · Replies 7 ·
Replies
7
Views
2K
  • · Replies 30 ·
2
Replies
30
Views
3K
Replies
3
Views
2K
  • · Replies 9 ·
Replies
9
Views
4K
  • · Replies 2 ·
Replies
2
Views
2K
  • · Replies 9 ·
Replies
9
Views
4K
  • · Replies 8 ·
Replies
8
Views
2K
Replies
9
Views
2K
  • · Replies 3 ·
Replies
3
Views
7K