Double integrals: cartesian to polar coordinates

Click For Summary

Homework Help Overview

The discussion revolves around converting a Cartesian double integral into polar coordinates, specifically focusing on determining the appropriate bounds for integration in polar form.

Discussion Character

  • Exploratory, Assumption checking

Approaches and Questions Raised

  • The original poster seeks assistance in identifying the bounds for r while transitioning from Cartesian to polar coordinates, noting the limits for theta. Some participants discuss the geometric interpretation of the area of integration, suggesting that the bounds for r depend on theta and involve a right triangle.

Discussion Status

The conversation is ongoing, with participants exploring the relationship between the angles and the limits for r. There is a hint provided regarding the projection of r in relation to theta, indicating a productive line of reasoning without reaching a consensus on the exact bounds.

Contextual Notes

The original poster specifies that they only require help with the bounds and not with the evaluation of the integral. The problem context includes a reference to a right triangle formed by the area of integration.

mmont012
Messages
39
Reaction score
0

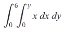
Homework Statement


Change the Cartesian integral into an equivalent polar integral and then evaluate.

Homework Equations


x=rcosθ
y=rsinθ

upload_2015-11-27_1-53-51.png

I have:
∫∫r2cosθ dr dθ

The bounds for theta would be from π/4 to π/2, but what would the bounds for r be?

I only need help figuring out the bounds, not with the evaluating.

The answer for the problem is 36 (or so says the back of the textbook).
 
Physics news on Phys.org
mmont012 said:
but what would the bounds for r be?
The area of integration forms a right triangle subtending angle from 45 to 90 degree, so the limit for r would be a function of ##\theta##. For a hint, as you sweep the triangle in between those two limiting angles, the projection ##r \sin \theta## is constant.
 
  • Like
Likes   Reactions: mmont012
For every theta, a line from the origin, making angle theta with the y-axis, to the line y= 6 is the hypotenuse of a right triangle with one leg of length 6. [itex]cos(\theta)= \frac{6}{h}[/itex].
 
  • Like
Likes   Reactions: mmont012
Thank you both!
 

Similar threads

  • · Replies 24 ·
Replies
24
Views
4K
  • · Replies 3 ·
Replies
3
Views
3K
  • · Replies 19 ·
Replies
19
Views
3K
  • · Replies 12 ·
Replies
12
Views
2K
  • · Replies 11 ·
Replies
11
Views
3K
  • · Replies 5 ·
Replies
5
Views
2K
  • · Replies 3 ·
Replies
3
Views
2K
  • · Replies 2 ·
Replies
2
Views
2K
Replies
3
Views
2K
  • · Replies 14 ·
Replies
14
Views
3K