Ex. 19 Gauge Fields, Knots & Gravity: Is Rotation Correct?

  • Context: Undergrad 
  • Thread starter Thread starter ergospherical
  • Start date Start date
  • Tags Tags
    Fields Gauge Gravity
Click For Summary

Discussion Overview

The discussion revolves around Exercise 19, which involves the pushforward of vector fields under a counterclockwise rotation in two-dimensional space. Participants explore the mathematical implications of this rotation on the coordinate vector fields and whether the derived expressions for the pushforward are correct.

Discussion Character

  • Technical explanation
  • Debate/contested

Main Points Raised

  • One participant presents the problem of showing the pushforward of the coordinate vector fields under a rotation and initially proposes a different expression for the pushforward of ##\partial_x##.
  • Another participant agrees with the initial conclusion and provides an alternative approach using a specific curve to demonstrate the pushforward's effect, reinforcing the original claim.
  • A later reply suggests checking the errata for the book, implying potential discrepancies in the original material.
  • Another participant humorously questions the existence of an errata for the errata, indicating a light-hearted acknowledgment of possible errors in the source material.

Areas of Agreement / Disagreement

Participants generally agree on the conclusion regarding the pushforward of the vector fields, but there is an underlying uncertainty about the correctness of the original exercise as indicated by the reference to errata.

Contextual Notes

The discussion highlights potential discrepancies in the exercise as presented in the source material, suggesting that participants are operating under assumptions that may not be fully validated by the text.

ergospherical
Science Advisor
Homework Helper
Education Advisor
Insights Author
Messages
1,098
Reaction score
1,385
Wanted to check with you guys that I'm not going crazy...

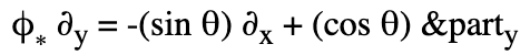
Exercise 19: Let ##\phi : \mathbf{R}^2 \rightarrow \mathbf{R}^2## be a counterclockwise rotation by angle ##\theta##. Let ##\partial_x, \partial_y## be the coordinate vector fields on ##\mathbf{R}^2##. Show, at any point of ##\mathbf{R}^2##, that ##\phi_*\partial_x = (\cos{\theta})\partial_x - (\sin{\theta}) \partial_y## and also ##\phi_*\partial_y = (\sin{\theta})\partial_x + (\cos{\theta})\partial_y##

The effect of the pushforward is just a rotation of the vectors, so presumably one would instead expect ##\phi_* \partial_x = (\cos{\theta})\partial_x + (\sin{\theta})\partial_y##, right?

The rotation is ##(x,y) \mapsto \phi(x,y) = (x\cos{\theta} - y\sin{\theta}, \ x\sin{\theta} + y\cos{\theta})##. Let ##f \in C^{\infty}(\mathbf{R}^2)## be a test function, then the pushforward of ##\partial_x## is\begin{align*}
((\phi_* \partial_x)(f))(\phi(x),\phi(y)) &= (\partial_x(\phi^* f))(x,y) \\
&= (\partial_x (f \circ \phi))(x,y) \\
\end{align*}One can determine the ##x##-component of ##\phi_* \partial_x## by letting ##f=x##,\begin{align*}
((\phi_* \partial_x)(x))(\phi(x),\phi(y)) &= (\partial_x(x \circ \phi))(x,y) \\
&= (\partial_x(x\cos{\theta} - y\sin{\theta}))(x,y) \\
&= \cos{\theta}
\end{align*}Similarly, put ##f=y## to obtain ##((\phi_* \partial_x)(y))(\phi(x),\phi(y)) = \sin{\theta}##. Then\begin{align*}
\phi_* \partial_x = (\cos{\theta})\partial_x + (\sin{\theta})\partial_y
\end{align*}as before. I haven't misread something?
 
Physics news on Phys.org
I agree with your conclusion. Alternatively, consider curve ##\gamma: t \mapsto (t,a)##, which has ##\partial_x## as its tangent vector. You will find that ##\phi \circ \gamma (t) = (t \cos\theta - a \sin\theta, t \sin\theta + a \cos\theta)##, which clearly has the tangent vector ##\cos\theta \partial_x + \sin\theta \partial_y##.
 
  • Like
Likes   Reactions: ergospherical
Is there an errata for the errata? :wink:
1641022076628.png
 

Similar threads

  • · Replies 3 ·
Replies
3
Views
1K
  • · Replies 1 ·
Replies
1
Views
1K
  • · Replies 8 ·
Replies
8
Views
2K
  • · Replies 8 ·
Replies
8
Views
2K
  • · Replies 0 ·
Replies
0
Views
1K
  • · Replies 4 ·
Replies
4
Views
1K
  • · Replies 7 ·
Replies
7
Views
2K
  • · Replies 2 ·
Replies
2
Views
973
  • · Replies 1 ·
Replies
1
Views
1K
  • · Replies 47 ·
2
Replies
47
Views
7K