Finding the voltage at a radius of a cylinder

Click For Summary
SUMMARY

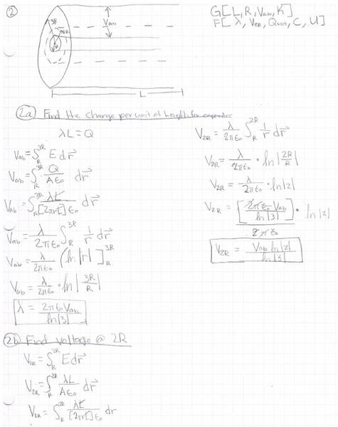
The discussion focuses on calculating the voltage difference between two points in a cylindrical geometry, specifically from radius R to radius 2R. The integral used for this calculation is Vab = ∫ E*dr, where E represents the electric field. The participant is uncertain about the correct limits of integration, debating whether to use R to 2R or 2R to 3R. The correct approach is to set the limits from R to 2R to accurately determine the potential difference as required by the problem statement.

PREREQUISITES
  • Understanding of electric fields in cylindrical coordinates
  • Knowledge of integral calculus, specifically definite integrals
  • Familiarity with the concept of electric potential and voltage
  • Basic principles of electrostatics
NEXT STEPS
  • Study the derivation of electric fields for cylindrical conductors
  • Learn about the application of definite integrals in physics problems
  • Explore the relationship between electric potential and electric field
  • Review examples of potential difference calculations in electrostatics
USEFUL FOR

This discussion is beneficial for physics students, educators, and anyone studying electrostatics, particularly those dealing with cylindrical geometries and voltage calculations.

Blockade
Messages
68
Reaction score
0

Homework Statement


cb57d2c60a.jpg


Homework Equations


Vab = ∫ E*dr

The Attempt at a Solution


9974a6964b.jpg
[/B]

For part (b) I am not sure if I should set the upper and lower bound of the integral from "R" to "2R" or "2R" to "3R". If done so, this would give me V2R = Vab * ln|3R/2R| / ln |3| instead of what is on the image.
 
Physics news on Phys.org
The problem is asking you to find the potential difference (i.e. voltage) between a point on the inner cylinder at r = R and a point at r = 2R. What do you think the limits of integration ought to be?
 

Similar threads

  • · Replies 6 ·
Replies
6
Views
9K
  • · Replies 6 ·
Replies
6
Views
4K
  • · Replies 12 ·
Replies
12
Views
3K
Replies
3
Views
2K
Replies
2
Views
2K
  • · Replies 9 ·
Replies
9
Views
4K
  • · Replies 7 ·
Replies
7
Views
4K
  • · Replies 11 ·
Replies
11
Views
6K
  • · Replies 2 ·
Replies
2
Views
4K
  • · Replies 3 ·
Replies
3
Views
2K