Help understanding centrefugal force

  • Thread starter Thread starter Liquidxlax
  • Start date Start date
  • Tags Tags
    Force
Click For Summary
SUMMARY

The discussion focuses on proving the Lagrange equation for a bead on a rotating hoop using a non-inertial reference frame. The forces involved are gravitational force (Fg) and centrifugal force (Fcf), represented by the equations Fg = -mgsinθ and Fcf = mΩ²Rcosθsinθ. The user attempts to derive the equation mR(d²θ/dt²) = mΩ²Rcosθsinθ - mgsinθ, indicating a clear understanding of the dynamics involved. The discussion highlights the complexities of non-inertial frames in classical mechanics.

PREREQUISITES
  • Understanding of Lagrangian mechanics
  • Familiarity with non-inertial reference frames
  • Basic knowledge of rotational dynamics
  • Proficiency in calculus, particularly second derivatives
NEXT STEPS
  • Study the derivation of Lagrange's equations in non-inertial frames
  • Explore the concept of centrifugal force in rotating systems
  • Learn about the applications of Lagrangian mechanics in complex systems
  • Review examples of beads on hoops and similar dynamics problems
USEFUL FOR

This discussion is beneficial for physics students, educators, and anyone interested in classical mechanics, particularly those studying rotational dynamics and Lagrangian formulations.

Liquidxlax
Messages
312
Reaction score
0

Homework Statement



Basically i have to prove a lagrange equation using a non-inertial reference frame. A bead on a hoop where the hoop rotates as in the image below.
mN8wY.png


F = Fg + Fcf

Homework Equations



mR(d2θ/dt2) = mΩ2Rcosθsinθ -mgsinθ

what I'm supposed to get

The Attempt at a Solution



Fg = -mgsinθ

Fcf = m(ΩxR)xΩ = mΩ2Rcosθsinθ

I know that

Ω = Ω(0 , sinθ, cosθ)

R = R( 0 , k I'm just lost and frustrated :(
 
Physics news on Phys.org
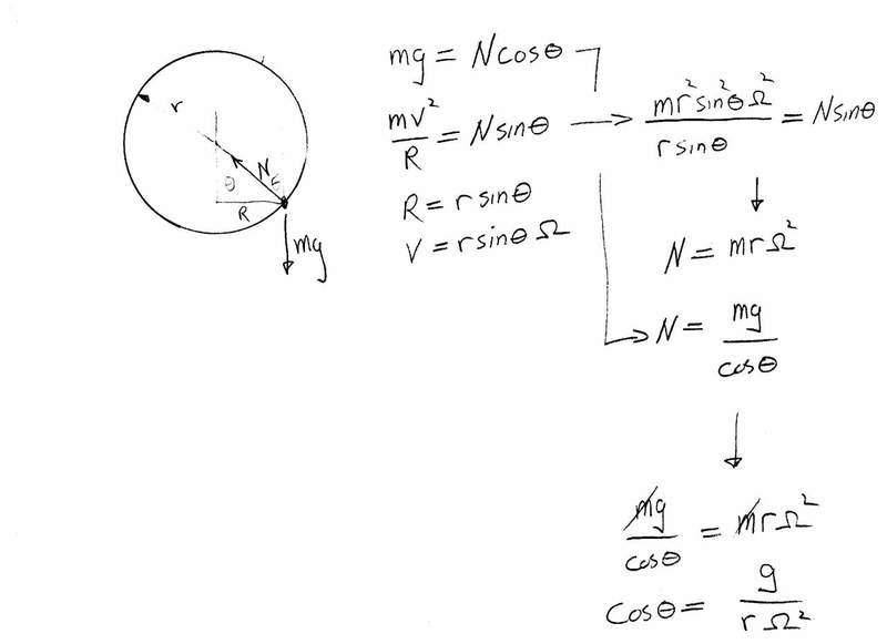
This is probably late but does this work?
 

Attachments

  • aaaaa100.jpg
    aaaaa100.jpg
    18.8 KB · Views: 404

Similar threads

  • · Replies 5 ·
Replies
5
Views
2K
  • · Replies 6 ·
Replies
6
Views
3K
  • · Replies 1 ·
Replies
1
Views
2K
  • · Replies 8 ·
Replies
8
Views
2K
  • · Replies 39 ·
2
Replies
39
Views
16K
  • · Replies 22 ·
Replies
22
Views
21K
  • · Replies 23 ·
Replies
23
Views
5K
Replies
7
Views
2K
  • · Replies 5 ·
Replies
5
Views
2K
  • · Replies 7 ·
Replies
7
Views
5K