Hooke's Law acceleration question

Click For Summary

Homework Help Overview

The discussion revolves around a problem involving Hooke's Law and the dynamics of a mass-spring system. A spring with a force constant is stretched and a mass is attached, prompting questions about the acceleration of the mass at the moment of release.

Discussion Character

  • Mixed

Approaches and Questions Raised

  • Participants explore various methods to relate the potential energy stored in the spring to kinetic energy and acceleration. Questions arise about the role of gravity and the forces acting on the mass at the moment of release.

Discussion Status

There is an ongoing exploration of different approaches, with some participants suggesting calculations based on forces and energy conservation. Guidance has been offered regarding the forces acting on the mass and the implications of gravity on the system's behavior.

Contextual Notes

Participants note the importance of considering the spring's stretch and the gravitational force when determining the direction of acceleration. There are indications of confusion regarding the application of equations and the assumptions made in the problem setup.

serunder

Homework Statement


A small spring with a force constant of 72 N/m is held vertically and then stretched 16 cm. A 1.6kg mass is attached to it and then released. Calculate the acceleration of the mass at the moment of release.

Homework Equations


F = ma, Ee = 1/2kx^2

The Attempt at a Solution



I honestly have no clue, sorry. The way I was going to go at it was to somehow get F from Ee but I keep getting lost.[/B]
 
Physics news on Phys.org
serunder said:
but I keep getting lost
Nevertheless, you do need to post your attempt. Did you draw a diagram? What forces are there?
 
  • Like
Likes   Reactions: serunder
haruspex said:
Nevertheless, you do need to post your attempt. Did you draw a diagram? What forces are there?

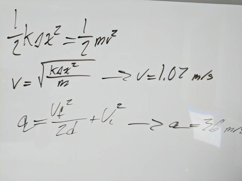
So I got 0.92 J for the energy of the spring when it was stretched and then I was going to make that equal to Ek and then solve for velocity but once I got velocity = 1.07 m/s. Would I then find acceleration by making the 16 cm my displacement and having this velocity as my final velocity?
 
Start with calculating the weight of the mass, then using that (force due to gravity), calculate the rest position of the spring, with the mass attached.
 
  • Like
Likes   Reactions: serunder
serunder said:
So I got 0.92 J for the energy of the spring when it was stretched and then I was going to make that equal to Ek and then solve for velocity but once I got velocity = 1.07 m/s. Would I then find acceleration by making the 16 cm my displacement and having this velocity as my final velocity?
One problem with that approach is that it ignores gravity. The spring is vertical. As it contracts it does some work against gravity, so not all turns into KE.
A worse problem with it is that, presumably, you intended to use SUVAT equations to deduce the acceleration. But those are only valid for constant acceleration. Since the force of the spring is not constant, the acceleration will not be.

As scottdave suggests, much simpler just to think about the forces which act.
 
  • Like
Likes   Reactions: serunder and scottdave
Hi @serunder were you able to use this information to come up with a solution?
 
  • Like
Likes   Reactions: serunder
scottdave said:
Hi @serunder were you able to use this information to come up with a solution?
Hey so I asked my physics teacher how to solve this and he said to use my original method of making Ee = Ek to solve for v and then use that to solve for acceleration. So here is that attempt
okr7yMS.jpg


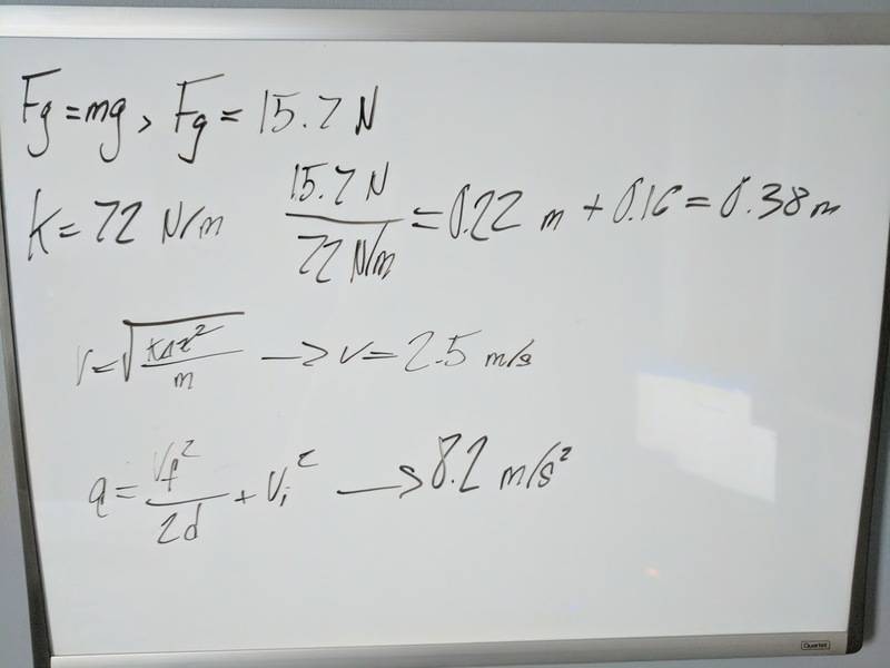
Although what both you and @haruspex said made sense in how this is incorrect as it ignores gravity but my physics teacher accepted this method. Still, here is my attempt using what you guys said
2ch9jrd.jpg
 
I think I may have not led you in the right direction, talking about the equilibrium position.
It really is pretty simple. Immediately after letting go, what forces are acting on the mass? The spring (pulling up) and gravity (pulling down). You have a net force (which you can now calculate) and you know the mass, so you can find the value of acceleration.
The one which is stronger, will determine which direction it accelerates in.
 
  • Like
Likes   Reactions: serunder
Wouldn't it's direction be upwards as it's asking what the acceleration is the moment of release so it would not have had time to fall yet?
 
  • #10
Also, back when you write a = Vf2 / (2d) + Vi2. This is from the solution that you and the teacher worked out. Teachers are human, too. They do make mistakes now and then.
Look at the dimensions of each term. I love looking at the dimensions, to see if my workings out make sense.
Vf is Length/time, so square that and get Length2/time2. Now divide by d {length} to get Length/time2. Assuming the 2 is dimensionless, then that is acceleration. But the next term Vi2 is not going to be acceleration, so we cannot add them together.
 
  • Like
Likes   Reactions: serunder
  • #11
scottdave said:
Also, back when you write a = Vf2 / (2d) + Vi2. This is from the solution that you and the teacher worked out. Teachers are human, too. They do make mistakes now and then.
Look at the dimensions of each term. I love looking at the dimensions, to see if my workings out make sense.
Vf is Length/time, so square that and get Length2/time2. Now divide by d {length} to get Length/time2. Assuming the 2 is dimensionless, then that is acceleration. But the next term Vi2 is not going to be acceleration, so we cannot add them together.
Vi is the initial velocity of the mass which means that it would be 0 since it starts from rest which means it can be left out overall. Although I do like the idea of looking at things in dimensions since it makes it easier to figure out what my answer should be so thank you.
 
  • #12
serunder said:
Wouldn't it's direction be upwards as it's asking what the acceleration is the moment of release so it would not have had time to fall yet?
This is all going to depend on how far the spring has stretched (which determines the amount of force). Here is another tip that I like to use. Think in extremes. Try connecting a brick to a rubber band. Assume that the rubber band does not break, which way is the acceleration going to be? Note that it will be less than due to gravity alone (the band provides some upward force, but not enough to pull it up).
 
  • Like
Likes   Reactions: serunder
  • #13
scottdave said:
This is all going to depend on how far the spring has stretched (which determines the amount of force). Here is another tip that I like to use. Think in extremes. Try connecting a brick to a rubber band. Assume that the rubber band does not break, which way is the acceleration going to be? Note that it will be less than due to gravity alone (the band provides some upward force, but not enough to pull it up).
Ohhhh okay, I think I understand what you're saying now so The normal force here would be 72 N/m * 0.16 m = 11.52 N so it would be accelerating downwards as the Fg is 15.7 N? Or did I mess up?
 
  • #14
serunder said:
Ohhhh okay, I think I understand what you're saying now so The normal force here would be 72 N/m * 0.16 m = 11.52 N so it would be accelerating downwards as the Fg is 15.7 N? Or did I mess up?
Yes :smile:
 
  • Like
Likes   Reactions: serunder
  • #15
scottdave said:
Yes :smile:
This makes so much more sense! Thank you very much!
 
  • #16
serunder said:
Ohhhh okay, I think I understand what you're saying now so The normal force here would be 72 N/m * 0.16 m = 11.52 N so it would be accelerating downwards as the Fg is 15.7 N?
Right. Slightly simpler, since what you want is the acceleration, is (tension/mass)-g= 72N/m x 0.16m/1.6kg-9.8m/s27.2-9.8=-2.6m/s2.
serunder said:
he said to use my original method of making Ee = Ek
That's a worry.
 

Similar threads

  • · Replies 35 ·
2
Replies
35
Views
5K
  • · Replies 3 ·
Replies
3
Views
3K
  • · Replies 3 ·
Replies
3
Views
10K
  • · Replies 5 ·
Replies
5
Views
3K
  • · Replies 4 ·
Replies
4
Views
2K
  • · Replies 17 ·
Replies
17
Views
2K
  • · Replies 3 ·
Replies
3
Views
2K
Replies
29
Views
5K
  • · Replies 4 ·
Replies
4
Views
3K
  • · Replies 42 ·
2
Replies
42
Views
6K