How Do You Solve Tricky Integrals in AP Calculus?

  • Thread starter Thread starter smodak
  • Start date Start date
  • Tags Tags
    Integral
Click For Summary

Homework Help Overview

The discussion revolves around evaluating a challenging integral in the context of AP Calculus. Participants are exploring methods to approach the problem, which involves non-elementary functions and numerical integration techniques.

Discussion Character

  • Exploratory, Conceptual clarification, Mathematical reasoning

Approaches and Questions Raised

  • Participants discuss breaking down the integral and consider numerical methods for estimation. There are attempts to substitute variables and evaluate parts of the integral, while others express uncertainty about achieving an exact solution.

Discussion Status

Some participants have provided insights into potential methods, such as numerical integration and variable substitution. There is acknowledgment of the complexity of the integral, and the discussion includes references to specific functions and the context of the problem within AP Calculus.

Contextual Notes

Participants note that the problem may relate to the second fundamental theorem of calculus and mention that it was intended to be solved using a calculator, indicating constraints on the methods discussed.

smodak
Messages
457
Reaction score
252
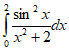
Evaluate
upload_2017-11-22_16-26-33.png


What I tried so far is to break the denominator as (1+Cos2x). The integral of 1/(x^2+2) can be done with substituting x = sqrt(2)u and will evaluate to a constant times arctan (x/sqrt(2)) but I have no idea how to evaluate the rest. This is calculus AP (with real numbers only). My daughter asked me about this problem and I am stuck :). Any help is much appreciated.
 

Attachments

  • upload_2017-11-22_16-26-33.png
    upload_2017-11-22_16-26-33.png
    635 bytes · Views: 811
Physics news on Phys.org
It looks quite difficult. A numerical integration (estimate) with increments ## \Delta x =.001 ## or smaller would be straightforward, but I don't see how to get an exact answer.
 
  • Like
Likes   Reactions: smodak
Charles Link said:
It looks quite difficult. A numerical integration (estimate) with increments ## \Delta x =.001 ## or smaller would be straightforward, but I don't see how to get an exact answer.

It involves non-elementary functions. Maple evaluates the indefinite integral as
1/2*arctan(x)+1/4*Si(2*x-2*I)*sinh(2)+1/4*I*Ci(2*x-2*I)*cosh(2)+1/4*Si(2*x+2*I)*sinh(2)-1/4*I*cosh(2)*Ci(2*x+2*I),
where Si and Ci are the so-called "sine" and "cosine" integrals, defined as
$$\text{Si}(x) = \int_0^x \frac{\sin(t)}{t} \, dt,$$
and
$$\text{Ci}(x) = \gamma + \ln (x) + \int_0^x \frac{\cos(t) -1}{t} \, dt, $$
where ##\gamma## is Euler's constant.
 
  • Like
Likes   Reactions: smodak and Charles Link
smodak said:
Evaluate View attachment 215463

What I tried so far is to break the denominator as (1+Cos2x). The integral of 1/(x^2+2) can be done with substituting x = sqrt(2)u and will evaluate to a constant times arctan (x/sqrt(2)) but I have no idea how to evaluate the rest. This is calculus AP (with real numbers only). My daughter asked me about this problem and I am stuck :). Any help is much appreciated.

Can you give the name of the section were this problem is given? I am thinking it has to do with series.
 
  • Like
Likes   Reactions: smodak
MidgetDwarf said:
Can you give the name of the section were this problem is given? I am thinking it has to do with series.
This is given in the section of the 2nd fundamental theorem of calculus. I actually wrote to the person who created this problem. She just wrote to me that this she meant for it to be solved with a calculator (TI-84).
 
  • Like
Likes   Reactions: Charles Link

Similar threads

Replies
10
Views
2K
  • · Replies 3 ·
Replies
3
Views
1K
  • · Replies 12 ·
Replies
12
Views
2K
Replies
20
Views
2K
  • · Replies 22 ·
Replies
22
Views
3K
  • · Replies 9 ·
Replies
9
Views
3K
  • · Replies 27 ·
Replies
27
Views
4K
  • · Replies 6 ·
Replies
6
Views
2K
Replies
4
Views
2K
  • · Replies 6 ·
Replies
6
Views
2K