How many positive integers x satisfy this logarithmic inequality?

Click For Summary

Homework Help Overview

The discussion revolves around a logarithmic inequality involving positive integers and logarithmic properties. The original poster presents a specific inequality and seeks assistance in understanding the steps needed to solve it, particularly focusing on the implications of manipulating inequalities.

Discussion Character

  • Exploratory, Assumption checking, Mathematical reasoning

Approaches and Questions Raised

  • Participants discuss substituting specific integer values for x to explore the behavior of the inequality. There are also considerations regarding the manipulation of logarithmic expressions and the conditions under which inequalities hold true.

Discussion Status

Several participants have provided insights into the manipulation of the logarithmic expressions and the implications of multiplying by terms that may affect the inequality. There is an acknowledgment of the complexity of the problem, and some participants have expressed understanding of the steps involved.

Contextual Notes

The original poster notes that inequalities are not formally taught in their course, which may limit the depth of the discussion. This context suggests that participants are navigating the problem with varying levels of familiarity with the underlying concepts.

Mr X
Messages
42
Reaction score
13
Homework Statement
How many positive integers x satisfy ##\log_{\frac x 8} (\frac{x^2} 4) < 7 + \log_2(\frac 8 x)##
Relevant Equations
Basic logarithamic rules
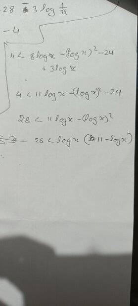
The whole solution is a bit long, which I'll attach but the part I'm stuck at is, assuming everything else above it is correct, is
4 < (log x - 3)(8-log x)

Note ; inequalities aren't technically taught yet in the course, so please try to make the solution not go too deep into that. If that isn't possible there's a high chance I've gone wrong before that step, hence I've uploaded the entire solution.
 

Attachments

  • IMG20230808094713.jpg
    IMG20230808094713.jpg
    24.8 KB · Views: 136
  • IMG20230808094717.jpg
    IMG20230808094717.jpg
    19.7 KB · Views: 156
  • IMG20230808101736.jpg
    IMG20230808101736.jpg
    12.4 KB · Views: 154
Physics news on Phys.org
Did you try plugging in ##x = 1, 2, 3 \dots## and see what happens?
 
Mr X said:
Homework Statement: How many positive integers x satisfy ##\log_{\frac x 8} (\frac{x^2} 4) < 7 + \log_2(\frac 8 x)##
Relevant Equations: Basic logarithamic rules

The whole solution is a bit long, which I'll attach but the part I'm stuck at is, assuming everything else above it is correct, is
4 < (log x - 3)(8-log x)

Assuming your logs are to base 2 then this is one of the possible solutions. It is convenient to use logs to base 2; then the left hand side is [tex] \log_{x/8}(x^2/4) = 2\frac{ \log_2(x/4)}{\log_2(x/8)} = \frac{2 (\log_2 x - 1)}{\log_2 x - 3}[/tex] and the right hand side is [tex]7 + \log_2(8/x) = 10 - \log_2 x[/tex] so that if [itex]y = \log_2 x[/itex] then [tex] \frac{2(y-1)}{y-3} < 10 - y.[/tex]

To solve this, we must multiply both sides by [itex]y - 3[/itex]. But this only preserves the inequality if [itex]y - 3 > 0[/itex], and in that case [tex] y^2 - 11y + 28 < 0[/tex] which is as far as you got, but you then did not factorise this as [tex] (y - 4)(y - 7) < 0.[/tex]

Alternatively, if [itex]y < 3[/itex] then we must reverse the inequality when multiplying both sides by [itex]y - 3[/itex], which leads to [tex](y - 4)(y - 7) > 0.[/tex]
 
  • Like
Likes   Reactions: Mr X and nuuskur
pasmith said:
Assuming your logs are to base 2 then this is one of the possible solutions. It is convenient to use logs to base 2; then the left hand side is [tex] \log_{x/8}(x^2/4) = 2\frac{ \log_2(x/4)}{\log_2(x/8)} = \frac{2 (\log_2 x - 1)}{\log_2 x - 3}[/tex] and the right hand side is [tex]7 + \log_2(8/x) = 10 - \log_2 x[/tex] so that if [itex]y = \log_2 x[/itex] then [tex] \frac{2(y-1)}{y-3} < 10 - y.[/tex]

To solve this, we must multiply both sides by [itex]y - 3[/itex]. But this only preserves the inequality if [itex]y - 3 > 0[/itex], and in that case [tex] y^2 - 11y + 28 < 0[/tex] which is as far as you got, but you then did not factorise this as [tex] (y - 4)(y - 7) < 0.[/tex]

Alternatively, if [itex]y < 3[/itex] then we must reverse the inequality when multiplying both sides by [itex]y - 3[/itex], which leads to [tex](y - 4)(y - 7) > 0.[/tex]
sorry I didn't reply after, but got it, thankyou.
 

Similar threads

  • · Replies 2 ·
Replies
2
Views
3K
  • · Replies 12 ·
Replies
12
Views
5K
Replies
23
Views
4K
  • · Replies 2 ·
Replies
2
Views
4K
  • · Replies 4 ·
Replies
4
Views
19K
Replies
15
Views
5K
Replies
3
Views
3K
  • · Replies 30 ·
2
Replies
30
Views
7K
  • · Replies 67 ·
3
Replies
67
Views
17K
  • · Replies 71 ·
3
Replies
71
Views
14K