HP 50g calculator's answer is correct or author's answer is correct?

Click For Summary
SUMMARY

The discussion centers on evaluating the double integral ##\displaystyle\iint\limits_R e^{\frac{x-y}{x+y}} dA## over the region defined by ##R = \{(x,y): x \geq 0, y \geq 0, x+y \leq 1\}##. The author claims the result is ##\frac{e^2 -1}{4e} = 0.587600596824##, while the HP 50g emulator provides a different result of approximately 1.11888345561. The discrepancy arises from incorrect limits of integration, as the author mistakenly defines the region as a square instead of the correct triangular region.

PREREQUISITES
  • Understanding of double integrals and their applications
  • Familiarity with the HP 50g calculator and its emulator
  • Knowledge of the exponential function and its properties
  • Basic concepts of integration limits in multivariable calculus
NEXT STEPS
  • Review the correct setup for double integrals over triangular regions
  • Practice using the HP 50g calculator for complex integrals
  • Explore the properties of the exponential function in integrals
  • Learn about numerical integration techniques for verification of results
USEFUL FOR

Students and professionals in mathematics, particularly those studying calculus, as well as users of the HP 50g calculator seeking to understand integration techniques and error analysis in computational results.

WMDhamnekar
MHB
Messages
381
Reaction score
30
Summary: Evaluate ##\displaystyle\iint\limits_R e^{\frac{x-y}{x+y}} dA ## where ##R {(x,y): x \geq 0, y \geq 0, x+y \leq 1}##

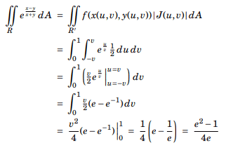
Author has given the answer to this question as ## \frac{e^2 -1}{4e} =0.587600596824 ## But hp 50g pc emulator gave the answer after more than 11 minutes of time 1.11888345561.
1653488944002.png
1653488956915.png


Author's answer
1653488974154.png


1653488990076.png
Now, How to decide which answer is correct?
 
Physics news on Phys.org
Your limits of integration are wrong on the inner integral. The integral you entered into the simulator has the region R being ##\{(x, y) | 0 \le x \le 1, 0 \le y \le 1 \}##. IOW, the square bounded by the lines x = 0, y = 0, x = 1, and y = 1. This is incorrect, since the region of integration is a triangle.

Integrating with respect to y first, your integral should look like this:
$$\int_{x=0}^1\int_{y=0}^{1 - x} e^{\frac{x-y}{x+y}}dy dx$$
 
  • Like
  • Informative
Likes   Reactions: Orodruin, WMDhamnekar and berkeman

Similar threads

Replies
12
Views
2K
  • · Replies 34 ·
2
Replies
34
Views
3K
Replies
5
Views
2K
Replies
9
Views
2K
  • · Replies 3 ·
Replies
3
Views
1K
  • · Replies 2 ·
Replies
2
Views
2K
  • · Replies 11 ·
Replies
11
Views
3K
  • · Replies 9 ·
Replies
9
Views
7K
  • · Replies 4 ·
Replies
4
Views
3K