I dont understand this integration

  • Thread starter Thread starter EastWindBreaks
  • Start date Start date
  • Tags Tags
    Integration
Click For Summary

Homework Help Overview

The discussion revolves around the integration of the second derivative, y'', to obtain the first derivative, y'. Participants are exploring the relationship between definite and indefinite integrals in the context of a textbook example involving acceleration and velocity functions.

Discussion Character

  • Conceptual clarification, Mathematical reasoning, Assumption checking

Approaches and Questions Raised

  • Some participants question the distinction between definite and indefinite integrals and how this affects the integration process. Others express confusion regarding the results obtained from integrating y'' and the implications of boundary conditions on the integration constants.

Discussion Status

The conversation is ongoing, with participants providing insights into the nature of definite versus indefinite integrals. There is recognition of the need for boundary conditions in integration, and some participants are beginning to clarify their understanding of the integration process.

Contextual Notes

Participants are discussing a specific example from a textbook, which may not provide all necessary context for the integration problem. There is an acknowledgment of potential gaps in understanding related to the application of integrals in this scenario.

EastWindBreaks
Messages
128
Reaction score
3

Homework Statement


in the textbook, it says:
QQ图片20171130021954.jpg

how does the integral of y'' gives you y' like that?

Homework Equations


upload_2017-11-30_2-21-57.png

given C_a is a dimensionless peak acceleration factor.

The Attempt at a Solution


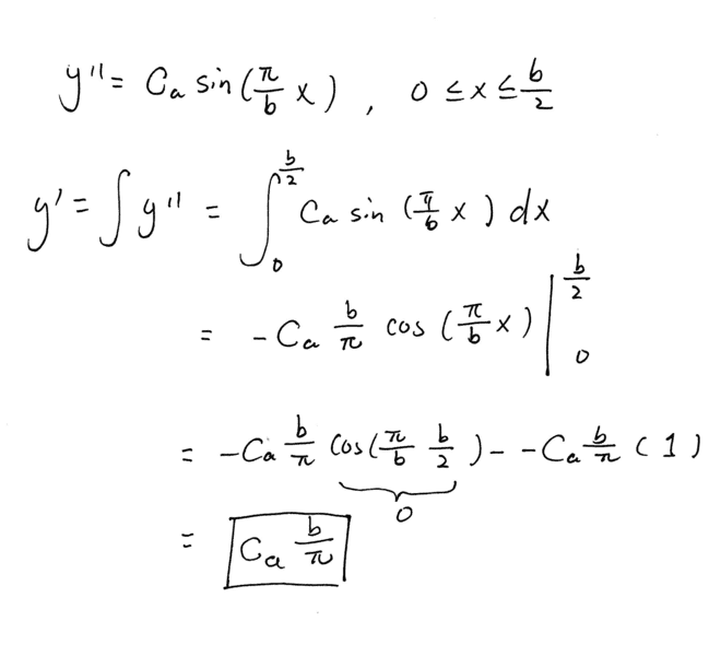
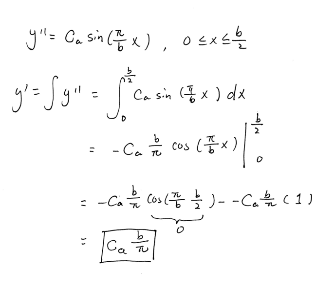
upload_2017-11-30_2-32-2.png

[/B]
 

Attachments

  • QQ图片20171130021954.jpg
    QQ图片20171130021954.jpg
    26.5 KB · Views: 830
  • upload_2017-11-30_2-21-57.png
    upload_2017-11-30_2-21-57.png
    38.9 KB · Views: 893
  • upload_2017-11-30_2-32-2.png
    upload_2017-11-30_2-32-2.png
    13.3 KB · Views: 870
Physics news on Phys.org
EastWindBreaks said:

Homework Statement


in the textbook, it says:View attachment 215838
how does the integral of y'' gives you y' like that?

Homework Equations


View attachment 215839
given C_a is a dimensionless peak acceleration factor.

The Attempt at a Solution


View attachment 215840[/B]

You seem to be confusing definite and indefinite integrals. The indefinite integral is an antiderivative of the function, but a definite integral is a number.
 
  • Like
Likes   Reactions: EastWindBreaks
PeroK said:
You seem to be confusing definite and indefinite integrals. The indefinite integral is an antiderivative of the function, but a definite integral is a number.
but if I do it as indefinite integral, the result would be more confusing to me: y'= -C*(b/π)*cos(πx/b), which is totally different from what the book has.
 
EastWindBreaks said:
but if I do it as indefinite integral, the result would be more confusing to me: y'= -C*(b/π)*cos(πx/b), which is totally different from what the book has.

I'm not sure what the problem is. If you differentiate ##y'## you get ##y'' = C\sin(\pi x/b)##.

And if you take the indefinite integral of that you get ##y'##, up to an the arbitrary constant of integration.
 
PeroK said:
I'm not sure what the problem is. If you differentiate ##y'## you get ##y'' = C\sin(\pi x/b)##.

And if you take the indefinite integral of that you get ##y'##, up to an the arbitrary constant of integration.
the question is to integrate the given y'' (the acceleration function) to get the velocity function y'. (assuming that's how the book get y')
its not an actual problem or anything, I am just reading the textbook and I don't understand how they got the velocity function.
 
Your integral is the definite integral up to x=b/2 and it looks like their integral is the integral up to a variable x (0≤x≤b/2)
 
  • Like
Likes   Reactions: EastWindBreaks
EastWindBreaks said:
the question is to integrate the given y'' (the acceleration function) to get the velocity function y'. (assuming that's how the book get y')
its not an actual problem or anything, I am just reading the textbook and I don't understand how they got the velocity function.

So, what do you get if you integrate ##y''##? Remember you need a boundary condition of some sort to quantify the constant of integration.
 
FactChecker said:
Your integral is the definite integral up to x=b/2 and it looks like their integral is the integral up to a variable x (0≤x≤b/2)
oh I see! thank you! but why up to x instead of b/2?
 
PeroK said:
So, what do you get if you integrate ##y''##? Remember you need a boundary condition of some sort to quantify the constant of integration.
I got this:
upload_2017-11-30_3-18-37.png

but it seems like I should be integrating up to x instead of b/2, I don't know why though, I must have forgot something important in integrals...
 

Attachments

  • upload_2017-11-30_3-18-37.png
    upload_2017-11-30_3-18-37.png
    13.3 KB · Views: 898
  • #10
EastWindBreaks said:
oh I see! thank you! but why up to x instead of b/2?

If you integrate a function on a definite interval, you simply get a number. Take a simple example like:

##\int_0^{\pi/2} \cos(x) dx = 1##

But:

##\int_0^{x} \cos(u) du = \sin(x)##

Note the need for a new dummy variable for the integrand.

Altertnatively:

##\int \cos(x) dx = \sin(x) + C##

Where ##C## is specified by some boundary condition.
 
Last edited:
  • Like
Likes   Reactions: FactChecker and EastWindBreaks
  • #11
EastWindBreaks said:
I got this: View attachment 215841
but it seems like I should be integrating up to x instead of b/2, I don't know why though, I must have forgot something important in integrals...

Yeah, you forgot that a definite integral is a number.
 
  • Like
Likes   Reactions: EastWindBreaks
  • #12
PeroK said:
If you integrate a function on a definite interval, you simply get a number. Take a simple example like:

##y''(x) = \cos(x)##

##\int_0^{\pi/2} \cos(x) dx = 1##

But:

##\int_0^{x} \cos(u) du = \sin(x)##

Note the need for a new dummy variable for the integrand.

Altertnatively:

##\int \cos(x) dx = \sin(x) + C##

Where ##C## is specified by some boundary condition.
wow, thank you, I forgot b/2 is a definite interval on the graph.
 
  • #13
Right. And if they will do more integrals of this result, they need the formula for the general integral, not just the value of the definite integral. So this is not a definite integral.
 
  • Like
Likes   Reactions: EastWindBreaks

Similar threads

Replies
4
Views
810
  • · Replies 1 ·
Replies
1
Views
1K
Replies
2
Views
997
Replies
6
Views
1K
  • · Replies 7 ·
Replies
7
Views
1K
  • · Replies 2 ·
Replies
2
Views
1K
Replies
14
Views
2K
Replies
25
Views
2K
  • · Replies 1 ·
Replies
1
Views
2K
  • · Replies 2 ·
Replies
2
Views
847