Integration of x^2/(xsinx+cosx)^2

  • Thread starter Thread starter JasonHathaway
  • Start date Start date
  • Tags Tags
    Integration
Click For Summary

Homework Help Overview

The discussion revolves around the integral of the function x² divided by (x sin x + cos x)², a topic within calculus. Participants explore the transformation of the integral and the reasoning behind it.

Discussion Character

  • Exploratory, Mathematical reasoning

Approaches and Questions Raised

  • Participants discuss potential methods such as trigonometric substitutions and integration by parts. There is curiosity about how the integral transforms into a different form involving secant and cosine functions.

Discussion Status

The discussion is ongoing, with participants examining the manipulation of the integral. Some have confirmed a specific transformation involving multiplying by cos(x) and its implications.

Contextual Notes

One participant notes that this problem is not part of a homework assignment, indicating a more exploratory approach to understanding the integral's properties.

JasonHathaway
Messages
113
Reaction score
0
Hi everyone,

First of all, this isn't really a "homework", I've completed my calculus course and I'm just curious about this problem.

Homework Statement



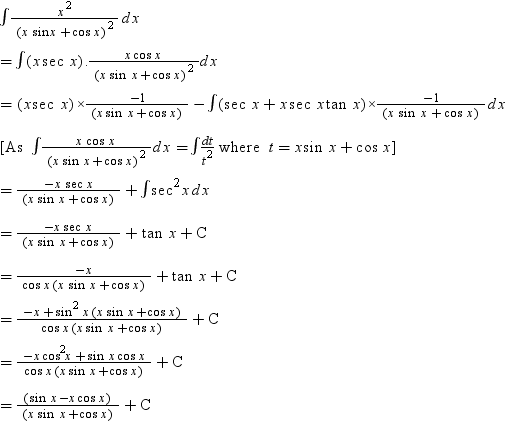
[itex]\int\frac{x^{2}}{(xsinx+cosx)^{2}} dx[/itex]

Homework Equations



Trigonometric substitutions, integration by parts maybe?

The Attempt at a Solution



This is a solved problem.

iK9Z0GF.png


How does [itex]\int\frac{x^{2}}{(xsinx+cosx)^{2}} dx[/itex] become [itex]\int xsecx \frac{xcosx}{(xsinx+cosx)^{2}} dx[/itex]?
 
Physics news on Phys.org
Just because [tex]sec(x)=\frac{1}{cos(x)}[/tex]
 
Did it multiply the numerator and denominator by [itex]\frac{cosx}{cosx}[/itex], which is [itex]cosx secx[/itex], and then both of [itex]cosx[/itex] and [itex]secx[/itex] took one "x" from the original numerator?
 
JasonHathaway said:
Did it multiply the numerator and denominator by [itex]\frac{cosx}{cosx}[/itex], which is [itex]cosx secx[/itex], and then both of [itex]cosx[/itex] and [itex]secx[/itex] took one "x" from the original numerator?
Yes.

In other words, ##\ \cos(x)\cdot\sec(x) = 1 \ .##
 

Similar threads

Replies
3
Views
2K
  • · Replies 1 ·
Replies
1
Views
2K
  • · Replies 3 ·
Replies
3
Views
2K
  • · Replies 4 ·
Replies
4
Views
6K
  • · Replies 11 ·
Replies
11
Views
3K
  • · Replies 5 ·
Replies
5
Views
2K
  • · Replies 105 ·
4
Replies
105
Views
12K
Replies
4
Views
9K
  • · Replies 22 ·
Replies
22
Views
3K
Replies
7
Views
3K