Intro to quantum mechanics - Spin and linear algebra

Click For Summary

Homework Help Overview

The discussion revolves around the representation of quantum mechanical operators, specifically the spin operators in different bases, such as the Sz and Sy bases. Participants are exploring how to identify the basis used in a given expression and the implications of expressing operators in various bases.

Discussion Character

  • Exploratory, Conceptual clarification, Mathematical reasoning, Assumption checking

Approaches and Questions Raised

  • Participants are attempting to understand the significance of the matrix forms of operators in identifying the basis. Questions are raised about how the Sz basis is determined and how it differs from the Sy basis. There is also discussion about the representation of the Hamiltonian operator in these bases.

Discussion Status

Some participants have provided insights into the characteristics of the Sz basis, noting the diagonal nature of the matrix representing the operator. Others are questioning their understanding of expressing operators in different bases and exploring the relationship between the eigenbasis and the representation of operators.

Contextual Notes

There is an indication that participants may have varying levels of familiarity with linear algebra concepts as they relate to quantum mechanics, and some express a need to revisit foundational topics.

Graham87
Messages
72
Reaction score
16
Homework Statement
Measure Sz from the following expression see pic.
Relevant Equations
spin=1/2
Operators Sy and Sz represent standard spin vectors and w is a positive constant.
6C59DBA6-3C9B-4677-901C-28CDF62BE0EF.jpeg

B62E1632-4028-4D77-834C-134B03820038.jpeg

So this expression is apparently in Sz basis? How can you see that?
How would it look in Sy basis for example?
The solution is following. They are putting Sz as a basis, bur how do you know that Sz is the basis here?

Thanks
0E31E590-3F3F-4ACD-B41D-03055C42EFE1.jpeg


070A3866-5C8B-49C3-9EA5-19F488FF80A8.jpeg
 
Physics news on Phys.org
You know it's the z basis because of the matrix form of the operators.
 
  • Like
Likes   Reactions: topsquark and Graham87
PeroK said:
You know it's the z basis because of the matrix form of the operators.
Aha, so what signifies z basis? Is it this:
4AC685EF-E674-4A03-AAA1-D99154455CFB.jpeg

It looks like z and y basis added together?
How would a y basis look?

Thanks!
I will polish my linear algebra soon.
 
The matrix representing ##S_z## is a diagonal matrix with ##\pm \frac \hbar 2## on the diagonals. That indicates the z basis.
 
  • Like
Likes   Reactions: topsquark and Graham87
PeroK said:
The matrix representing ##S_z## is a diagonal matrix with ##\pm \frac \hbar 2## on the diagonals. That indicates the z basis.
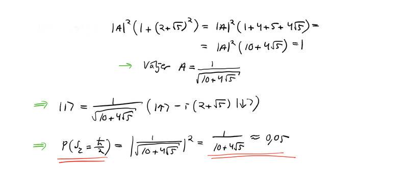
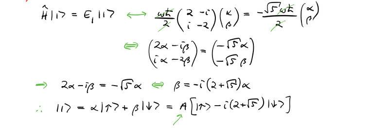
Yes. They are asking for Sz of H, so I thought you first need to make a basis change with Sz basis. I think they did that in the solution. But I can’t tell what basis it is. I thought alpha and beta are the new basis matrix?
 
The first thing they did was express ##H## in the z basis, using the familiar form of ##S_y## and ##S_z## in that basis.

Next, they find the eigenvalues and eigenvectors of ##H##, with the vectors represented in the z basis.
 
  • Like
Likes   Reactions: topsquark and Graham87
PeroK said:
The first thing they did was express ##H## in the z basis, using the familiar form of ##S_y## and ##S_z## in that basis.

Next, they find the eigenvalues and eigenvectors of ##H##, with the vectors represented in the z basis.
Aha, I don’t get how
271F576B-1AEE-4266-906A-F1174A8971E8.jpeg
is expressed in the z basis. It looks like the diagonal of z and diagonal of y.
 
Graham87 said:
Aha, I don’t get how View attachment 313217is expressed in the z basis. It looks like the diagonal of z and diagonal of y.
I suspect you don't understand what it means for a matrix to be expressed in a particular basis.

You seem to be leaning towards wanting to express ##H## in its own eigenbasis.
 
  • Like
Likes   Reactions: Graham87 and topsquark
The matrix is the representation of the operator ##\hat{H}## in the eigenbasis of ##\hat{s}_z##. You must distinguish between operators, living in the abstract 2D Hilbert space and their components wrt. some basis. Then all this confusion wouldn't occur. The matrix elements are by definition ##H_{\sigma_1 \sigma_2} = \langle \sigma_1 | \hat{H} | \sigma_2 \rangle##.
 
  • Like
Likes   Reactions: Graham87 and malawi_glenn

Similar threads

  • · Replies 3 ·
Replies
3
Views
2K
  • · Replies 10 ·
Replies
10
Views
5K
  • · Replies 2 ·
Replies
2
Views
2K
Replies
5
Views
3K
  • · Replies 1 ·
Replies
1
Views
2K
  • · Replies 1 ·
Replies
1
Views
4K
  • · Replies 1 ·
Replies
1
Views
3K
  • · Replies 2 ·
Replies
2
Views
1K
  • · Replies 27 ·
Replies
27
Views
3K
  • · Replies 3 ·
Replies
3
Views
2K