đť‘— - đťś” method alternating current circuit help

Click For Summary

Homework Help Overview

The discussion revolves around calculating current and phase angle in an alternating current circuit using the đť‘— - đťś” method. Participants are examining the relationships between real and imaginary components in complex numbers related to circuit analysis.

Discussion Character

  • Exploratory, Assumption checking, Conceptual clarification

Approaches and Questions Raised

  • Participants share their calculated values for current and phase angle, questioning the accuracy of the phase angle being exactly 90 degrees. There is discussion about the significance of the magnitude of real and imaginary components in relation to the phase angle.

Discussion Status

Multiple participants have confirmed similar results for the current's magnitude and angle, while also expressing caution regarding the phase angle's approximation. Suggestions for tools to assist with complex number calculations have been offered, indicating a productive direction in the discussion.

Contextual Notes

There is an ongoing examination of the implications of the relative sizes of the real and imaginary components in the context of the calculations being performed.

magnuol
Messages
3
Reaction score
0
Homework Statement
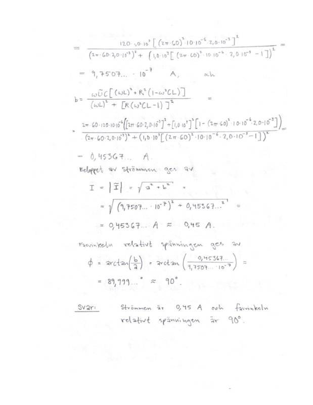
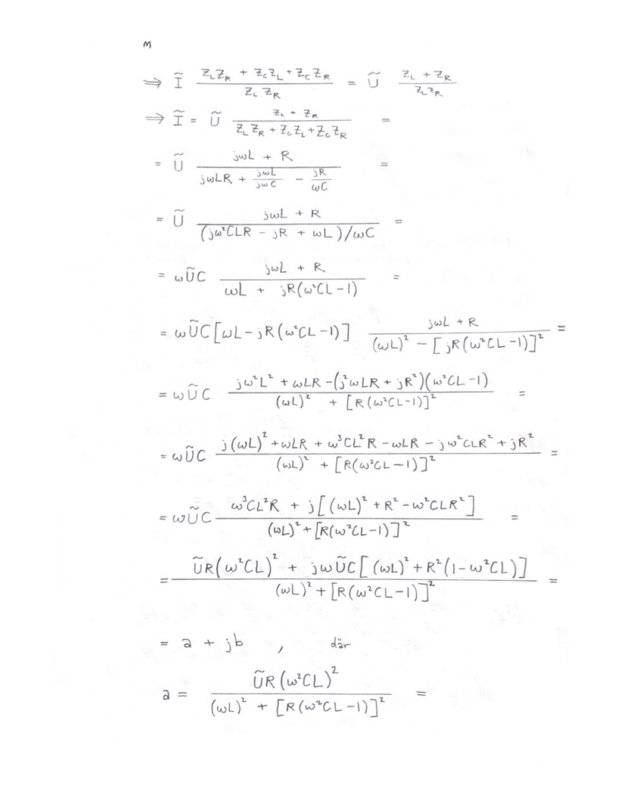
I'm supposed to calculate the current and the phase angle.
Relevant Equations
Can someone please tell me if this is the correct solution?
I'm supposed to calculate the current and the phase angle. Can someone please tell me if this is the correct solution?
242572

242573

242574
 
Physics news on Phys.org
I got the same answer as you. I did not follow every step of your work. While the angle does round to 90 degree, I think it's important to know that it can never equal 90, and will be slightly less.
 
scottdave said:
I got the same answer as you. I did not follow every step of your work. While the angle does round to 90 degree, I think it's important to know that it can never equal 90, and will be slightly less.
You got the same answer regarding the value of the current as well?
 
Your current magnitude and angle are both correct.
 
gneill said:
Your current magnitude and angle are both correct.
Does it seem accurate that the order of the real component (a) is 10^(-7) when the imaginary component (b) is that much bigger?
 
Yes. That's why the phase angle is so close to 90°.
 
magnuol said:
You got the same answer regarding the value of the current as well?
Yes, I got the same magnitude and angle for current I
 
scottdave said:
Yes, I got the same magnitude and angle for current I
For whatever it's worth, I got the same real and imaginary parts for the current as @magnuol .
 
Hey @magnuol if this is something you will be working with, then you could benefit from finding a way to work out the complex number calculations - either a nice scientific calculator, or some software. Both Python and R are freely available programming environments, and both can handle complex number calculations (check out http://www.johnmyleswhite.com/notebook/2009/12/18/using-complex-numbers-in-r/ for some examples in R). Also, https://www.wolframalpha.com/ can handle those calculations as well.
 
  • Like
Likes   Reactions: magnuol and gneill

Similar threads

  • · Replies 8 ·
Replies
8
Views
3K
  • · Replies 8 ·
Replies
8
Views
2K
Replies
13
Views
1K
  • · Replies 39 ·
2
Replies
39
Views
5K
  • · Replies 4 ·
Replies
4
Views
2K
  • · Replies 5 ·
Replies
5
Views
2K
  • · Replies 4 ·
Replies
4
Views
2K
Replies
4
Views
1K
  • · Replies 13 ·
Replies
13
Views
1K
  • · Replies 6 ·
Replies
6
Views
2K