LCR series circuits and average power

Click For Summary

Homework Help Overview

The problem involves designing a series LCR circuit for radio receivers, specifically to maximize power for one station while minimizing power for another. The original poster is tasked with determining the capacitance, quality factor, and resistance for the circuit, given specific frequency requirements for two radio stations.

Discussion Character

  • Exploratory, Conceptual clarification, Problem interpretation

Approaches and Questions Raised

  • The original poster attempts to find the capacitance C and expresses confusion over the relationships between the variables involved. Some participants suggest starting with C as a simpler approach and exploring the relationship between average powers from the two stations.

Discussion Status

Participants are actively discussing the relationships between the circuit parameters and the frequencies of the stations. There is an ongoing exploration of how to set the resonant frequency to maximize power for station 1 while minimizing it for station 2. Some guidance has been offered regarding the use of resonant frequency and the implications of tuning the circuit.

Contextual Notes

There is a noted confusion regarding the values of the inductor and the assumptions about the circuit's behavior at different frequencies. Participants are questioning the definitions and relationships of the variables involved, particularly in relation to the power output at different frequencies.

physicsStudent00

Homework Statement



One type of tuning circuit used in radio receivers is a series LCR circuit. You like listening to a station1 that transmits 99.3 MHz in . The government wants to make 100.1 MHz available to station2. Assume that the transmitters of the two stations are equally powerful and that you live the same distance from both stations. You have an inductor with L = 1.00 mH and your goal is to design a circuit that: (1) gives maximum power for station1; and (2) the average power delivered to the resistor in response to statio2 is 1% of the average power in response to station2 (making station2 inaudible when you are tuned to statio1).

Determine the capacitance C, the quality factor Q, and the resistance R that satisfy the design requirements (Hint: you do not need to know V to use condition (2); just take ratios)

Homework Equations


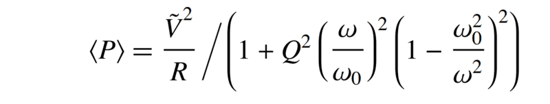
upload_2017-9-30_15-26-27.png


upload_2017-9-30_15-26-49.png

upload_2017-9-30_15-27-4.png

The Attempt at a Solution


i've made a lot of attempts but all the variables and formulas possible i continuously get lost or stuck and don't know where to start.
 
Physics news on Phys.org
Please show your best attempt and maybe we can help you where you get stuck.

If you really just need some help getting started, solving for C should be pretty easy, So I suggest starting by solving for C.

Solving for R is a bit trickier, but before that, can you find a relationship between [itex]\langle P_1 \rangle[/itex] and [itex]\langle P_2 \rangle[/itex]? (Where [itex]\langle P_1 \rangle[/itex] is the average power from station 1 [after the filter] when the receiver is tuned to station 1, and [itex]\langle P_2 \rangle[/itex] is the average power from station 2 [after the filter] when the receiver is still tuned to station 1.)
 
  • Like
Likes   Reactions: physicsStudent00
collinsmark said:
Please show your best attempt and maybe we can help you where you get stuck.

If you really just need some help getting started, solving for C should be pretty easy, So I suggest starting by solving for C.

Solving for R is a bit trickier, but before that, can you find a relationship between [itex]\langle P_1 \rangle[/itex] and [itex]\langle P_2 \rangle[/itex]? (Where [itex]\langle P_1 \rangle[/itex] is the average power from station 1 [after the filter] when the receiver is tuned to station 1, and [itex]\langle P_2 \rangle[/itex] is the average power from station 2 [after the filter] when the receiver is still tuned to station 1.)
well the ratio of powers would simply be <P_2> = 0.1*<P_1>
however finding C isn't it the same for both of stations as the value of the capacitor in the circuit wouldn't change, which means how i was going about finding C is obviously wrong.

station 1
ω_0 = 1/√LC=2πf
∴C = 2.56*10^-12
station 2
C=2.52*10^-12

im not sure that i have all the of equations needed or if i can use ω_0 in that way. I am probably missing something simple here
 
Last edited by a moderator:
physicsStudent00 said:
well the ratio of powers would simply be <P_2> = 0.1*<P_1>
I think you mean [itex]\langle P_2 \rangle = 0.01 \ \langle P_1 \rangle[/itex]
however finding C isn't it the same for both of stations as the value of the capacitor in the circuit wouldn't change, which means how i was going about finding C is obviously wrong.
But the receiver is only ever tuned to station 1. You can pick the value of C such that the receiver passes the maximum signal strength of station 1. (In other words, when tuned to station 1, [itex]\omega_0 = \omega_1[/itex]).
station 1
ω_0 = 1/√LC=2πf
∴C = 2.56*10^-12
station 2
C=2.52*10^-12

im not sure that i have all the of equations needed or if i can use ω_0 in that way. I am probably missing something simple here
Is the inductor 1.00 millihenrys or 1.00 microhenrys? The problem statement says it's milli-, but you've calculated it as micro-.
 
  • Like
Likes   Reactions: physicsStudent00
collinsmark said:
I think you mean [itex]\langle P_2 \rangle = 0.01 \ \langle P_1 \rangle[/itex]

But the receiver is only ever tuned to station 1. You can pick the value of C such that the receiver passes the maximum signal strength of station 1. (In other words, when tuned to station 1, [itex]\omega_0 = \omega_1[/itex]).

Is the inductor 1.00 millihenrys or 1.00 microhenrys? The problem statement says it's milli-, but you've calculated it as micro-.
it is in microhenrys I didn't realize i copied it wrong,
so that's what i was missing that we can have ω_0=ω_1 because its only tuned to one station. so is that how I am supposed to find C? but also by that method doesn't it mean that ω = ω_0
 
physicsStudent00 said:
it is in microhenrys I didn't realize i copied it wrong,
so that's what i was missing that we can have ω_0=ω_1 because its only tuned to one station. so is that how I am supposed to find C? but also by that method doesn't it mean that ω = ω_0
Yes, you may set [itex]\omega_0 = \omega_1[/itex] in your circuit.

Moving forward, now that you know what [itex]\omega_0 = \omega_1[/itex] is, what is the circuit's power output when the signal's frequency is not at the circuit's resonant frequency, but rather at the frequency of station 2?
 
collinsmark said:
Yes, you may set [itex]\omega_0 = \omega_1[/itex] in your circuit.

Moving forward, now that you know what [itex]\omega_0 = \omega_1[/itex] is, what is the circuit's power output when the signal's frequency is not at the circuit's resonant frequency, but rather at the frequency of station 2?
im sorry i don't quite understand that, so what you are saying is that its not at resonant frequency anymore but at a frequency of station 2. so we are saying that the value i got for C at station2's frequency would be correct. however what is then the difference between ω_1 and ω?
 
physicsStudent00 said:
im sorry i don't quite understand that, so what you are saying is that its not at resonant frequency anymore but at a frequency of station 2. so we are saying that the value i got for C at station2's frequency would be correct. however what is then the difference between ω_1 and ω?
The resonant frequency of receiver [circuit] is [itex]\omega_0[/itex]. And you're designing the circuit such that it's tuned to the frequency of station 1, i.e., [itex]\omega_0 = \omega_1[/itex]. That's fixed and does not change (for this problem).

The frequency of some particular signal is [itex]\omega[/itex]. This can be at any frequency. But for the purposes of this problem, you'll need to ask yourself what the power output of the circuit is when [itex]\omega = \omega_2[/itex].
 
  • Like
Likes   Reactions: physicsStudent00
collinsmark said:
The resonant frequency of receiver [circuit] is [itex]\omega_0[/itex]. And you're designing the circuit such that it's tuned to the frequency of station 1, i.e., [itex]\omega_0 = \omega_1[/itex]. That's fixed and does not change (for this problem).

The frequency of some particular signal is [itex]\omega[/itex]. This can be at any frequency. But for the purposes of this problem, you'll need to ask yourself what the power output of the circuit is when [itex]\omega = \omega_2[/itex].
ahhh ok so if I am able to get the ratio of power which i am, and assume that voltage is the same, resistance is the same and quality factor is the same all because its the same circuit the only thing that would be changing is ω, which is set to ω=ω_2 and ω_0 =ω_1. from that I am able to solve for Q,R and C. I've already solved for C using the relationship 1/√LC = ω_0 = ω_1 = 2πf
ω_0=ω_1, because the radio/circuit is set to station one as its resonant frequency because that's when its at max power,
ω=ω_2 because that's what you are changing.
so when on station1 ω=ω_1=ω_0, when on station2 ω=ω2 and ω_0=ω_1 still.
is that right or am i reading all of this wrong
 
Last edited by a moderator:
  • #10
physicsStudent00 said:
ahhh ok so if I am able to get the ratio of power which i am, and assume that voltage is the same, resistance is the same and quality factor is the same all because its the same circuit the only thing that would be changing is ω, which is set to ω=ω_2 and ω_0 =ω_1. from that I am able to solve for Q,R and C. I've already solved for C using the relationship 1/√LC = ω_0 = ω_1 = 2πf
ω_0=ω_1, because the radio/circuit is set to station one as its resonant frequency because that's when its at max power,
ω=ω_2 because that's what you are changing.
so when on station1 ω=ω_1=ω_0, when on station2 ω=ω2 and ω_0=ω_1 still.
is that right or am i reading all of this wrong
Correct (if I'm understanding you correctly).

The receiver is tuned to station 1. Still, some power from station 2 still gets through the filter even though it is tuned to station 1. Specifically, the amount of power from station 2 that gets through is 0.01, in reference to the power of station 1.

Using that you should be able to solve for R and Q.
 
  • Like
Likes   Reactions: physicsStudent00
  • #11
collinsmark said:
Correct (if I'm understanding you correctly).

The receiver is tuned to station 1. Still, some power from station 2 still gets through the filter even though it is tuned to station 1. Specifically, the amount of power from station 2 that gets through is 0.01, in reference to the power of station 1.

Using that you should be able to solve for R and Q.
thank you so much for all the help
 
  • Like
Likes   Reactions: collinsmark

Similar threads

  • · Replies 9 ·
Replies
9
Views
2K
  • · Replies 10 ·
Replies
10
Views
2K
Replies
3
Views
3K
  • · Replies 4 ·
Replies
4
Views
16K
Replies
2
Views
2K
Replies
13
Views
3K
  • · Replies 4 ·
Replies
4
Views
3K
  • · Replies 7 ·
Replies
7
Views
3K
  • · Replies 3 ·
Replies
3
Views
4K
  • · Replies 2 ·
Replies
2
Views
2K