Measurability/Lebesgue Integration

  • Thread starter Thread starter Ted123
  • Start date Start date
  • Tags Tags
    Integration
Click For Summary
SUMMARY

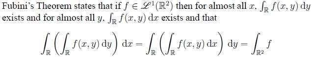
The discussion focuses on the Lebesgue integration of a function f over the interval [0,1]x[0,1], concluding that f is not Lebesgue integrable due to the inequality of double integrals when integrated in different orders. However, it is established that f is Lebesgue integrable over [a,b]x[a,b] for 0∫ f = |S^+| - |S^-|.

PREREQUISITES
  • Understanding of Lebesgue integration
  • Familiarity with Fubini's theorem
  • Knowledge of positive and negative parts of functions
  • Proficiency in calculus, specifically integration techniques
NEXT STEPS
  • Study Lebesgue integration techniques in detail
  • Learn about Fubini's theorem and its applications
  • Explore the properties of L^1 spaces and integrability conditions
  • Practice integrating functions with positive and negative parts
USEFUL FOR

Mathematicians, students studying real analysis, and anyone interested in advanced integration techniques, particularly in the context of Lebesgue integration.

Ted123
Messages
428
Reaction score
0

Homework Statement



2n0plj9.jpg


Homework Equations



For part (a):
28a6mbp.jpg


The Attempt at a Solution



I think I've done all of this question except for the very last part of (c).

For (a) I've found the integral [tex]\int \frac{x^2-y^2}{(x^2+y^2)^2}\;dx[/tex] using Wolfram Alpha but how would I integrate it bare handedly?

Since the double integral wrt x then y does not equal the double integral wrt y then x, f is not Lebesgue integrable over [0,1]x[0,1]. However if 0<a<b then f is Lebesgue integrable over [a,b]x[a,b] and the integral is 0 by Fubini.

The last part of (c) is what I'm not sure about: deducing that [tex]\int f = |S^+| - |S^-|.[/tex] Am I going about it the right way? We can write [itex]f=f^+ - f^-[/itex] where [itex]f^+ = \max (f,0)[/itex] and [itex]f^- = -\min (f,0)[/itex] (i.e. the +ve and -ve parts of f respectively).

Then we know if [itex]f\in L^1 (\mathbb{R})[/itex] then [itex]f^+ , f^- \in L^1 (\mathbb{R})[/itex] and [itex]f^+ , f^- \geq 0[/itex].

Now is the following correct? [tex]\int f = \int (f^+ - f^-) = \int f^+ - \int f^- = |S^+| - |S^-|[/tex]
 
Physics news on Phys.org
Ted123 said:
For (a) I've found the integral [tex]\int \frac{x^2-y^2}{(x^2+y^2)^2}\;dx[/tex] using Wolfram Alpha but how would I integrate it bare handedly?
If guess you could notice that it might be d/dx of something over (x^2+y^2) (because of the quotient rule), and then guess what the numerator should be.

Or, you could proceed as follows: $$\begin{align*} \int \frac{x^2-y^2}{(x^2+y^2)^2}\;dx &= \int \frac{x^2}{(x^2+y^2)^2}\;dx - y^2 \int \frac{1}{(x^2+y^2)^2}\;dx \\
&= \int \frac{1}{x^2+y^2} - \frac{y^2}{(x^2+y^2)^2}\;dx - y^2 \int \frac{1}{(x^2+y^2)^2}\;dx \\
&= \int \frac{dx}{x^2+y^2} - 2y^2 \int \frac{1}{(x^2+y^2)^2}\;dx. \end{align*}$$

To deal with the second integral on the RHS, all you need to know is how to integrate
$$ \int \frac{dv}{(v^2+1)^2}. $$ But this is easy (though slightly tedious). E.g. start off with the sub v=tan(t).

The last part of (c) is what I'm not sure about: deducing that [tex]\int f = |S^+| - |S^-|.[/tex] Am I going about it the right way? We can write [itex]f=f^+ - f^-[/itex] where [itex]f^+ = \max (f,0)[/itex] and [itex]f^- = -\min (f,0)[/itex] (i.e. the +ve and -ve parts of f respectively).

Then we know if [itex]f\in L^1 (\mathbb{R})[/itex] then [itex]f^+ , f^- \in L^1 (\mathbb{R})[/itex] and [itex]f^+ , f^- \geq 0[/itex].

Now is the following correct? [tex]\int f = \int (f^+ - f^-) = \int f^+ - \int f^- = |S^+| - |S^-|[/tex]
Yes, of course. This follows from the previous part applied to ##f^+## and ##f^-##.
 

Similar threads

Replies
2
Views
2K
Replies
8
Views
2K
  • · Replies 6 ·
Replies
6
Views
2K
  • · Replies 7 ·
Replies
7
Views
2K
  • · Replies 105 ·
4
Replies
105
Views
12K
  • · Replies 3 ·
Replies
3
Views
2K
Replies
3
Views
2K
Replies
10
Views
3K
  • · Replies 4 ·
Replies
4
Views
2K
  • · Replies 19 ·
Replies
19
Views
3K