Negative radius convention equivalent but not equal?

  • Context: High School 
  • Thread starter Thread starter nomadreid
  • Start date Start date
  • Tags Tags
    Spherical coordinates
Click For Summary

Discussion Overview

The discussion revolves around the equivalence of spherical coordinate transformations, specifically the implications of using negative radial distances and the corresponding transformations of angles. Participants explore the mathematical relationships and potential errors in understanding these transformations, focusing on the physicist's convention of spherical coordinates.

Discussion Character

  • Debate/contested
  • Mathematical reasoning

Main Points Raised

  • Some participants express confusion over the equivalence of (r, P, A) and (-r, -P, π-A), suggesting that they do not map to the same point in space under certain transformations.
  • Others propose alternative transformations, such as r → -r, θ → -θ, φ → π - φ, and question their validity in maintaining equivalence.
  • A participant mentions that the transformation of angles is crucial for achieving the correct mapping of points in spherical coordinates.
  • Some participants acknowledge making mistakes in their calculations and interpretations, particularly regarding the placement of negative signs in the transformations.
  • There is a suggestion that the original quote from Wikipedia may be misleading or incorrect, leading to further confusion.
  • Several participants attempt to clarify the transformations and their implications, but uncertainty remains about the correctness of various proposed transformations.

Areas of Agreement / Disagreement

Participants generally express disagreement and confusion regarding the transformations and their equivalences. Multiple competing views and interpretations remain unresolved throughout the discussion.

Contextual Notes

Participants note potential limitations in their understanding and calculations, including misplaced negative signs and the need for careful consideration of angle transformations. The discussion highlights the complexity of spherical coordinate transformations without reaching a definitive conclusion.

nomadreid
Gold Member
Messages
1,776
Reaction score
257
TL;DR
In Wikipedia's description of spherical coordinates, a convention whereby (r,A,B) is equivalent to (-r, -A, pi-B) is presented. It appears that they are not equal, but I guess isomorphic. Wrong?
In
https://en.wikipedia.org/wiki/Spherical_coordinate_system
under the heading
"Unique coordinates"
using the convention (r,P,A) =(radial distance, polar angle, azimuthal angle) ("physicist's convention")
we have
(r,P,A) is equivalent to (-r,-P, π-A).
My three dimensional imagination is horrible, and making a little model out of sticks just ended up in a mess, so I look at the cross-sections:
letting r=5, and either reversing the direction of r then rotating, or vice-versa
letting P=0, then (r,P) ≡(-r,-P)
PF image 1.png

and letting A=0, (r,A) ≡(-r,π-A)
PF image 2.png

They do not end up at the same place (if I am drawing these correctly), so either I am doing something wrong or what is meant by equivalent is that the systems will be isomorphic, not necessarily equal. However, I would be glad to be corrected.

Thanks for any help.
 
Mathematics news on Phys.org
Another approach. Translation of Cartesian and polar coordinates are
[tex]x=r \sin \theta \cos \phi[/tex]
[tex]y=r \sin \theta \sin \phi[/tex]
[tex]z=r \cos \theta[/tex]
We can observe the transformation you say, i.e.
[tex]r\rightarrow -r,\ \theta\rightarrow -\theta,\ \phi\rightarrow \pi-\phi[/tex]
in RHS would / would not change LHS.
 
Last edited:
  • Like
Likes   Reactions: nomadreid
anuttarasammyak, thanks, that simplifies the approach tremendously!
anuttarasammyak said:
Another approach.
My central problem still remains, but now I can state it more succinctly.
Using the conversion above, I get
PF image 3.png

Unless I have made some mistakes, this again does not end up with the original point. So I remain confused. Where am I going wrong?
 
nomadreid said:
using the convention (r,P,A) =(radial distance, polar angle, azimuthal angle) ("physicist's convention")
we have
(r,P,A) is equivalent to (-r,-P, π-A).
It rather says that ##(-r,-\theta,\phi)## is equivalent to ##(r,\theta,\phi)##.
 

The original quote is: "It is convenient in many contexts to use negative radial distances, the convention being (− r , − θ , φ) , which is equivalent to ( r , θ , φ ) for any r, θ, and φ.

Moreover , ( r ,− θ , φ ) is equivalent to ( r , θ , φ + 180° ) ."

Elsewhere in the article it states "Nota bene: the physics convention is followed in this article;"

That is, where θ is the polar angle, and φ is the azimuthal angle. I have merely replaced θ by P and φ by A as a mnemonic for "polar" and "Azimuth". Then I put the two equivalences:
(− r , − θ , φ)≡( r , θ , φ ) & ( r ,− θ , φ ) ≡ ( r , θ , φ + 180° )
into the single
( r , θ , φ )≡(− r , − θ , 180°- φ), i.e., (− r , − θ , π- φ)

I had hoped that this was clear, but I apologize if it was not. (I also apologize for the bold font at the beginning of my posts; I do not know why that happens and why I can't get rid of it.)

Now, with my notation explained, perhaps it will be easier to find where I am making a mistake? Thanks for the patience.
 
nomadreid said:

The original quote is: "It is convenient in many contexts to use negative radial distances, the convention being (− r , − θ , φ) , which is equivalent to ( r , θ , φ ) for any r, θ, and φ.

Moreover , ( r ,− θ , φ ) is equivalent to ( r , θ , φ + 180° ) ."

Elsewhere in the article it states "Nota bene: the physics convention is followed in this article;"

That is, where θ is the polar angle, and φ is the azimuthal angle. I have merely replaced θ by P and φ by A as a mnemonic for "polar" and "Azimuth". Then I put the two equivalences:
(− r , − θ , φ)≡( r , θ , φ ) & ( r ,− θ , φ ) ≡ ( r , θ , φ + 180° )
into the single
( r , θ , φ )≡(− r , − θ , 180°- φ), i.e., (− r , − θ , π- φ)

I had hoped that this was clear, but I apologize if it was not. (I also apologize for the bold font at the beginning of my posts; I do not know why that happens and why I can't get rid of it.)

Now, with my notation explained, perhaps it will be easier to find where I am making a mistake? Thanks for the patience.
Yes, your notation was clear from the beginning. The mistake I see is here: "( r , θ , φ )≡(− r , − θ , 180°- φ)". How do you get this?
 
  • Like
Likes   Reactions: nomadreid
nomadreid said:
Unless I have made some mistakes, this again does not end up with the original point. So I remain confused. Where am I going wrong?
You seem all right. We may doubt the description of Wiki.

How about another one

[tex]r \rightarrow -r, \ \theta \rightarrow \pi-\theta, \ \phi\rightarrow \pi+\phi[/tex]

Does it work ?

PS I corrected transformation of ##\phi##.
 
Last edited:
anuttarasammyak said:
You seems all right. How about another one, i.e.
[tex]r\rightarrow -r,\ \theta \rightarrow \pi-\theta,\ \phi\rightarrow -\phi[/tex]
I don't see how they get this: "( r , θ , φ )≡(− r , − θ , 180°- φ)" from this: "(− r , − θ , φ)≡( r , θ , φ )".
?
 
  • Like
Likes   Reactions: nomadreid
Thanks, Hill. You are right, I have made some elementary mistakes. Mainly misplaced negativee signs. But I am still a bit at a loss.

My first mistake was to trust this answer:
https://math.stackexchange.com/ques...-r-be-negative-in-spherical-coordinate-system

So, backing up, and using Wiki to put the two together
( r , θ , φ )≡ (− r , θ , φ+π)

But then I still seem to be making mistakes, but I am not sure where:

PF image 4.png


Thanks, anuttarasammyak. I'm not sure your version works either

PF image 6.png
 
  • #10
Changing the sign of [itex]r[/itex] is one sign change; we need to operate on [itex]\theta[/itex] and [itex]\phi[/itex] in order to produce one further sign change in each coordinate.

Consider these two maps:

1. [itex]\alpha \mapsto \alpha + \pi[/itex] is equivalent to [itex](\cos \alpha, \sin \alpha) \mapsto (-\cos \alpha, -\sin \alpha).[/itex]
2. [itex]\alpha \mapsto \pi - \alpha[/itex] is equivalent to [itex](\cos \alpha, \sin \alpha) \mapsto (-\cos \alpha, \sin \alpha)[/itex].

Note that the second maps [itex][0, \pi][/itex] to itself, whereas the first does not. That suggests using the second for [itex]\phi[/itex] and the first for [itex]\theta[/itex]. Hence [tex] (r, \theta, \phi) \mapsto (-r, \theta + \pi, \pi - \phi)[/tex] should fix [itex](r\sin \phi \cos \theta,r \sin \phi \sin \theta,r\cos \phi)[/itex].
 
  • #11
nomadreid said:
Thanks, Hill. You are right, I have made some elementary mistakes. Mainly misplaced negativee signs. But I am still a bit at a loss.

My first mistake was to trust this answer:
https://math.stackexchange.com/ques...-r-be-negative-in-spherical-coordinate-system

So, backing up, and using Wiki to put the two together
( r , θ , φ )≡ (− r , θ , φ+π)

But then I still seem to be making mistakes, but I am not sure where:

View attachment 340276

Thanks, anuttarasammyak. I'm not sure your version works either

View attachment 340279
I think that both sources you've mentioned are mistaken. It looks to me that the following are equivalent:
##(r,\theta,\phi)=(-r, \pi - \theta,\pi+\phi)=(-r,\pi+\theta,\phi)=(r,-\theta,\pi+\phi)##
Please check.
 
  • #12
anuttarasammyak said:
How about another one

r→−r, θ→π−θ, ϕ→π+ϕ

Does it work ?
A little explanation. Transformation of angles
[tex]\theta \rightarrow \pi -\theta,\ \phi\rightarrow \pi+\phi[/tex]
make the point on the sphere transffer to the opposite point on the sphere. e.g. North Pole to South Pole.
Regarding it as a vector, multiply -1 to its length brings the point back to the original position.
 
Last edited:
  • #13
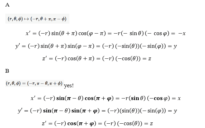
Out of the four suggestions of Hill and pasmith, I get one which is suitable. The calculations:
PF Image 7.png


PF Image 8.png


So, unless I have made an error in my calculations (always possible), I think I have the solution to my problem. Thanks for all the patience on the part of all!
 
  • #14
nomadreid said:
Out of the four suggestions of Hill and pasmith, I get one which is suitable. The calculations:
View attachment 340325

View attachment 340326

So, unless I have made an error in my calculations (always possible), I think I have the solution to my problem. Thanks for all the patience on the part of all!
I think that C is also "yes":
##y'=(-r)sin(\pi +\theta)sin(\phi)=(-r)(-sin(\theta))sin(\phi)=y##.
 
  • Like
Likes   Reactions: nomadreid
  • #15
Oops! Thanks very much, Hill. I don't know how that extra negative got in there. So, wonderful bonus!
 
  • Like
Likes   Reactions: Hill

Similar threads

  • · Replies 1 ·
Replies
1
Views
3K
  • · Replies 1 ·
Replies
1
Views
3K
  • · Replies 2 ·
Replies
2
Views
2K
  • · Replies 4 ·
Replies
4
Views
2K
  • · Replies 51 ·
2
Replies
51
Views
5K
  • · Replies 6 ·
Replies
6
Views
1K
  • · Replies 1 ·
Replies
1
Views
3K
  • · Replies 11 ·
Replies
11
Views
2K
  • · Replies 10 ·
Replies
10
Views
6K
Replies
33
Views
5K