Partial Differential equation, Temp in a Cylinder

Click For Summary

Homework Help Overview

The discussion revolves around solving a partial differential equation related to temperature distribution in a cylinder, specifically focusing on the heat equation and its relation to Sturm-Liouville operators and Bessel functions.

Discussion Character

  • Exploratory, Conceptual clarification, Mathematical reasoning

Approaches and Questions Raised

  • Participants explore the reduction of the problem to a function of radial and angular components, questioning the dependence on angular variables. There is an attempt to relate the problem to known forms of differential equations, including Sturm-Liouville operators and Bessel functions. Some participants express confusion regarding the application of these concepts and the derivation of eigenvalues from the differential equation.

Discussion Status

The discussion is ongoing, with participants providing insights into the nature of Sturm-Liouville operators and their eigenfunctions. Some guidance has been offered regarding the formulation of the heat equation and the necessity of considering time dependence. Multiple interpretations of the problem are being explored, particularly concerning boundary conditions and the relationship to Bessel functions.

Contextual Notes

Participants mention specific texts and sections that may provide further insights into the problem, indicating a reliance on external resources for clarification. There is also a recognition of the need to address boundary conditions properly in the context of the Sturm-Liouville theorem.

dykuma
Messages
55
Reaction score
6

Homework Statement


upload_2016-11-15_16-24-9.png

Homework Equations


upload_2016-11-15_16-35-35.png

upload_2016-11-15_16-51-41.png

The Attempt at a Solution


Because we are only looking at a cross section, I tried to reduce 5.3 down to just being a function of R and Theta. However I reasoned that there should be, based on this problem, no dependence on Theta either, so I figured I could reduce 5.3 down to just being
upload_2016-11-15_16-45-7.png

which gives the differential equation
upload_2016-11-15_16-47-34.png

and has the simple solution of
upload_2016-11-15_16-47-51.png

However, this can not really be related back to the to answer that they give me at the start of the problem.
I then guessed that means that this problem does some how related to Theta, which means I need to use
upload_2016-11-15_16-49-2.png

However, I am unsure of how to solve this equation. I see mentions of the bessel function, however, I don't see how equation 12.9 relates to that function, as I am missing the x^2 term.
 
Physics news on Phys.org
You are forgetting that the heat equation also contains a temporal derivative. What you have is a Sturm-Liouville operator and what you can do is to expand your solution for a given t in terms of its eigenfunctions (with expansion coefficients that generally will depend on t). Inserting this into the heat equation will give you an ODE for the expansion coefficients.
 
Orodruin said:
You are forgetting that the heat equation also contains a temporal derivative. What you have is a Sturm-Liouville operator and what you can do is to expand your solution for a given t in terms of its eigenfunctions (with expansion coefficients that generally will depend on t). Inserting this into the heat equation will give you an ODE for the expansion coefficients.
Thank you for the comment.

I am not familiar with the Sturm-Liouville operator. The book I am using seems to use the Bessel function to get its solution. Can you explain how that works?
 
What book are you using?

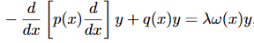
A SL operator is a class of second order differential operators of a particular form. Bessel's differential operator is a special case. The SL theorem states that you can expand any function in terms of eigenfunctions of such an operator with appropriate boundary conditions. In the case of Bessel's differential operator, these eigenfunctions are the Bessel functions.
 
I'm using the Mathematical Methods of the Physical Sciences by Boas, specifically section 13.5.

Interesting. I will look at how to apply that here. Are you saying that
upload_2016-11-15_18-32-39.png

is an SL operator?
 
It is a SL operator (multiplied by -r^2) acting on a function. What you want to solve is the eigenvalue equation ##LR = \lambda R##, where L is the SL operator.
 
I am somewhat confused again (not much surprise there).
looking at this link here, they say that the SL equation is
upload_2016-11-15_19-30-7.png

My equation, if divided by -r is
upload_2016-11-15_19-30-27.png

So then That is L. How do I get Eigenvalues from this? I apologize for what is probably a very elementary question, I am not sure how to obtain Eigenvalues from a differential equation.
 
Specifically, what is the omega term in
upload_2016-11-15_20-7-30.png
. Do guess a function for it?
 
dykuma said:
I am somewhat confused again (not much surprise there).
looking at this link here, they say that the SL equation is View attachment 108979
My equation, if divided by -r is View attachment 108980
So then That is L. How do I get Eigenvalues from this? I apologize for what is probably a very elementary question, I am not sure how to obtain Eigenvalues from a differential equation.
Your equation is not what you think it is. You should be using the heat equation, not the Laplace equation.

Also, the eigenvalue equation is what you solve in order to find the eigenfunctions of the SL operator. You then need to expand your solution in it and insert the expansion in the heat equation.

Edit: I will have a look at what Boas says in a few hours. I do not have it with me at the moment.
 
  • #10
Orodruin said:
Edit: I will have a look at what Boas says in a few hours. I do not have it with me at the moment.

Thanks! I am worried though that I may be on the wrong track with this problem. I can treat this problem as a Disc, which is why I removed the Z part of equation 5.3, However as you mentioned I have neglected a time dependence.

I managed to find a solution to what appears to be a similar problem here on (page 2), except that temp inside the cross section depends on the angle, and the outside surface is at zero, not 40. Unfortunately the process they outline is hard to follow, lacking a lot of the intuition behind the solution. However, from what I can make out, it seems that they have a time dependence build in, maybe replacing Z. Its hard to tell. But they seem to be taking a much different approach to solving the problem from the one that I am taking.

I am curious though, are my initial steps to solving this problem correct? Do they make sense to you?
 
  • #11
The general heat problem that you will want to solve is of the form
$$
\partial_t f(x,t) + Lf(x,t) = 0,
$$
where ##L## is a SL operator in ##x##. You might also have a number of boundary conditions, but you will need to somehow get rid of those because the boundary conditions of a SL operator need to be homogeneous, more on that later.

The general idea is the following: According to the Sturm-Liouville theorem, a SL operator ##L## has a complete set of linearly independent eigenfunctions ##u_n(x)## such that
$$
Lu_n(x) = \lambda_n u_n(x).
$$
That the set is complete means that any function of ##x## on the domain can be expressed as a linear combination of these functions, i.e., for any function ##h(x)##, we can find constants ##h_n## such that
$$
h(x) = \sum_n h_n u_n(x).
$$
For a fixed ##t##, the ##f(x,t)## in the heat problem is a function of ##x## and can therefore be expanded in terms of the SL eigenfunctions
$$
f(x,t) = \sum_n f_n(t) u_n(x).
$$
Note that the expansion coefficients ##f_n(t)## will generally depend on the time ##t## since the function is going to be different at different times.

We can now insert this expansion into the heat problem and obtain
$$
\partial_t f(x,t) + Lf(x,t) = \sum_n\left[ f'_n(t) u_n(x) + f_n(t) L u_n(x) \right]
= \sum_n [f'_n(t) + \lambda_n f_n(t)] u_n(x) = 0,
$$
where we have used that ##u_n(x)## does not depend on ##t## and that it is an eigenfunction of the SL operator ##L##.

Now, since the functions ##u_n(x)## are linearly independent, each term in the sum must be equal to zero and you obtain
$$
f'_n(t) + \lambda_n f_n(t) = 0
$$
for all ##n##. This is an ordinary differential equation that can be solved by any means that you usually use for those (this one should be particularly familiar).

About the non-zero boundary conditions: You can rewrite your problem by writing the solution as a sum of two functions, one that satisfies the heat equation and homogeneous boundary conditions and one that is static, satisfies the Laplace equation and the inhomogeneous boundary conditions. In this case this is particularly easy because your boundary condition is a constant.

Let us work with a similar example, let us solve the heat problem on a line. The problem is then of the form
$$
\partial_t f - \partial_x^2 f = 0.
$$
Let us also assume boundary conditions ##f(0,t) = f(L,t) = T_0##. The SL operator in this case is just ##L = -\partial_x^2##.

In order to make the boundary conditions homogeneous, we let ##g(x,t) = f(x,t) - T_0##. Inserting this into the heat equation gives the heat equation for ##g(x,t)##, but with homogeneous boundary conditions (##T_0## is just a constant and a constant term does not survive in the heat equation).

Now, to find the eigenfunctions of the SL operator, we need to solve the eigenvalue equation
$$
Lu_n(x) = \lambda_n u_n(x).
$$
Inserting that ##L = -\partial_x^2##, we end up with
$$
u''_n(x) + \lambda_n u_n(x) = 0.
$$
The only solutions that satisfy this equation along with the boundary conditions are the sine functions
$$
u_n(x) = \sin\left(\frac{\pi n x}{L}\right) \equiv \sin(k_n x)
$$
with corresponding eigenvalues ##\lambda_n = k_n^2##.

That any function on the interval ##0 < x < L## can be expanded in these functions is therefore just saying that you can expand the function in a Fourier series
$$
g(x,t) = \sum_n g_n(t) \sin(k_n x).
$$
Inserting this into the heat equation now gives the ODE
$$
g'_n(t) + k_n^2 g_n(t) = 0.
$$
One can go on from here to solve the problem, but I hope you get the general idea. The same procedure should work on your problem, just exchanging the SL operator for the one you have (i.e., Bessel's operator).
dykuma said:
I am curious though, are my initial steps to solving this problem correct? Do they make sense to you?

Some of it, such as the argument for vanishing ##z## and angular dependence makes sense. However, you are not on the right track in terms of constructing the series solution. To do so, you need to follow the prescription above.

Looking at that particular section of Boas, you can solve your problem by replacing the ##z## term with the time-derivative term in the entire section (but remember to shift your solution to get homogeneous boundary conditions!). To be honest, I do not think Boas' treatment is the clearest in terms of what is actually going on mathematically.
 
  • #12
Hi dykuma!

The heat equation is:
$$\frac{\partial u}{\partial t}-\alpha\Delta u=0$$
where u is a function of place and time. In our case r is sufficient to identify the place. So we can write u=u(r,t).
Furthermore it has boundary conditions for t=0 and for r=R. In our case that's 100 ℃ everywhere at t=0, respectively 40 ℃ at the boundary at all times.

The "usual way" to solve it is probably explained earlier in the book. It's about separating the variables and concluding that both expressions are equal to the same constant.
After that comes the part as you solved it for r.
 
Last edited:
  • #13
I like Serena said:
The "usual way" to solve it is probably explained earlier in the book. It's about separating the variables and concluding that both expressions are equal to the same constant.

Variable separation in the case of the Laplace equation is described in that very section:
Orodruin said:
Looking at that particular section of Boas, you can solve your problem by replacing the z term with the time-derivative term in the entire section (but remember to shift your solution to get homogeneous boundary conditions!).

I dislike this way of doing things because I have found that many students are fundamentally mislead by this approach and miss what is actually going on (which is the SL theorem - unless you have a SL operator you need to have another argument why your general solution can be written as a linear combination of product solutions). You find a solution on product form, but the full solution is a linear combination of such solutions. I have lost count of the times when I have seen students try to separate everything in exams - even trying to combine solutions with inhomogeneities that do not admit superposition. Variable separation is exactly what comes out of the argumentation in post #11, the solution is a sum of the form
$$
f(x,t) = \sum_n f_n(t) u_n(x),
$$
which is a sum over separated solutions (that in general needs to be adapted to the initial conditions), but there is now a solid base for why the general solution is of this form.
 
  • #14
Orodruin said:
Looking at that particular section of Boas, you can solve your problem by replacing the ##z## term with the time-derivative term in the entire section (but remember to shift your solution to get homogeneous boundary conditions!).
It may be a bit confusing to say that we're "replacing" z by t. We're not!
Instead we have ##u(r,\theta,z,t)## and omit ##z##. It's a shame Boas does not show that properly.
The reason ##\theta## is not omitted, is because the boundary condition depends on it, which is not the case with the problem at hand.
 
  • #15
I like Serena said:
I think it's a bit confusing to say that we're "replacing" z by t. We're not!

Have you read the section of Boas that I am referring to? Please take my statement in context. I am referring to replacing the z-term with the t-term in the solution presented there and taking the exact same steps (of course, the t-term is a first order differential operator and not a second order like the z-term, but this should lead to fairly obvious changes in the solution).

I like Serena said:
The reason θ is not omitted, is because the boundary condition depends on it, which is not the case with the problem at hand.
In order to get rid of the ##\theta## term you need the problem to be rotationally symmetric. This includes both boundary conditions and possible inhomogeneities (and of course the differential operator itself).

Edit: The appropriate section of Boas is 13.5 in the third edition.
 

Similar threads

  • · Replies 6 ·
Replies
6
Views
2K
  • · Replies 2 ·
Replies
2
Views
2K
  • · Replies 5 ·
Replies
5
Views
2K
  • · Replies 1 ·
Replies
1
Views
2K
Replies
3
Views
2K
Replies
1
Views
2K
Replies
5
Views
2K
  • · Replies 18 ·
Replies
18
Views
3K
  • · Replies 12 ·
Replies
12
Views
2K
Replies
0
Views
1K