Plotting a RLC Circuit: Analyzing a Differential Equation

Click For Summary

Discussion Overview

The discussion centers around the analysis of a differential equation describing the behavior of an RLC circuit, particularly in the context of plotting current and understanding the implications of various parameters such as resistance, impedance, and frequency. Participants explore theoretical aspects, mathematical representations, and practical implications related to alternating current (AC) circuits.

Discussion Character

  • Exploratory
  • Technical explanation
  • Conceptual clarification
  • Debate/contested

Main Points Raised

  • One participant questions whether the terms ##I_p## and ##V_p## in the equation represent rms values or peak values.
  • Another participant asserts that the impedance of the circuit should include resistance, inductive reactance, and capacitive reactance, and emphasizes the need to multiply frequency by ##2\pi## to obtain ##\omega##.
  • A participant expresses confusion regarding the treatment of imaginary values in the context of the differential equation and questions the necessity of including the imaginary part of the impedance.
  • One participant clarifies that the terms in the equation represent peak values rather than rms values.

Areas of Agreement / Disagreement

Participants exhibit some agreement on the need to consider the total impedance in the circuit, including resistance and reactances. However, there is disagreement regarding the interpretation of the terms in the equation and the relevance of imaginary components, indicating that the discussion remains unresolved.

Contextual Notes

Participants reference different forms of voltage representation and the implications of using imaginary numbers in circuit analysis, which may depend on the specific context of the analysis being performed.

rmiller70015
Messages
110
Reaction score
1
I'm not sure about the physical behavior of a RLC circuit and I have to give a presentation that involves one. So I've decided to plot the current. I found a book that gives a differential equation to describe the circuit.

##L\frac{d^2i}{dt^2} + R\frac{di}{dt} + \frac{1}{C}i = \frac{dv}{dt}##

So I had some questions about this equation and the notation.

First of all, the book says ##i=\vec{I} = I_pe^{j\omega t}## and ##v = \vec{V} = V_pe^{j\omega t}##. Are the ##I_p## and ##V_p## the rms current and voltage?

Also, they use R as resistance, but should I also include the impedance due to the capacitor and the inductor here in addition to the resistance of the resistor? If so, how should I treat the resistance since I'm not aware of a way to express it as a non-real value.

Finally, if I am driving this with a frequency generator set at 277 kHz, should this value be ##\omega## or would I need to multiply this by ##2\pi##?
 
Last edited:
Engineering news on Phys.org
Here's a series RLC circuit connected to an ac voltage source. I normally use Vrms cos (wt) as a voltage source rather than the exponential form.

upload_2017-4-14_23-40-18.png


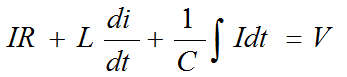
A more fundamental equation would be:

upload_2017-4-14_23-41-21.png


Frequency is in hertz or kilohertz so

upload_2017-4-14_23-43-10.png


I'm not sure what your comment means about the resistance and the non-real value. If I understand what you are asking, yes, you need to include the three impedances - the resistance, the inductive reactance and the capacitive reactance. The last two quantities include w(omega) in their calculation, so you will need to multiply the frequency by 2*pi.
 
  • Like
Likes   Reactions: rmiller70015
The impedance due to the inductor and capacitor appear to be the same quantity as the reactances but with a multiple of ##\sqrt{-1}##. So I wasn't sure if what to do with the equation since the book wanted to use imaginary values in the current as well as the real values. But it appears that you are only looking at the real portion, is there any reason why you omitted the imaginary part, is it just extra stuff that isn't necessary to understanding the behavior?
 
I didn't mean to ignore the imaginary impedances. I was just trying to show you where the differential equation came from. What I posted follows the serices circuit that I gave you. If you are doing a steady-state rms calculation, you'll need R plus the next two. Here they are:

upload_2017-4-15_0-37-14.png


upload_2017-4-15_0-37-31.png
 
  • Like
Likes   Reactions: rmiller70015
rmiller70015 said:
First of all, the book says i=⃗I=Ipejωti=\vec{I} = I_pe^{j\omega t} and v=⃗V=Vpejωtv = \vec{V} = V_pe^{j\omega t}. Are the IpI_p and VpV_p the rms current and voltage?
No, they represent the amplitude (the peak value).
 
  • Like
Likes   Reactions: rmiller70015

Similar threads

  • · Replies 32 ·
2
Replies
32
Views
4K
  • · Replies 6 ·
Replies
6
Views
3K
  • · Replies 8 ·
Replies
8
Views
3K
  • · Replies 22 ·
Replies
22
Views
3K
  • · Replies 1 ·
Replies
1
Views
1K
  • · Replies 5 ·
Replies
5
Views
3K
  • · Replies 21 ·
Replies
21
Views
2K
Replies
3
Views
2K
Replies
4
Views
1K
  • · Replies 3 ·
Replies
3
Views
2K