Calculating phase currents from line currents in an unbalanced delta

  • Thread starter Thread starter mrcavemen
  • Start date Start date
  • Tags Tags
    Delta
Click For Summary

Discussion Overview

The discussion revolves around the challenge of calculating phase currents from line currents in an unbalanced delta system. Participants explore the mathematical relationships and constraints involved in this process, considering both theoretical and practical aspects of electrical engineering.

Discussion Character

  • Technical explanation
  • Debate/contested
  • Mathematical reasoning

Main Points Raised

  • Some participants note that while calculating line currents from phase currents is straightforward, the reverse process is more complex and may not yield a unique solution.
  • It is mentioned that the sum of the line currents must equal zero, which is a critical condition in analyzing the system.
  • One participant suggests using superposition to simplify the equations derived from Kirchhoff's Current Law (KCL), but acknowledges that the equations may be singular, indicating multiple solutions.
  • Another participant raises the idea that circulating currents in the loads could lead to multiple valid solutions for phase currents, complicating the analysis.
  • Some participants express uncertainty about the necessity of knowing phase impedances and suggest that the problem could be approached differently if additional data were available.
  • There is a discussion about the implications of assuming pure resistive loads and how that affects the relationship between phase currents and line currents.
  • One participant emphasizes that without defining a relationship between phase currents, the problem remains underdetermined, leading to an infinite number of solutions.

Areas of Agreement / Disagreement

Participants generally agree that calculating phase currents from line currents in an unbalanced delta system is complex and may not lead to a unique solution. Multiple competing views exist regarding the methods and assumptions that can be applied in this context.

Contextual Notes

Participants highlight limitations such as the dependence on the knowledge of phase impedances and the conditions under which the phase currents are analyzed. The discussion reflects the challenges posed by the unbalanced nature of the system and the implications of different assumptions.

mrcavemen
Messages
3
Reaction score
0
In an unbalanced delta system, I can calculate the line currents given the phase currents.
However, I seem to be unable to go the other direction and cannot find sufficient resources to do so.
Looking at the phasor diagrams it seems like this should be possible, but my math (or understanding of it) is failing me.

Is it possible to calculate this? For simplicity we can assume a pure resistive system.
 
Engineering news on Phys.org
mrcavemen said:
Looking at the phasor diagrams it seems like this should be possible, but my math (or understanding of it) is failing me.
I believe the information you are missing, is that the sum of the line currents, is zero.
 
  • Like
Likes   Reactions: Babadag
I think your problem here is that if you just do KCL you get a set of 3 equations and 3 unknowns that is singular. This indicates that there is more than one possible solution.

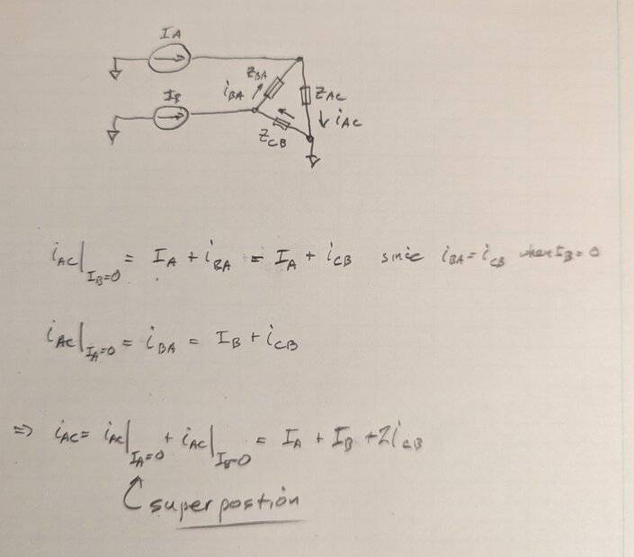
@Baluncore is correct, the line currents SHOULD sum to zero. IRL, check that first, just to verify that your data fits your model. This means that you can ignore one of them, let's say ##I_C## since ##I_C = -(I_A+I_B)##. This will allow you to simplify your model, as I've done below.

My approach would be to use superposition to get a set of equations and work from there. I've started it below, but I'm way too busy today to actually finish it. Let me know how this works out for you.

1700678455021.jpeg
 
DaveE said:
I think your problem here is that if you just do KCL you get a set of 3 equations and 3 unknowns that is singular. This indicates that there is more than one possible solution.
I think the genesis of the multiplicity is that you could have a circulating current in the loads. Suppose you have a solution to the phase currents. If you just add another constant term to each phase current (with the polarity in my schematic), that would also be a solution, since it would have no effect on the line currents.

So, you could also choose to stipulate the the phase currents sum to zero. This is a more restrictive question than you originally asked (a passive load condition). This would give you a 4th equation to add to KCL. This is really the same as just adding a KVL equation for the only loop in the network. I suspect this is what @Baluncore really meant above. Again, I haven't done it (at least in the last 5 years or so). Let me know if that works.
 
Last edited:
  • Like
Likes   Reactions: Baluncore
DaveE said:
I think your problem here is that if you just do KCL you get a set of 3 equations and 3 unknowns that is singular. This indicates that there is more than one possible solution.

@Baluncore is correct, the line currents SHOULD sum to zero. IRL, check that first, just to verify that your data fits your model. This means that you can ignore one of them, let's say ##I_C## since ##I_C = -(I_A+I_B)##. This will allow you to simplify your model, as I've done below.

My approach would be to use superposition to get a set of equations and work from there. I've started it below, but I'm way too busy today to actually finish it. Let me know how this works out for you.

View attachment 335974
Given these conventions I tried to calculate iba and icb.
But I seem to have taken a wrong step somewhere as my end result is incorrect. I think its already in the first steps:

iba|IA=0 = IB +icb
iba|IB=0 = iac - IA
+= IB +icb + iac - IA

icb|IA=0 = iba -IB
icb|IB=0 = IC - iac -> -IA -IB - iac
+= iba - iac -IA
 
Referring to the two unlabeled nodes in the schematic of post #3 (it's not too hard to figure out which is which), if you knew the voltage at each, and the impedance of each leg of the delta, would you be able to calculate the current in each phase? Do you know how to calculate the voltage at each node?
 
The Electrician said:
if you knew the voltage
I thought the OPs original problem statement was an unbalanced system with known line currents. Of course it's easier if he has more data. I don't think he does in this context.
 
DaveE said:
I thought the OPs original problem statement was an unbalanced system with known line currents. Of course it's easier if he has more data. I don't think he does in this context.
Your schematic in post #3 showing phase impedances misled me into thinking we were trying to solve a problem where the phase impedances were known.
 
The Electrician said:
Your schematic in post #3 showing phase impedances misled me into thinking we were trying to solve a problem where the phase impedances were known.
They may be useful if you want to use KVL, but shouldn't be necessary. They should go away in the solution.
 
  • #10
DaveE said:
They may be useful if you want to use KVL, but shouldn't be necessary. They should go away in the solution.
I would use KCL and perform a nodal analysis. You schematic in post #3 is instantly solvable if the 3 impedances are known. The two node voltages are obtained and from those, the 3 phase currents follow.
 
  • #11
The 3PH line voltages are assumed fixed in magnitude and phase.
The impedance of the phases are assumed fixed, but unequal.
Each phase impedance is subjected to a differential line voltage.
A vector current flows through each phase.
Those phase current vectors are subtracted to get the line current vectors.

Is the problem here, reversing that process, while not knowing the differing impedances of the different phases ?
 
  • #12
yes, I don't know the difference impedances of the different phases.

In polar form, I assumed Ia< 0°, for here I can calculate the angles of Ib and Ic (given that their sum is 0).

Given
IA = iac - iba
IB = iba -icb
IC = icb - iacthe phases voltages should be in line with the phase currents, so I thought I could get the impendances by substituting the current:
IA = Uac/Zac -Uba/Zba
IB = Uba/Zba - Ucb/Zcb
IC = Ucb/Zcb - Uac/Zac

Uba, Ucb and Uac have an offset of 120°

Given that IA+IB+IC = 0, I thought I could calculate the angle between the voltages and the line currents.
From there, given that the resistors are pure resistors, the phase currents are in phase with the phase voltages, so I could then get the phase currents from there...

But unfortunately, I don't think it's possible to calculate the angle, as I think there are many solutions that would fit :\
 
Last edited:
  • #13
mrcavemen said:
Uba, Ucb and Uac have an offset of 120°
Yes. My previous model with current sources isn't right in this regard. Just because we know the line currents, we can't draw it as a high impedance source. Those should be voltage sources.

Still too lazy to try and solve it myself, LOL.
 
  • #14
mrcavemen said:
yes, I don't know the difference impedances of the different phases.

In polar form, I assumed Ia< 0°, for here I can calculate the angles of Ib and Ic (given that their sum is 0).

Given
IA = iac - iba
IB = iba -icb
IC = icb - iacthe phases voltages should be in line with the phase currents, so I thought I could get the impendances by substituting the current:
IA = Uac/Zac -Uba/Zba
IB = Uba/Zba - Ucb/Zcb
IC = Ucb/Zcb - Uac/Zac

Uba, Ucb and Uac have an offset of 120°

Given that IA+IB+IC = 0, I thought I could calculate the angle between the voltages and the line currents.
From there, given that the resistors are pure resistors, the phase currents are in phase with the phase voltages, so I could then get the phase currents from there...

But unfortunately, I don't think it's possible to calculate the angle, as I think there are many solutions that would fit :\
Do you know the line currents AND voltages, or just the line currents?
 
  • #15
Since the line voltages are low impedance, this has become three separate problems.
You can calculate any phase current from two line voltages and that phase impedance.
You can calculate line currents from phase currents without any problem.

Unfortunately, you cannot go back again because there are an infinite number of solutions. If you arbitrarily specify any one phase current, there is a simple consistent solution for the other two phase currents.

To solve the problem requires you define a relationship between the phase currents, but they are independent problems, and cannot be separated, because the impedance of the phases are unrelated in the unbalanced model.

This is true for unbalanced complex impedances and for unbalanced resistive loads.
 
  • #16
The Electrician said:
Do you know the line currents AND voltages, or just the line currents?
The 3PH line voltage and phase is assumed to be ideal.
The line impedance is assumed to be zero.
 
  • #17
Baluncore said:
Unfortunately, you cannot go back again because there are an infinite number of solutions. If you arbitrarily specify any one phase current, there is a simple consistent solution for the other two phase currents.
Yes. You need one more piece of information. A phase current or a phase impedance.

1701206119089.jpeg
 
  • #18
mrcavemen said:
In an unbalanced delta system, I can calculate the line currents given the phase currents.
However, I seem to be unable to go the other direction and cannot find sufficient resources to do so.
Looking at the phasor diagrams it seems like this should be possible, but my math (or understanding of it) is failing me.

Is it possible to calculate this? For simplicity we can assume a pure resistive system.
mrcavemen, are you still paying attention to this thread? There's more to be said which you might find useful.
 
  • #19
mrcavemen, you can proceed like this.
Using your definitions:
Given
IA = iac - iba
IB = iba -icb
IC = icb - iac

The conversions for phase to line currents, and back again can be done with simple
matrix multiplications like this:

Complic1.png

As an example if we have phase currents of 1,2,-3 amps, the conversion gives line
currents of -1,5,-4 amps. And converting those line currents back to phase
currents gives 1,2,-3 amps. This example is using DC currents, but it all works
with complex currents.
 
  • #20
The Electrician said:
mrcavemen, you can proceed like this.
Either one phase impedance, or one phase current must be known, before you can reverse the process. By claiming that you can recover the unbalanced phase currents, from the line currents, you are pulling three rabbits out of a matrix of hats.
I want to know how you perform that trick.

' Given phase impedance, compute phase currents, then line currents
' reverse the process to recover the phase currents

' line X is connected to phases B and C, opposite phase A
' line Y is connected to phases C and A, opposite phase B
' line Z is connected to phases A and B, opposite phase C

' topology: currents flow counter-clockwise in the delta, A to B to C
' currents flow towards the supply generator in X, Y and Z

' declare state variables
Complex Xv, Yv, Zv ' line voltages
Complex Xi, Yi, Zi ' line currents

Complex Av, Bv, Cv ' phase voltages
Complex Az, Bz, Cz ' phase impedances
Complex Ai, Bi, Ci ' phase currents

' initial line voltages
Double Vrms, Vpk, phase
Vrms = 230 ' neutral to any phase
Vpk = Vrms * Sqr( 2 )

' phasors
phase = 0
Xv = Type( Vpk * Cos( phase ), Vpk * Sin( phase ) )

phase = + TwoPi / 3
Yv = Type( Vpk * Cos( phase ), Vpk * Sin( phase ) )

phase = - TwoPi / 3
Zv = Type( Vpk * Cos( phase ), Vpk * Sin( phase ) )

' phases voltages are line differences
Av = Yv - Zv
Bv = Zv - Xv
Cv = Xv - Yv

' generate random phase impedances
Randomize
Az = Type(200 * Rnd, 100 * ( Rnd - 0.5) )
Bz = Type(200 * Rnd, 100 * ( Rnd - 0.5) )
Cz = Type(200 * Rnd, 100 * ( Rnd - 0.5) )

' phase currents
Ai = Av / Az
Bi = Bv / Bz
Ci = Cv / Cz

' line currents
Xi = Ci - Bi
Yi = Ai - Ci
Zi = Bi - Ai

' now we are ready to go backwards
' we know
' Xi = Ci - Bi
' Yi = Ai - Ci
' Zi = Bi - Ai

Ai = Type( 2, -1 ) ' assume something new for Ai
Bi = Type( 0, 0 ) ' blind trial, hide original
Ci = Type( 0, 0 ) ' blind trial, hide original

' then compute Ai, in a circular argument
Ci = Ai + Yi
Bi = Ci + Xi
Ai = Bi + Zi

' now, Ai is whatever was assumed a few lines back
' there are an infinity of solutions.
 
  • #21
The Electrician said:
mrcavemen, you can proceed like this.
I'm pretty unclear on the value of finding a solution if you can't know that it's the solution.
 
  • #22
DaveE said:
I'm pretty unclear on the value of finding a solution if you can't know that it's the solution.
Not if you define "the" solution as the one that includes no circulating current.

As DaveE said in post #4:
"I think the genesis of the multiplicity is that you could have a circulating current in the loads. Suppose you have a solution to the phase currents. If you just add another constant term to each phase current (with the polarity in my schematic), that would also be a solution, since it would have no effect on the line currents."

If you have any solution, adding an arbitrary constant term to each phase current gives another solution--hence there are an infinite number of solutions. But there is only one solution that includes no circulating current. The sum of the squares (the Euclidean norm) of the individual currents of that solution is the minimum possible.
 
  • #23
The Electrician said:
But there is only one solution that includes no circulating current.
Why do you deny the existence of circulating currents in reactive AC systems ?
 
  • #24
I don't deny them. Some systems may have circulating currents, some may not.

If a particular case of the 3 phase system we're discussing has some circulating currents, that fact will not be able to be determined by considering the line currents. The line currents are not affected by any circulating currents, and if the line currents are calculated by multiplying the vector of phase currents by the appropriate transformation matrix, the result obtained will not be affected by any circulating currents. The transformation matrix does not "see" the circulating currents.

If you're trying to calculate the phase currents from the line currents, you won't get a solution that includes circulating currents because they can't be known from the line currents. You can get a solution for the case where there are no circulating currents; this is a useful result and it's the best you can do because there's no way to know what any circulating currents might be just by knowing the line currents.

But if you calculate the phase currents by any method, it's certainly true that another solution is obtained by adding a constant to each phase current (in the right polarity), so we have an infinite number of solutions. This doesn't mean that no useful result can be obtained; it's useful to know what the no-circulating-current result is.
 
  • #25
Baluncore said:
Either one phase impedance, or one phase current must be known, before you can reverse the process. By claiming that you can recover the unbalanced phase currents, from the line currents, you are pulling three rabbits out of a matrix of hats.
I want to know how you perform that trick.
I can recover the minimum norm vector of the phase currents, and in many (even most?) real circuits the circulating currents should be a relatively small fraction of the non-circulating currents. There will be effort in the design and operation of the circuit to minimize circulating currents because they're energy wasters! So it's likely the the minimum norm solution is close to the actual phase currents.

We have an underdetermined system: https://en.wikipedia.org/wiki/Underdetermined_system

The rank of the augmented system is equal to the rank of the coefficient matrix, so the system has an infinitude of solutions. How can we find the one solution out of the infinitude that has the smallest norm (size)?

Use the singular value decomposition (SVD): https://en.wikipedia.org/wiki/Singular_value_decomposition

That article describes how to find the pseudoinverse of the coefficient matrix which I used in post #19 to find the smallest norm solution.

The SVD can also show what can be added to the minimum norm solution to get another solution. In this case our solution be characterized as a 3 element vector. The SVD will give us another 3 element vector such that any multiple of that vector can be added to the minimum norm solution vector, and that result will still satisfy the system.

Complic2.png


We can see just from the physics of this circuit that adding equal values to each phase current gives a valid solution. It is to be expected that the math would show that same thing, which we could know from the SVD in some other situation where the physics didn't provide our intuition with the vector whose multiples can be added to any solution vector giving another solution vector.

As an aside, I've been using a DC circuit in my examples because the arithmetic is easier. I've also used the phrase "circulating currents" but the physics of a DC version of this circuit can't really have circulating currents although the math is consistent as though there were such a thing. Maybe we could have "virtual" circulating currents. :smile:
 
  • #26
The Electrician said:
As an aside, I've been using a DC circuit in my examples because the arithmetic is easier. I've also used the phrase "circulating currents" but the physics of a DC version of this circuit can't really have circulating currents although the math is consistent as though there were such a thing. Maybe we could have "virtual" circulating currents. :smile:
Lol. You are opening up a real can of worms here potentially. Borders on a thread we had not quite a year ago concerning the Walter Lewin paradox. Loops of resistive wire wrapped are a transformer core, that sort of thing. And the ability or inability to make measurements.
 
  • #27
Averagesupernova said:
Lol. You are opening up a real can of worms here potentially. Borders on a thread we had not quite a year ago concerning the Walter Lewin paradox. Loops of resistive wire wrapped are a transformer core, that sort of thing. And the ability or inability to make measurements.
You've misconstrued the last sentence of my post. It's strictly for humor. Unfortunately I couldn't find a specifically tongue-in-cheek emoji.😞
 
  • #28
Another view.
Computation of line currents from phase currents, is discrete differentiation, around the delta.
Computation of phase currents from line currents, is discrete integration, around the star.
What will be the constant of integration ?
 
  • #29
Baluncore said:
Another view.
Computation of line currents from phase currents, is discrete differentiation, around the delta.
Computation of phase currents from line currents, is discrete integration, around the star.
What will be the constant of integration ?
Depends of what kind of solution you want. Do you want the unique solution where there is no circulating current?
 
  • #30
The Electrician said:
Do you want the unique solution where there is no circulating current?
I want to be able to optimise the solution to a problem, by transforming forward and backward consistently, without underestimating the circulating current.
 

Similar threads

  • · Replies 4 ·
Replies
4
Views
2K
  • · Replies 8 ·
Replies
8
Views
4K
Replies
4
Views
11K
  • · Replies 5 ·
Replies
5
Views
10K
  • · Replies 7 ·
Replies
7
Views
3K
  • · Replies 19 ·
Replies
19
Views
5K
  • · Replies 17 ·
Replies
17
Views
4K
  • · Replies 1 ·
Replies
1
Views
2K
  • · Replies 1 ·
Replies
1
Views
3K
  • · Replies 1 ·
Replies
1
Views
7K