Proof by mathematical induction

Click For Summary

Homework Help Overview

The problem involves proving that the sum of falling factorial coefficients, specifically (n 0) + (n 1) + (n 2) + ... + (n n), equals 2^n using mathematical induction. The original poster expresses difficulty in progressing through the proof.

Discussion Character

  • Exploratory, Assumption checking, Problem interpretation

Approaches and Questions Raised

  • The original poster attempts to establish a base case for n=1 and assumes the statement holds for k, seeking to prove it for k+1. Some participants suggest examining the relationship between binomial coefficients and falling factorials, while others question the definitions being used.

Discussion Status

Participants are exploring different interpretations of the notation used in the problem, particularly the distinction between falling factorials and binomial coefficients. There is ongoing discussion about the validity of the original statement and the implications of the definitions involved.

Contextual Notes

There is confusion regarding the notation for binomial coefficients and falling factorials, which may affect the proof's direction. Some participants note that the statement to be proven may not hold true under the falling factorial interpretation.

Rainbow Cupcake
Messages
1
Reaction score
1
Summary:: prove that (n 0) + (n 1) + (n 2) + ... + (n n) = 2^n is true using mathematical induction.
note that (n n) is a falling factorial

Hello! I have trouble dealing with this problem:

Mod note: Thread moved from math technical section, so is missing the homework template.
Prove that (n 0) + (n 1) + (n 2) + ... + (n n) = 2^n is true using mathematical induction.
note that (n n) is a falling factorial. I have made some progress with this problem but I got eventually got stuck.

progress:

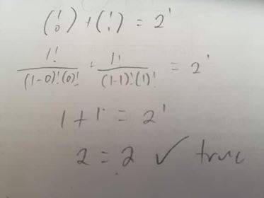
let n=1 (please see attached photo)
96234641_560053171591634_6884766591905431552_n.jpg

Therefore it is true for n=1

Then we assume that (k 0) + (k 1) + ... + (k k) = 2^k is true. This could also be written as
(k 0) + (k 1) + ... + (k k-1) + (k k) = 2^k.

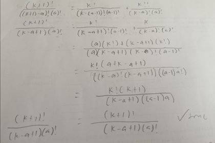
Prove that (k+1 a) = (k a-1) + (k a) (pls see attached photo for progress)
96387752_575061206470149_8286653933183565824_n.jpg


After this step, i got stuck.

Thank you!
 
Last edited by a moderator:
  • Like
Likes   Reactions: Delta2
Physics news on Phys.org
If you are stuck trying to show that:
$$\binom{k+1}{a} = \binom{k}{a} + \binom{k}{a-1}$$
Try adding the two terms on the right-hand side and see if you can get the term on the left-hand side.
 
  • Like
Likes   Reactions: Infrared and Delta2
Remember the binomial formula? It says [itex] (a+b)^{n}=a^{n}+\begin{pmatrix}<br /> n \\<br /> 1\\<br /> \end{pmatrix}a^{n-1}b+\begin{pmatrix}<br /> n \\<br /> 2\\<br /> \end{pmatrix}a^{n-2}b^{2}+...+b^{n}[/itex]
Now put a=1 and b=1 into that formula and see what happens.
 
  • Like
Likes   Reactions: WWGD
@Svein here ##\binom{n}{k}:=n(n-1)\cdots (n-(k-1))=\tfrac{n!}{(n-k)!}## is the falling factorial, the binomial formula would read (in terms of the falling factorial) ##(a+b)^n=\sum_{k=0}^n \tfrac{1}{k!}\binom{n}{k}a^{n-k}b^{k}## but this doesn't help here.

Here is a problem: @Rainbow Cupcake is using the definition of binomial coefficients ##\binom{n}{k}=\tfrac{n!}{(n-k)!k!}## in their work when it was clearly stated that ##\binom{n}{k}=\tfrac{n!}{(n-k)!}## is the falling factorial. OP clear this up: which is it ##\binom{n}{k}##, failing factorial or binomial coefficients? Then we have hope.

I did check and the thing you wanted to prove ##\binom{k+1}{a} =\binom{k}{a-1} + \binom{k}{a}## as it turns out, isn't true for falling factorials if that helps...
 
benorin said:
@Svein here ##\binom{n}{k}:=n(n-1)\cdots (n-(k-1))=\tfrac{n!}{(n-k)!}## is the falling factorial, the binomial formula would read (in terms of the falling factorial) ##(a+b)^n=\sum_{k=0}^n \tfrac{1}{k!}\binom{n}{k}a^{n-k}b^{k}## but this doesn't help here.

Here is a problem: @Rainbow Cupcake is using the definition of binomial coefficients ##\binom{n}{k}=\tfrac{n!}{(n-k)!k!}## in their work when it was clearly stated that ##\binom{n}{k}=\tfrac{n!}{(n-k)!}## is the falling factorial. OP clear this up: which is it ##\binom{n}{k}##, failing factorial or binomial coefficients? Then we have hope.

I did check and the thing you wanted to prove ##\binom{k+1}{a} =\binom{k}{a-1} + \binom{k}{a}## as it turns out, isn't true for falling factorials if that helps...
The context shown in this problem and the notation used suggest to me that this isn't about the falling factorial, but rather, binomial coefficients.

This article on the Wolfram site - https://mathworld.wolfram.com/FallingFactorial.html - show this notation for the falling factorial: ##(x)_n##, defined as ##x(x - 1)(x - 2)\dots(x - (n - 1))##.

This will be of no help in proving that ##\binom n 0 + \binom n 1 + \binom n 2 + \dots + \binom n n = 2^n##
 
  • Like
Likes   Reactions: berkeman and PeroK

Similar threads

  • · Replies 15 ·
Replies
15
Views
3K
  • · Replies 6 ·
Replies
6
Views
3K
  • · Replies 8 ·
Replies
8
Views
2K
  • · Replies 5 ·
Replies
5
Views
2K
  • · Replies 6 ·
Replies
6
Views
2K
  • · Replies 14 ·
Replies
14
Views
3K
  • · Replies 7 ·
Replies
7
Views
1K
  • · Replies 7 ·
Replies
7
Views
2K
  • · Replies 7 ·
Replies
7
Views
3K
Replies
6
Views
2K