Proof of Transformation Equation for Electric Field Ex

Click For Summary

Discussion Overview

The discussion revolves around the transformation equations for the electric field components in the context of special relativity, specifically examining the case where a charged particle has a vertical velocity in one frame. Participants explore the validity of the claim that the x-component of the electric field remains unchanged across different reference frames under certain conditions.

Discussion Character

  • Technical explanation
  • Debate/contested
  • Mathematical reasoning

Main Points Raised

  • One participant asserts that the transformation equation for the electric field holds as Ex = Ex' when the charged particle is at rest in the S' frame, referencing established equations from a textbook.
  • Another participant questions the validity of Ex = Ex' for motion in the y-direction, suggesting it only holds for motion in the x-direction, and cites external resources for clarification.
  • Some participants discuss the implications of non-collinear boosts, indicating that the composition of such boosts results in both a boost and a rotation, which may affect the transformation equations.
  • Several participants express the need for clarity in the equations being referenced, with one suggesting the use of LaTeX for better readability.
  • One participant reports a contradiction in their results, indicating that their calculations show Ex and Ex' are not equal, which challenges the claim that the transformation equations hold in general.

Areas of Agreement / Disagreement

Participants do not reach a consensus; there are competing views regarding the validity of the transformation equations under the specified conditions, and the discussion remains unresolved with differing interpretations of the equations and their implications.

Contextual Notes

There are limitations in the discussion regarding the assumptions made about the motion of the charged particle and the specific conditions under which the transformation equations are applied. The dependence on the direction of motion and the implications of non-collinear boosts are also noted as areas of complexity.

Happiness
Messages
686
Reaction score
30
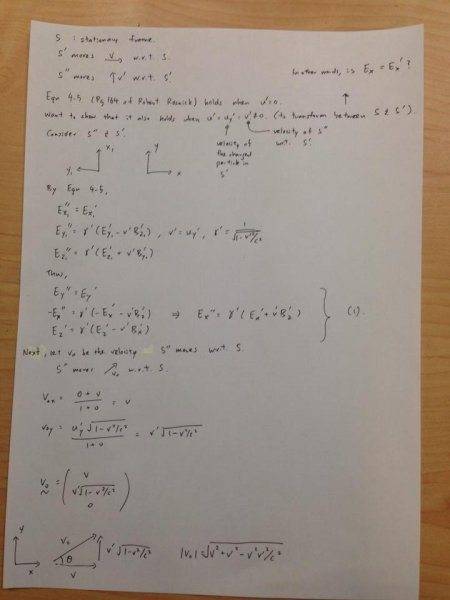
I want to prove that the transformation equation for electric field holds, namely Ex = Ex', where Ex is the x component of E field in S frame and Ex' is that in S' frame, for the special case in which the charged particle has a vertical velocity Uy' in the S' frame (Ux' = Uz' = 0). It is already proven in the textbook by Robert that the transformation equations (4-5) for Ex, Ey and Ez holds for the special case in which the charged particle is at rest in S' frame (U' = 0).

Equations (4-5) are

## E^\prime_x = E_x ##
## E^\prime_y = \gamma(E_y - vB_z)##
## E^\prime_z = \gamma(E_z + vB_y)##

My approach is to have an S'' frame moving with respect to S' frame at V' = Uy' so that the charged particle is at rest in S'' frame. (S' frame is moving in the x direction at V with respect to S frame, while S'' frame is moving in the y direction with respect to S' frame.) Then I could use equations (4-5) to find E'' from E', and then use equations (4-5) again to find E from E'', hence relating E to E'. Since E'' is the frame the charged particle is at rest, equations (4-5) holds.

My result is that Ex and Ex' are not equal, contrary to the claim that equations (4-5) hold in general for any velocity of the charged particle.

Background reading: Introduction to Special Relativity by Robert Resnick (Wiley 1968) Page 163-165

My result:

By Equations (4-5) and considering ##S^{\prime\prime}## and ##S^{\prime}##,
## E^{\prime\prime}_x = \gamma^\prime(E^\prime_x+v^\prime B^\prime_z) ##
## E^{\prime\prime}_y = E^\prime_y ##
## E^{\prime\prime}_z = \gamma^\prime(E^\prime_z-v^\prime B^\prime_x) ##

Let ## v_0 ## be the velocity ## S^{\prime\prime} ## moves with respect to S, and ## \theta ## be the angle ## v_0 ## makes from the ##x## axis.
Let ## x_0 ## be the axis that points in the direction of ## v_0 ##, and ## y_0 ## be the axis that is ## 90^\circ ## anticlockwise from ## x_0 ##.

## E^{\prime\prime}_{x_0} = \gamma^\prime\cos\theta\ (E^\prime_x+v^\prime B^\prime_z)+\sin\theta\ E^\prime_y ##
## E^{\prime\prime}_{y_0} = -\gamma^\prime\sin\theta\ (E^\prime_x+v^\prime B^\prime_z)+\cos\theta\ E^\prime_y ##
## E^{\prime\prime}_{z_0} = \gamma^\prime(E^\prime_z-v^\prime B^\prime_x) ##

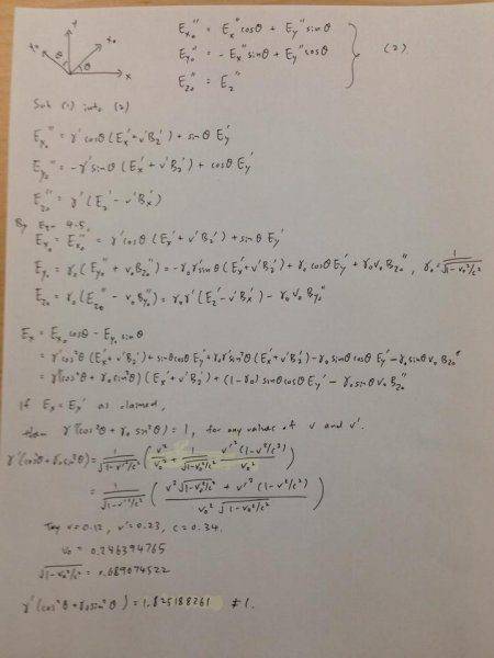
By Equations (4-5) and considering ##S## and ##S^{\prime\prime}##,
## E_{x_0} = E^{\prime\prime}_{x_0} = \gamma^\prime\cos\theta\ (E^\prime_x+v^\prime B^\prime_z)+\sin\theta\ E^\prime_y ##
## E_{y_0} = \gamma_0(E^{\prime\prime}_{y_0}+v_0B^{\prime\prime}_{z_0}) = -\gamma_0\gamma^\prime\sin\theta\ (E^\prime_x+v^\prime B^\prime_z)+\gamma_0\cos\theta\ E^\prime_y+\gamma_0v_0B^{\prime\prime}_{z_0} ##
## E_{z_0} = \gamma_0(E^{\prime\prime}_{z_0}-v_0B^{\prime\prime}_{y_0}) = \gamma_0\gamma^\prime(E^\prime_z-v^\prime B^\prime_x)-\gamma_0v_0B^{\prime\prime}_{y_0} ##

## E_x = E_{x_0}\cos\theta-E_{y_0}\sin\theta = \gamma^\prime(\cos^2\theta+\gamma_0\sin^2\theta)(E^\prime_x+v^\prime B^\prime_z)+(1-\gamma_0)\sin\theta\cos\theta\ E^\prime_y-\gamma_0\sin\theta\ v_0B^{\prime\prime}_{z_0} \neq E^\prime_x ##

Handwritten result in more details:

Page1.jpg
Page2.jpg
 
Last edited:
Physics news on Phys.org
Please write out the equations you are referring to, there are several people here who would be able to help you, but most will not have a copy of your textbook right next to them.

Also generally refrain from attaching photos of handwritten pages. It may be easy for you, but not to the people you are asking for help. Instead use the LaTeX feature to write down your important equations directly into the post.
 
Equations (4-5) are

## E^\prime_x = E_x ##
## E^\prime_y = \gamma(E_y - vB_z)##
## E^\prime_z = \gamma(E_z + vB_y)##

My result:

By Equations (4-5) and considering ##S^{\prime\prime}## and ##S^{\prime}##,
## E^{\prime\prime}_x = \gamma^\prime(E^\prime_x+v^\prime B^\prime_z) ##
## E^{\prime\prime}_y = E^\prime_y ##
## E^{\prime\prime}_z = \gamma^\prime(E^\prime_z-v^\prime B^\prime_x) ##

Let ## v_0 ## be the velocity ## S^{\prime\prime} ## moves with respect to S, and ## \theta ## be the angle ## v_0 ## makes from the ##x## axis.
Let ## x_0 ## be the axis that points in the direction of ## v_0 ##, and ## y_0 ## be the axis that is ## 90^\circ ## anticlockwise from ## x_0 ##.

## E^{\prime\prime}_{x_0} = \gamma^\prime\cos\theta\ (E^\prime_x+v^\prime B^\prime_z)+\sin\theta\ E^\prime_y ##
## E^{\prime\prime}_{y_0} = -\gamma^\prime\sin\theta\ (E^\prime_x+v^\prime B^\prime_z)+\cos\theta\ E^\prime_y ##
## E^{\prime\prime}_{z_0} = \gamma^\prime(E^\prime_z-v^\prime B^\prime_x) ##

By Equations (4-5) and considering ##S## and ##S^{\prime\prime}##,
## E_{x_0} = E^{\prime\prime}_{x_0} = \gamma^\prime\cos\theta\ (E^\prime_x+v^\prime B^\prime_z)+\sin\theta\ E^\prime_y ##
## E_{y_0} = \gamma_0(E^{\prime\prime}_{y_0}+v_0B^{\prime\prime}_{z_0}) = -\gamma_0\gamma^\prime\sin\theta\ (E^\prime_x+v^\prime B^\prime_z)+\gamma_0\cos\theta\ E^\prime_y+\gamma_0v_0B^{\prime\prime}_{z_0} ##
## E_{z_0} = \gamma_0(E^{\prime\prime}_{z_0}-v_0B^{\prime\prime}_{y_0}) = \gamma_0\gamma^\prime(E^\prime_z-v^\prime B^\prime_x)-\gamma_0v_0B^{\prime\prime}_{y_0} ##

## E_x = E_{x_0}\cos\theta-E_{y_0}\sin\theta = \gamma^\prime(\cos^2\theta+\gamma_0\sin^2\theta)(E^\prime_x+v^\prime B^\prime_z)+(1-\gamma_0)\sin\theta\cos\theta\ E^\prime_y-\gamma_0\sin\theta\ v_0B^{\prime\prime}_{z_0} \neq E^\prime_x ##
 
Happiness said:
I want to prove that the transformation equation for electric field holds, namely Ex = Ex', where Ex is the x component of E field in S frame and Ex' is that in S' frame, for the special case in which the charged particle has a vertical velocity Uy' in the S' frame (Ux' = Uz' = 0). It is already proven in the textbook by Robert that the transformation equations (4-5) for Ex, Ey and Ez holds for the special case in which the charged particle is at rest in S' frame (U' = 0).

Equations (4-5) are

## E^\prime_x = E_x ##
## E^\prime_y = \gamma(E_y - vB_z)##
## E^\prime_z = \gamma(E_z + vB_y)##


You specified motion in the y-direction. It's not true that Ex = Ex' for motion in the y-direction, it's true for motion in the x direction. See for instance http://en.wikipedia.org/wiki/Classical_electromagnetism_and_special_relativity
 
Happiness said:
Let v0 v_0 be the velocity S′′ S^{\prime\prime} moves with respect to S, and θ \theta be the angle v0 v_0 makes from the xx axis.
Let x0 x_0 be the axis that points in the direction of v0 v_0 , and y0 y_0 be the axis that is 90∘ 90^\circ anticlockwise from x0 x_0 .
Hi Happiness, this is related to the same problem in that other thread. The composition of two non-colinear boosts is not a boost, it is a boost and a rotation.
 
DaleSpam said:
Hi Happiness, this is related to the same problem in that other thread. The composition of two non-colinear boosts is not a boost, it is a boost and a rotation.

Hi DaleSpam, yes, I realized you answered both of my questions together. Thanks a lot! In fact, the problem in that other thread is a spin off from this one.
 
pervect said:
You specified motion in the y-direction. It's not true that Ex = Ex' for motion in the y-direction, it's true for motion in the x direction. See for instance http://en.wikipedia.org/wiki/Classical_electromagnetism_and_special_relativity

Happiness said:
My result:

By Equations (4-5) and considering ##S^{\prime\prime}## and ##S^{\prime}##,
## E^{\prime\prime}_x = \gamma^\prime(E^\prime_x+v^\prime B^\prime_z) ##
## E^{\prime\prime}_y = E^\prime_y ##
## E^{\prime\prime}_z = \gamma^\prime(E^\prime_z-v^\prime B^\prime_x) ##

Hi pervect, thanks for answering! What Dalespam said is the resolution to the contradiction.
 
Happiness said:
Hi DaleSpam, yes, I realized you answered both of my questions together. Thanks a lot! In fact, the problem in that other thread is a spin off from this one.
oh, then I am sorry I missed replying to this the first time and I am glad you asked again and I spotted it.
 

Similar threads

  • · Replies 10 ·
Replies
10
Views
2K
  • · Replies 10 ·
Replies
10
Views
2K
  • · Replies 12 ·
Replies
12
Views
2K
  • · Replies 7 ·
Replies
7
Views
3K
  • · Replies 6 ·
Replies
6
Views
3K
  • · Replies 10 ·
Replies
10
Views
4K
  • · Replies 4 ·
Replies
4
Views
3K
  • · Replies 1 ·
Replies
1
Views
2K
Replies
1
Views
2K
  • · Replies 19 ·
Replies
19
Views
9K