Resistance, cross-sectional area of long coated wire

Click For Summary

Homework Help Overview

The discussion revolves around the resistance and cross-sectional area of a long coated wire, focusing on various parts of a problem that includes calculations related to resistance and current density.

Discussion Character

  • Mixed

Approaches and Questions Raised

  • Participants discuss their attempts at solving parts a through f of the problem, with some expressing uncertainty about their logic and seeking verification. There are questions about the correctness of formulas used and assumptions made regarding current distribution.

Discussion Status

Some participants have provided feedback on specific parts of the problem, indicating where errors may have occurred and suggesting corrections. There is an ongoing exploration of the implications of these corrections on subsequent steps, particularly regarding current density calculations.

Contextual Notes

One participant notes that they are working on these problems for exam preparation rather than as a homework assignment, which may influence the nature of the discussion and the level of detail in the responses.

Cocoleia
Messages
293
Reaction score
4

Homework Statement


upload_2017-2-27_16-26-36.png

upload_2017-2-27_16-27-11.png


Homework Equations

The Attempt at a Solution


I attempted all of the parts:
upload_2017-2-27_16-31-15.png

upload_2017-2-27_16-31-49.png
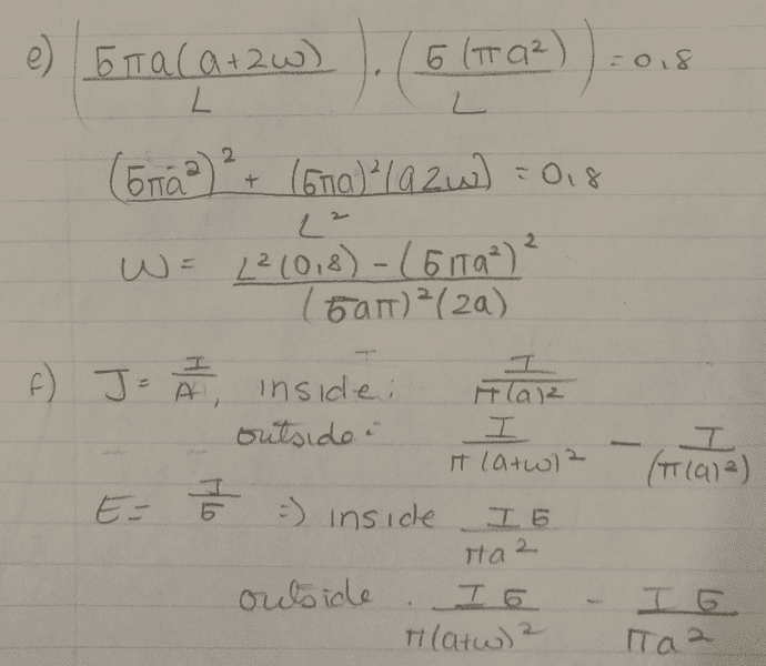
I think I did the right things for a-b-c-d, but I am pretty unsure about e & f. Can someone verify if my logic is right? Thanks.
 
Physics news on Phys.org
Cocoleia said:
think I did the right things for a-b-c-d
You have d wrong. The formula you quoted is not quite right.
 
haruspex said:
You have d wrong. The formula you quoted is not quite right.
Ah I see it should be 1/Req. If I change that, will the following steps be right assuming I use that value ?
 
Cocoleia said:
Ah I see it should be 1/Req. If I change that, will the following steps be right assuming I use that value ?
Your method in e) is right.
In f, you seem to have assumed all of I is in the inner wire when calculating the current density there.
 
kuruman said:
(a)-(d) look correct.
(e) is incorrect. You need to take the ratio as the question indicates, not the product.
If you read posts 2 and 3, you'll see that d) was wrong, and this led to the wrong expression in e.
 
haruspex said:
Your method in e) is right.
In f, you seem to have assumed all of I is in the inner wire when calculating the current density there.
How do I calculate it without assuming this? By the way, this isn't homework, I am just working on problems to prepare for an exam tomorrow.
 
Cocoleia said:
How do I calculate it without assuming this? By the way, this isn't homework, I am just working on problems to prepare for an exam tomorrow.
One way would be to suppose the potential applied to the wire is V and compute what current would flow in each component.
 

Similar threads

  • · Replies 2 ·
Replies
2
Views
2K
Replies
6
Views
3K
  • · Replies 10 ·
Replies
10
Views
1K
Replies
5
Views
2K
  • · Replies 10 ·
Replies
10
Views
2K
  • · Replies 12 ·
Replies
12
Views
2K
  • · Replies 8 ·
Replies
8
Views
3K
  • · Replies 2 ·
Replies
2
Views
4K
  • · Replies 7 ·
Replies
7
Views
2K
  • · Replies 2 ·
Replies
2
Views
1K