Solve Plano-Convex Lens Lensmaker's Equation

  • Context: Undergrad 
  • Thread starter Thread starter paulstgeorge
  • Start date Start date
  • Tags Tags
    Lens
Click For Summary

Discussion Overview

The discussion revolves around the Lensmaker's equation specifically for a plano-convex lens. Participants explore how the equation differs from that of a bi-convex lens due to the unique geometry of the plano-convex lens, focusing on the implications of having only one radius of curvature.

Discussion Character

  • Technical explanation, Mathematical reasoning

Main Points Raised

  • One participant seeks assistance with the Lensmaker's equation for a plano-convex lens, noting that the bi-convex lens formula includes terms for both radii.
  • Another participant suggests that the second radius can be considered as infinity, which may simplify the equation.
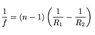
  • There is a query about whether this simplification leads to a specific formula depicted in an image referenced as simple2.jpeg, with a mention of terms becoming zero when the second radius is infinite.
  • A later reply reiterates the question about the simplification to the formula in simple2.jpeg, confirming that certain terms indeed become zero under the assumption of the second radius being infinite.

Areas of Agreement / Disagreement

Participants appear to agree on the approach of treating the second radius as infinity to simplify the Lensmaker's equation, but there is no consensus on the specific implications or the final form of the equation.

Contextual Notes

The discussion does not clarify the assumptions regarding the definitions of the terms in the Lensmaker's equation or the specific conditions under which the simplifications are valid.

paulstgeorge
Messages
2
Reaction score
0
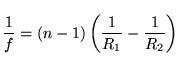
Can someone help me with the Lensmaker's equation for a plano-convex lens? The formula for a bi-convex lens is readily available but it includes a term for the radius for each of the two curves. A plano-convex lens has only one radius!
 
Science news on Phys.org
Let the second radius go to infinity.
 
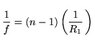
Thanks. Does that mean the formula is simplified to the formula shown in simple2.jpeg?

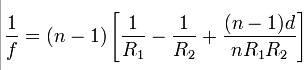
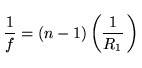
Whether I start with the formula shown in simple1.jpeg or that shown in complex.jpeg, if the second radius is infinity a number of terms are then zero.
 

Attachments

  • simple2.jpeg
    simple2.jpeg
    1.6 KB · Views: 1,226
  • simple1.jpeg
    simple1.jpeg
    2 KB · Views: 1,074
  • complex.jpeg
    complex.jpeg
    3.5 KB · Views: 1,135
paulstgeorge said:
Thanks. Does that mean the formula is simplified to the formula shown in simple2.jpeg?

Whether I start with the formula shown in simple1.jpeg or that shown in complex.jpeg, if the second radius is infinity a number of terms are then zero.
Certainly.
 

Similar threads

  • · Replies 2 ·
Replies
2
Views
2K
  • · Replies 2 ·
Replies
2
Views
5K
  • · Replies 1 ·
Replies
1
Views
5K
  • · Replies 58 ·
2
Replies
58
Views
8K
  • · Replies 3 ·
Replies
3
Views
2K
  • · Replies 8 ·
Replies
8
Views
2K
  • · Replies 24 ·
Replies
24
Views
3K
  • · Replies 10 ·
Replies
10
Views
4K
  • · Replies 17 ·
Replies
17
Views
3K
  • · Replies 7 ·
Replies
7
Views
5K